一直以来,有机单晶被认为具有极低的缺陷、高度规整的结构和高稳定性,是研究材料结构-性质关系和实现有机激光的理想材料,但有关有机晶体缺陷的定量分析和表征一直缺乏系统性的研究。
近日,华南理工大学邓剑博士等,利用自主研制的专用于有机场效应发光晶体管的微光、微电测试系统,系统性地研究了有机单晶材料的缺陷效应。他们设计生长了多种基于氢键和π-π相互作用有机二维晶体,系统研究了其晶体结构与器件性能的关系。研究发现,有机晶体中分子间相互作用力增强,缺陷密度降低。优化的场效应发光器件发射528 nm绿光,外量子效率2.0%、能量转换效率36 lm W-1,达到同类器件中的领先水平。
研究者通过合理的分子设计,在分子主链两侧引入了强吸电性质的氰基以构造出分子间的多重氢键。在物理气相传输生长有机单晶的过程中,多重氢键与芳香环间的π-π相互作用明显强于其他方向的作用力,成为该过程中的优势方向,得到二维的有机晶体。分子在晶体中表现出很好的平面性,滑移程度较低。

图1. a) (2Z,2'Z)-2,2'-(1,4-phenylene)bis(3-(thiophen-3-yl)acrylonitrile) (α-PBTA)和b) (2Z,2'Z)-3,3'-(benzo[1,2-b:5,4-b']dithiophene-2,6-diyl)bis(2-(thiophen-3-yl)acrylonitrile) (β-DBPA) 二维单晶晶体结构。
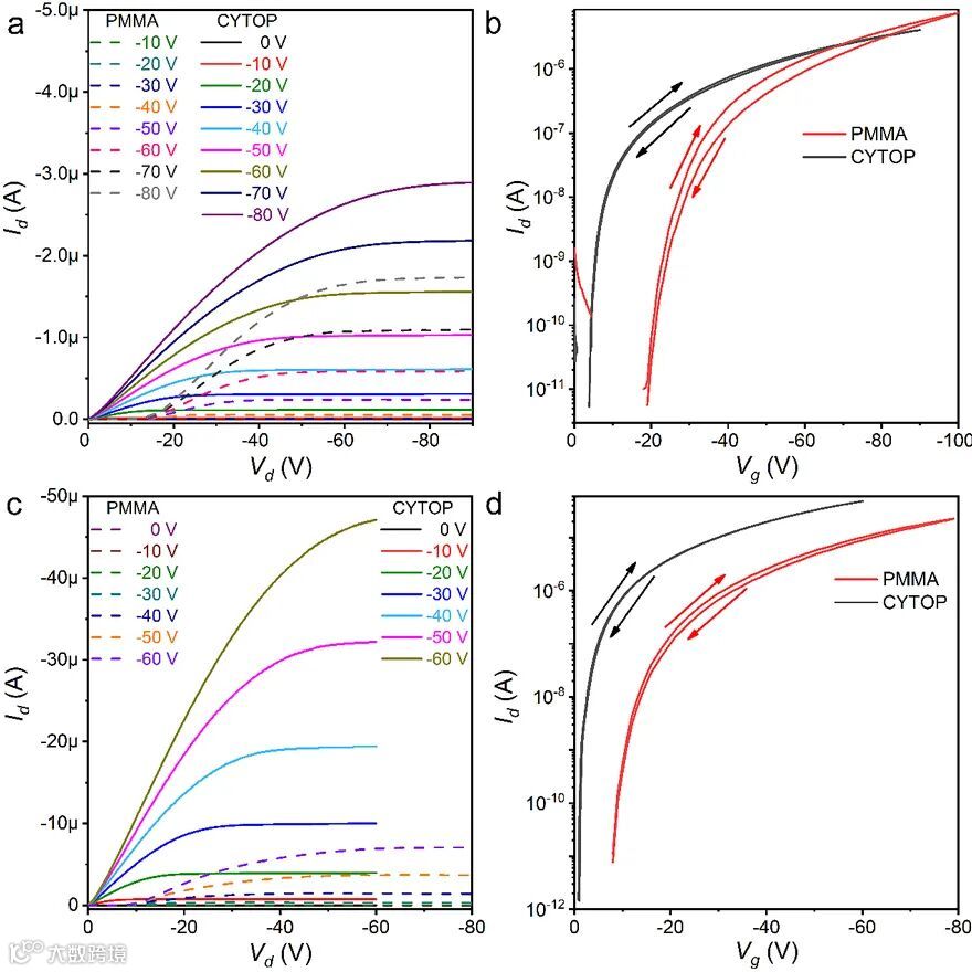
由图2可以看出,器件在CYTOP界面上表现出更好的空穴性质:注入势垒更低,器件开启阈值更低,输出电流更高,更低的亚阈值摆幅。不同材料的对比可以看出,β-DBPA的注入阈值更低,器件开关状态切换速度更快,亚阈值摆幅更低。材料中缺陷的计算原理是通过测试器件的转移曲线中的亚阈值摆幅(S),并通过公式
(公式中,e是欧拉常数,Ci 是界面的单位电容,k为玻尔兹曼常数,T是绝对温度,q是元电荷量)计算出器件的缺陷密度。由于器件中的工作物质是结构明确的有机单晶,其单位面积上存在的分子数是可以通过晶胞结构精确计算出来的。二者结合,就可以准确计算出晶体中存在的缺陷数上限。结果表明,在α-PBTA和β-DBPA的单晶中,缺陷的数量分别不超过1/9.22 × 103和1/1.82 × 104。从它们各自的晶体数据中可以知道,β-DBPA的分子间π-环交叠程度更高,分子间距离也更低,因此可以得出结论,分子间相互作用力越强的材料,产生的本征缺陷数目更少,器件亚阈值摆幅也越小,开关速度更快,载流子迁移率越高。

图2. 基于α-PBTA晶体在聚甲基丙烯酸甲酯(PMMA)和全氟带有机塑料(CYTOP)界面上的(a)输出曲线对比和(b)转移曲线对比图。基于β-DBPA晶体在 PMMA和CYTOP界面上的(c)输出曲线对比和(d)转移曲线对比图。
研究者采用了同样的方式将晶体转移到基板上,随后使用分步法在晶体的两端分别蒸镀上了钙电极和金电极。钙电极和金电极分别使用了氟化铯与氧化钼进行了界面修饰,提高器件的电子空穴注入能力。这种制备方法有效避免了常规制备方法中修饰层的引入对反向载流子注入的影响,所得器件表现出了良好的双极特性。通过调节器件三电极间的相对电势,可以实现对器件复合位置的控制。器件的发光光谱随外加电流密度而发生变化。经过数据处理,可知器件的最大外量子效率为2.02%,是目前已报道的基于有机单晶的场效应发光晶体管最高纪录。器件的最大流明效率超过36 lm W-1。

图3. 基于β-NBTA的场效应发光晶体管。a) 场效应发光晶体管在自然光下的照片。b) 场效应发光晶体管在不同栅电压下的发光照片。此时背景光源完全关闭,观察角度仍然为正上方。c) 场效应发光晶体管在不同的电流密度下工作时的器件发光光谱。d) 场效应发光晶体管外量子效率(EQE)和辐射功率随工作电流密度变化曲线。器件的最大外量子效率达到2.02%。
上述成果发表在Chem. Commun.[1]及ACS Appl. Mater. Interfaces [2],通讯作者为华南理工大学的邓剑博士后、顾成研究员和马於光教授。相关工作得到了国家自然基金、中国博士后科学基金、广东省自然科学基金、中央高校基本科研业务费的资助。
1. 原文(扫描或长按二维码,识别后直达原文页面):
Organic Single Crystals of Cyano-Substituted p-Phenylene Vinylene Derivatives as Transistors with Low Surface Trap Density
Jian Deng, Yuejuan Wan, Chang Cai, Cheng Gu, Yuguang Ma
Chem. Commun., 2020, DOI: 10.1039/D0CC06552H
2. 原文(扫描或长按二维码,识别后直达原文页面):
Efficient Organic Light-Emitting Transistors Based on High-Quality Ambipolar Single Crystals
Wan, Yuejuan; Deng, Jian; Wu, Wanling; Zhou, Jiadong; Niu, Quan; Li, Haoyuan; Yu, Huakang; Gu, Cheng; Ma, Yuguang
ACS Appl. Mater. Interfaces, 2020, DOI:10.1021/acsami.0c12842
顾成,2012年获吉林大学高分子化学与物理专业博士,导师为马於光教授。毕业后分别于日本分子科学研究所(2013-2016)和日本京都大学(2016-2017)进行博士后研究,现为华南理工大学材料科学与工程学院,发光材料与器件国家重点实验室研究员、博士生导师。主要研究方向包括光电功能多孔材料和二维有机单晶的可控制备及其光电器件。至今已发表SCI论文总数54篇,他引2400余次(包括4篇ESI高被引论文),h因子为28。以第一/通讯作者发表Science 1篇、Angew. Chem. Int. Ed. 4篇、Adv. Mater. 5篇、Chem. Sci. 1篇等。获得吉林省优秀博士论文奖,入选日本学术振兴会(JSPS)特别研究员,2018年获国家“海外高层次引进人才”青年项目资助。
马於光,现为华南理工大学材料科学与工程学院教授、发光材料与器件国家重点实验室主任。曾获国家自然科学二等奖(2009),教育部自然科学一等奖(2001,2008);国家杰出青年科学基金(2001);教育部长江特聘教授(2006);国家自然科学基金创新群体带头人(2015)。


本文版权属于X-MOL(x-mol.com),未经许可谢绝转载!欢迎读者朋友们分享到朋友圈or微博!
长按下图识别图中二维码,轻松关注我们!
点击“阅读原文”,查看 化学 • 材料 领域所有收录期刊
