
质子交换膜燃料电池作为新型能量转换装置具有高效、节能及环境友好等优点。在该电池体系中,质子交换膜发挥着隔离燃料和传递质子的重要作用,是燃料电池的“心脏”,其性能直接决定了电池的能量密度及能量转化效率。通常来讲,质子交换膜的“质子传导率”、“甲醇渗透率”和“力学性能”等属性难以兼顾,高效质子交换膜的制备已成为制约燃料电池发展的主要因素之一。
在众多种类的质子交换膜当中,美国杜邦公司(Dupont)研制并开发的Nafion系列全氟磺酸膜受到广泛关注并应用到各类能量转换器件中。但是在低湿度下,由于Nafion 膜膜通道内水含量不足,导致膜通道收缩,质子淌流下降等问题,致使质子电导率急剧下降。此外,Nafion 膜甲醇渗透较严重,且氧还原反应产生过氧化氢/氧自由基 (•OH或•OOH) 等强氧化基团,可攻击Nafion的内部骨架结构引发分解。
鉴于此,东北师范大学多酸科学教育部重点实验室李阳光教授、臧宏瑛教授和中国科学院长春应用化学研究所高分子物理与化学国家重点实验室段晓征副研究员通过合作研究,提出了“多金属铋氧簇精准靶向掺杂,制备高性能杂化Nafion质子交换膜”的新策略。

该团队借助铋氧簇与Nafion膜磺酸基团的静电作用及氢键作用,在分子水平实现精准掺杂,靶向组装构筑成Nafion/{H6Bi12O16}杂化质子交换膜。
利用实验研究和分子动力学模拟(MD)相结合的手段,该团队从分子水平揭示了Nafion/{H6Bi12O16}杂化质子交换膜的组装机制,进而实现了其微观结构的精准调控:通过定量调节{H6Bi12O16}的分子水平靶向掺杂,优化Nafion基体中的亲水/疏水相区,在保留微相结构的同时,促进水通道的贯通。

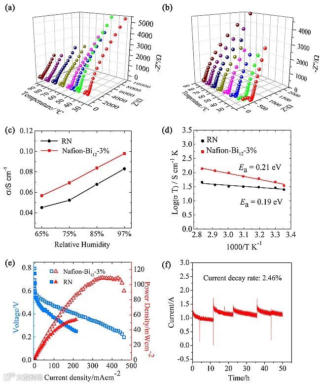
较之于传统的Nafion质子交换膜,新型Nafion/{H6Bi12O16}杂化膜的质子传导性能和基于其组装成的直接甲醇燃料电池性能均得到显著提升:杂化膜在80 ºC水中的质子传导率可达到0.386 S cm-1,提升至传统Nafion膜的300%;杂化膜直接甲醇燃料电池的最高功率密度和电流密度分别达到110.2 mW cm-2和432.7 mA cm-2,在恒定电压(0.35 V)下连续50 h直接甲醇燃料电池的电流衰减测试中,杂化膜电池总电流衰减率仅为2.46%;同时该杂化膜材料表现出优异的力学性能。

图3. 杂化膜的质子传导率测试及甲醇燃料电池性能测试。
相关论文近期发表于Angew. Chem. Int. Ed.。
Precise Molecular‐level Modification of Nafion with Bismuth Oxide Clusters for High‐performance Proton Exchange Membranes
Bailing Liu, Bo Hu, Jing Du, Dongming Cheng, Hong-Ying Zang,* Xin Ge, Huaqiao Tan, Yonghui Wang, Xiaozheng Duan,* Zhao Jin, Wei Zhang, Yangguang Li,* Zhongmin Su
Angew. Chem. Int. Ed., 2020, DOI: 10.1002/anie.202012079

李阳光,东北师范大学化学学院教授,博士生导师。主讲《化学概论》国家级一流本科课程。主要从事功能导向的多酸设计合成与能源催化材料相关的科研工作。以第一作者和通讯作者发表SCI 论文100余篇,包括Angew. Chem. Int. Ed.,J. Am. Chem. Soc.,Energy Environ. Sci., Nature Comm.等;已承担国家自然科学基金项目5项;出版学术专著1部,主编教材1部,参编学术专著2部;2014年与王恩波教授等合作项目获得国家自然科学二等奖(第四完成人);多次受邀组织国际多酸化学会议并做邀请报告;2012年入选教育部新世纪优秀人才。
https://www.x-mol.com/university/faculty/9460

臧宏瑛教授,理学博士,现任东北师范大学教授、博士生导师。2007-2010年获得硕士学位,师从苏忠民教授,2010-2014年在英国格拉斯哥大学攻读博士学位和博士后研究,师从Leroy Cronin教授和龙德良教授。于2012年7月受邀参加欧洲诺贝尔研讨会(仅限青年学者100人)和6位诺贝尔化学奖得主交流科研心得,并做口头报告及海报成果展示。2013年底, 作为优秀中国留学生代表,受邀参加英国中国博士研究生联盟会会议并受邀作邀请报告(会议仅邀请3人作报告)。回国建立课题组后,先后获得吉林省长白山学者称号,吉林省第七批拔尖创新人才称号,吉林省青年科技奖,吉林省青年科技工作者协会副主任。主持项目包括2项国家自然科学基金面上项目和2项吉林省科技厅项目等,发表SCI论文50余篇,其研究工作发表在国际高水平杂志Nat. Commun., J. Am. Chem. Soc., Angew. Chem. Int. Ed., Adv. Mater. 等, 课题组近期的研究工作主要围绕多金属氧簇的合成与组装及其在能源转化和存储领域的基础应用研究,包括多金属氧簇基固态材料的离子传导性能,多金属氧簇材料在能源转化(如HER,ORR和NRR等)中的作用及多金属氧簇为氧化还原媒介的能源存储器件制作等。

段晓征博士,中国科学院长春应用化学研究所高分子物理与化学国家重点实验室副研究员,长期致力于离子型软凝聚态体系的理论与模拟研究,利用模拟及理论解析方法,针对离子型软凝聚态体系(离子溶液、离子液体、离子型高分子及其复合体系等)的结构、热力学和动力学性质开展了深入探索,研究内容涉及高分子科学、仿生学、电化学、多酸科学、超分子科学、生物物理学等领域,在J. Am. Chem. Soc.、 Angew. Chem. Int. Ed.、Macromolecules等期刊发表SCI论文30余篇,主持国家自然科学基金项目(面上项目、国际合作交流项目、青年项目、超算专项),中科院项目,吉林省科技发展计划国际合作项目等。


本文版权属于X-MOL(x-mol.com),未经许可谢绝转载!欢迎读者朋友们分享到朋友圈or微博!
长按下图识别图中二维码,轻松关注我们!
点击“阅读原文”,查看 化学 • 材料 领域所有收录期刊
