
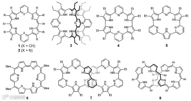
扩环卟啉是一类由吡咯及类似杂环直接或通过个数不等的桥原子连接而成的、内部至少具有17原子路径的一类大环化合物。扩环卟啉由于其独特的光学、电学及与金属配位的性质受到了科学家的广泛关注。在扩环卟啉家族中,含有吡啶单元的分子继承了吡啶单元所特有的碱性及配位活性,因而在分子识别、质子诱导的构象翻转等方面被深入研究。

图1. 一些具有代表性的吡啶替卟啉(1-7)和八卟啉(8)
湖南师范大学宋建新课题组近年来围绕卟啉化学在Nat. Commun.、Angew. Chem. Int. Ed.、J. Am. Chem. Soc.、ACS Central Sci.高水平学术期刊发表了系列论文(Angew. Chem. Int. Ed., 2014, 53, 11088; Angew. Chem. Int. Ed., 2016, 55, 6438; Angew. Chem. Int. Ed., 2017, 56, 12322; J. Am. Chem. Soc., 2018, 140, 16533; Angew. Chem. Int. Ed., 2019, 58, 8124;J. Am. Chem. Soc., 2019, 141, 18836; ACS Central Sci., 2020, Nat. Commun., 2020, 11, 6206)。
基于前期的工作(Angew. Chem. Int. Ed., 2016, 55, 6438; Chem. Commun., 2019, 55, 11454),近日,该课题组以三吡咯烷-α,α'-二(频哪醇硼酸酯)(9)及间二溴苯/2,6-二溴吡啶为原料,利用Suzuki偶联的方法合成了苯掺杂、吡啶掺杂的八元扩环卟啉化合物(12/13)。12与醋酸钯作用只形成一种双侧插Pd产物14,而13可以与醋酸钯作用,同时得到了双侧插钯产物15、单侧插钯产物16和螺环化合物17。15与16在三氟醋酸的作用下能够相互转化。研究表明,吡啶杂环的引入,丰富了八元扩环卟啉类金属配位结构的多样性与可调控性,为新型分子开关的设计提供了新的思路。


图3. 化合物14, 15, 16, 17的晶体结构俯视图(a, b, c, d)
这一成果近期发表在Nat. Commun.上,该工作实验部分主要由硕士研究生刘乐完成,硕士研究生胡智文对该工作进行了前期的探索。硕士研究生张芬妮、博士研究生柳阳也参与了部分工作。
Benzene- and pyridine-incorporated octaphyrins with different coordination modes toward two PdII centers
Le Liu, Zhiwen Hu, Fenni Zhang, Yang Liu, Ling Xu, Mingbo Zhou, Takayuki Tanaka, Atsuhiro Osuka, Jianxin Song*
Nat. Commun., 2020, 11, 6206. DOI: 10.1038/s41467-020-20072-9

宋建新,湖南师范大学教授,博士生导师,化学化工学院副院长。分别于1996年及1999年本科及硕士毕业于湖南师范大学化学化工学院,1999年进入湖南大学攻读博士学位,2002年赴美国佛罗里达大学进行访问研究。2006年获得国家留学基金委资助,赴日本京都大学进行博士后研究,2011年回到湖南师范大学执教。
其兴趣主要集中在卟啉类功能分子的设计、合成、性能及相关的超分子化学研究。这些功能分子结构新颖、很多在近红外区域具有一定的吸收,因而具有应用于光动力治疗的潜力。自2014年以来,该组在此领域内取得了如下成果:Angew. Chem. Int. Ed., 2014, 53, 11088; Angew. Chem. Int. Ed., 2016, 55, 6438; Angew. Chem. Int. Ed., 2017, 56, 12322; J. Am. Chem. Soc., 2018, 140, 16533; Angew. Chem. Int. Ed., 2019, 58, 8124;J. Am. Chem. Soc., 2019, 141, 18836; ACS Central Sci., 2020, Nature Commun., 2020, 11, 6206.其已获得国家自然科学基金、教育部留学回国人员科研启动基金、湖南省高校创新平台项目、湖南省普通高校学科带头人培育项目以及湖南师范大学人才引进项目资助。
https://www.x-mol.com/university/faculty/10179


本文版权属于X-MOL(x-mol.com),未经许可谢绝转载!欢迎读者朋友们分享到朋友圈or微博!
长按下图识别图中二维码,轻松关注我们!
点击“阅读原文”,查看 化学 • 材料 领域所有收录期刊
