
敏捷感知环境温度的能力是生物体维持正常的生命活动的前提。在哺乳动物中,温度刺激是主要是通过离子通道(thermo-TRP)将感知的温度变化转换为电势,再通过神经中枢进一步转化为我们所熟知的冷、热或疼痛。为了设计温感器件,科学家合成了许多温度响应的分子,并将这些分子与纳米孔材料结合。这些合成体系虽然表现出可逆的热响应性,但是由于其工作原理是基于温度变化引起分子构象的改变,因此它们仅当温度达到某一特定温度时才起作用,无法适用于宽的温度窗口。
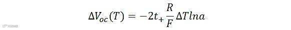
近几年随着纳流控科学与技术的发展以及一些纳流控研究的新方法和新手段的逐渐出现,使得模拟一些生命现象逐渐成为可能。表面电荷诱导的离子筛分是纳流体系的基本现象之一,当孔道的尺寸小于或等于电解质的德拜半径时,荷电纳米孔道可形成双电层,屏蔽带相同电荷的离子在驱动力方向上的传输,从而导致纳米孔道中的离子分布状态不同于溶液中的分布状态,在孔道两侧形成准稳态电位差,该电位差(Voc)遵循以下公式:

其中a和T分别代表纳米孔道两侧溶液的活度和绝对温度。t+、R和F分别代表阳离子转移数、气体常数和法拉第常数。根据该公式,可以得知,通过设计合适的纳流体系可以将温度信号转化连续的电信号,并且这两者具有线性关系,为设计新一代温感器件提供可能。从上述方程可以推断出,纳流体系的阳离子选择(t+)是决定热电响应灵敏度的关键因素。
要使纳流体系具有离子选择性除了要带电以外另一个关键因素是孔道尺寸,当孔道的孔径小于德拜屏蔽长度时,才能具有高的阴阳离子筛分性能。因此,为了提高纳流体系的热电性能,开发具有较小孔径以及高电荷密度的纳流膜是关键。

图1. Schematic illustration of the principle of ionic covalent organic framework nanofluidic membrane as a bionic thermometer.
共价有机框架(Covalent Organic Frameworks, COFs)作为一种高度有序纳米/亚纳米孔道结构的新材料,为设计高效纳流体系提供新的契机:(1)COFs 孔道为周期性刚性可设计孔结构不但可减小传质阻力,实现离子在膜内的快速传递,获得高渗透性还可以在一定范围内精确调控孔道大小;(2)壁面可引入可裁剪位点,易于同时耦合分子筛分和促进传递机制,获得高选择性;因此,COFs材料为设计具有高灵敏度的热电响应纳流膜材料提供新的契机。
近日,浙江大学孙琦团队联合北德克萨斯州大学马胜前团队创造性地制备了一种基于离子共价有机框架的纳米流控膜,它能够智能地监测温度变化,并以连续电位差的形式显示出来。亚纳米通道中存在高密度的电荷位点,使得膜层具有高选择性和高达1.27 mV K-1的热感觉灵敏度。该系统还具有良好的耐盐性,工作温度宽,对温度刺激的同步响应,以及长期超稳定性的优势。基于这些结果,作者探索了COFs基纳流体系在设计具有热感觉能力的可穿戴设备中的潜力。作为一个传感器,膜被放置在浸入KCl溶液的碳布之间。通过简单加热或冷却一块碳布来诱导温度梯度,产生的电位变化由Ag/AgCl电极检测。图2显示了热感觉系统的实时输出电位响应,证明了其灵敏度和重复性。此外,输出电位响应不同温度梯度的变化幅度也有明显差异。总的来说,所开发的热电体系在可穿戴温度传感器的设计上显示出巨大的应用潜力。

图2. (a) Schematic illustration of how the smart textile was designed with the ability of thermosensation. (b) Real-time measured potential changes, corresponding to the imposed temperature gradients
这一成果近期发表在Nature Communications 上,文章的第一作者是浙江大学硕士研究生张鹏程。孙琦研究员和马胜前教授为本文的通讯作者。
Covalent organic framework nanofluidic membrane as a platform for highly sensitive bionic thermosensation
Pengcheng Zhang, Sifan Chen, Changjia Zhu, Linxiao Hou, Weipeng Xian, Xiuhui Zuo, Qinghua Zhang, Lin Zhang, Shengqian Ma & Qi Sun
Nat. Commun., 2021, 12, 1844, DOI: 10.1038/s41467-021-22141-z

孙琦,博士,浙江大学“百人计划”研究员。2014年毕业于浙江大学化学系;2015-2019在美国南佛罗里达大学从事博士后研究;2019年9月入职浙江大学化学工程与生物工程学院联合化学反应工程研究所。现主要从事多孔有机聚合物纳流膜的设计及其应用探究。目前以第一作者或通讯作者已在J. Am. Chem. Soc.、Nat. Commun.、Angew. Chem.、Adv. Mater.以及Chem等世界知名期刊发表论文50余篇,其中IF>10的论文37篇,引用5700余次。
热烈欢迎感兴趣的同学保研或报考也欢迎具有功能多孔材料、膜分离材料、光/电催化等一项或以上相关基础的青年才俊加入。
https://www.x-mol.com/university/faculty/75586


本文版权属于X-MOL(x-mol.com),未经许可谢绝转载!欢迎读者朋友们分享到朋友圈or微博!
长按下图识别图中二维码,轻松关注我们!
点击“阅读原文”,查看 化学 • 材料 领域所有收录期刊
