合成聚合物材料由于其出色的稳定性和机械性能被广泛地应用于人们生产生活的方方面面。然而,其优异的化学耐久性也使得废弃的聚合物在环境中大量堆积,造成了全球的环境污染问题。物理机械回收可以在一定程度上地缓解该问题,但是机械回收通常会显著降低原有材料的性能,并不适合高性能材料的回收利用。而与之对应的化学回收(即将聚合物解聚成其单体,再将其回收与再聚合利用的回收过程)既有助于有限石油资源的循环利用,又可以解决废弃聚合物囤积的环境问题。
从聚合原理出发,常见的聚合过程为焓有利而熵不利的过程,即ΔH<0,ΔS<0。由吉布斯自由能公式(ΔG = ΔH - TΔS)可知,存在一个临界温度(ceiling temperature,Tc)使得ΔG等于0。当反应温度高于Tc时,则有利于聚合物的解聚。遗憾的是,通常具有低Tc的可解聚聚合物热稳定性和化学稳定性较差,不能取代具有优异性能的商品化聚合物材料。
为了提升该类聚合物的稳定性,多种仅在催化剂存在下才能进行有效解聚的聚合物被相继开发出来。这些聚合物在没有催化剂的存在时,即使使用温度高于Tc,解聚过程也不会发生(如多种环状内酯的开环聚合体系)。
在催化聚合反应中,烯烃复分解反应体系具有很多的优势,包括温和的反应条件和广泛的官能团实用性。特别需要指出的是,烯烃复分解反应可以促使形成高度稳定的完全由碳碳键组成的聚合物主链,这是其他的催化聚合体系不能实现的。环状单体经开环烯烃复分解聚合(ROMP)可以制备主链含有多个烯烃的高分子,而闭环烯烃复分解(RCM)则可以将线性双烯结构环化成为环状化合物。从这一角度看,RCM可以用作由ROMP获得的聚合物的解聚过程。然而,现有的可解聚ROMP聚合物仅限于环戊烯体系(即聚环戊烯,polypentenamers)。由于聚戊烯的玻璃转变温度(Tg)低于或接近室温且通常为无定形聚合物,因此该类聚合物无法满足高性能材料的要求。此外,较低的环张力也给环戊烯类单体的可控聚合带来了困难。

美国阿克伦大学高分子科学系的王军鹏教授课题组从环状烯烃的环张力角度出发,通过计算辅助,系统研究了环辛烯的5,6位并环体系的立体化学与环大小等因素对八元环环张力的影响。他们发现反式环丁烷并环辛烯 (tCBCO) 单体具有最低的环张力,可将环辛烯8.2 kcal/mol的环张力降低至4.9 kcal/mol,从而达到与环戊烯环张力(5.2 kcal/mol)相当的水平,赋予不可解聚的聚环辛烯以解聚能力。同时,该类tCBCO单体具有广泛的结构可修饰性。通过修饰不同的官能团可调节所得聚合物的热性能和机械性能,从而制备兼具高热稳定性和可化学回收的热塑体和弹性体,有望发展成为称为新一代可持续高分子材料。这种材料的一个巨大的优势在于单体的制备可以通过非常廉价的环辛二烯和烯烃通过一步环加成反应实现,具有很大的工业生产前景。另外,值得指出的是,这个工作系统地研究了一系列的稠环的环张力与分子结构的关系,对很多涉及到环张力的学科,包括催化,力化学,点击化学等,都有很大的启示作用。该研究工作发表于Nature Chemistry 杂志。

图1. 并环的立体化学和大小对环张力的影响。(a) 由于单体环张力差异,聚环戊烯可解聚,聚环辛烯不可解聚。利用合适的并环可以将环辛烯的环张力降低至与环戊烯相当的水平,从而使聚合物具备解聚性能;(b) 由DFT计算得出的在5,6-位并上顺式和反式的三、四、五和六元环的环辛烯的环张力。c) 用于计算环烯烃环张力的闭环复分解反应,即环烯烃的环张力本质上为该反应的焓变。

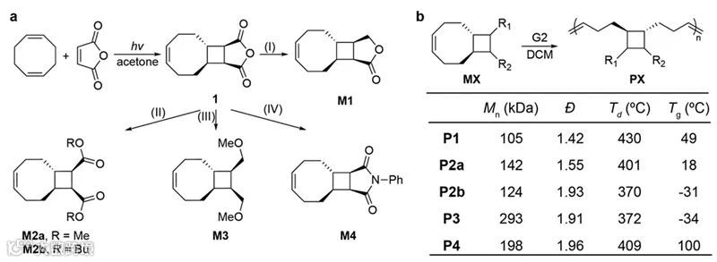
图2. 单体与聚合物的合成和表征。(a) 反式环丁烷并环辛烯 (tCBCO) 单体的合成方案;(b) tCBCO 聚合物的合成方案、分子量和热性能数据。

图 3. 探究聚合物的解聚行为。P1 (a)、P2a (b)、P3 (c)、聚环辛烯(d)、聚(cis-gDCC-CO) (e)、聚(trans-gDCC-CO) (f)的核磁氢谱对比。其中,黑色为聚合物氢谱,红色为聚合物在Grubbs II存在下50 °C 加热2 小时反应体系的氢谱,蓝色为相应单体的氢谱。

图4. 1,9-二烯和环辛烯沿C5-C6键的纽曼投影,通过观察二面角H5-C5-C6-C7、H6-C6-C5-C4以及 H5'-C5-C6-H6'(或C5'-C5-C6-C6')的变化,可发现tCBCO与其线性二烯的三处二面角均相等。

图5. 聚合物的机械性能。(a)基于tCBCO弹性体PN1的化学结构、拉伸样条和拉伸曲线。(b) 热塑性聚合物P4的化学结构、拉伸样条以及与聚苯乙烯对比的拉伸曲线。
原文(扫描或长按二维码,识别后直达原文页面):

Olefin metathesis-based chemically recyclable polymers enabled by fused-ring monomers
Devavrat Sathe, Junfeng Zhou, Hanlin Chen, Hsin-Wei Su, Wei Xie, Tze-Gang Hsu, Briana R. Schrage, Travis Smith, Christopher J. Ziegler & Junpeng Wang
Nat. Chem., 2021, DOI: 10.1038/s41557-021-00748-5
王军鹏
https://www.x-mol.com/university/faculty/156350
课题组主页
https://junpengwanglab.uakron.edu/

本文版权属于X-MOL(x-mol.com),未经许可谢绝转载!欢迎读者朋友们分享到朋友圈or微博!
长按下图识别图中二维码,轻松关注我们!

点击“阅读原文”,查看 化学 • 材料 领域所有收录期刊




