
过渡金属催化的二噁唑酮类化合物的乃春转移反应虽然已经取得了一定的进展,但是通常局限于贵金属铱、铑、钌等。近日,大连理工大学于晓强教授和包明教授发展了一种基于二噁唑酮分子的可见光诱导铁催化的乃春转移反应,成功实现了分子间C(sp3)-N、N=S及N=P键的构筑。该反应无需加入额外的光敏剂或者配体,反应条件温和且具有良好的底物适用性。结合理论计算及机理探究实验,作者认为该反应可以在温和条件下实现的关键在于:可见光调控的铁-二噁唑酮物种自旋态的改变(六线态到四线态的转变)大大降低了二噁唑酮分子脱除二氧化碳时所需的活化能(∆G = 22.0 kal mol-1)。
酰胺骨架结构广泛存在于药物分子及生物活性分子中,利用酰基乃春前体作为酰胺源并通过过渡金属催化乃春转移的方式可以实现分子的直接酰胺化。尽管磺酰基、磷酰基、烷基和芳基叠氮试剂已经成功用于乃春转移反应中,但是由于酰基叠氮化物其固有的不稳定性,尤其是脂肪族酰基叠氮化物难以分离和储存,极大限制了其应用。此外,亚胺碘苯类化合物作为另外一种乃春前体,也广泛应用于乃春化学领域,但是这类试剂的使用往往会伴随当量芳基卤代物的生成,原子经济性较差。二噁唑酮类化合物可以由自然界中广泛存在的羧酸制备而成,与传统的有机叠氮以及亚胺碘苯类乃春前体相比,其制备过程具有安全、简便的特点。目前,过渡金属催化的二噁唑酮类化合物的乃春转移反应已经取得了一定的进展,如过渡金属铱、铑、钌等催化的导向基团辅助的C(sp2)-H酰胺化、分子内的C(sp3)-H酰胺化以及与有机硫试剂的亚胺化反应等。铁作为3d金属不仅储量丰富、价格低廉且生物兼容性好,根据绿色、可持续发展的理念,发展新的铁催化体系并将其用于二噁唑酮类化合物的乃春转移反应具有重要的研究价值。

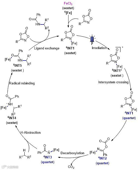
理论计算表明,处于六线态的铁-二噁唑酮物种在进行开环活化时需要克服较高的反应能垒(∆G = 29.9 kal mol-1)。然而高活性的酰基乃春中间体在比较苛刻的反应条件(高温、紫外灯照射)下通常会发生Curtius重排。而当铁-噁唑酮物种处于四线态时脱除二氧化碳所需活化能则可降低至22.0 kal mol-1。该课题组通过光调控铁-二噁唑酮物种自旋态的改变,进而在温和条件下实现二噁唑酮分子的活化转化。
最后,以分子间的C(sp3)-N键的构筑为例,作者给出了可能的反应机理:首先,基态的铁催化剂(六线态)与二噁唑酮分子配位,生成中间体6INT1,在可见光的照射下,该物种被激发并通过系间窜跃过程生成四线态的4INT1,随后通过N-O键及C-O键断裂脱除CO2得到酰基乃春铁中间体4INT3。最后,4INT3经由连续的分子间氢原子转移(HAT)、自由基重组、配体交换过程得到目标产物并再生催化剂,开启下一催化循环。

这一成果近期发表在Angew. Chem. Int. Ed.上,文章的通讯作者为大连理工大学于晓强教授和包明教授,第一作者是大连理工大学博士研究生唐晶晶。
Interweaving Visible‐Light and Iron Catalysis for Nitrene Formation and Transformation with Dioxazolones
Jing-Jing Tang, Xiaoqiang Yu, Yi Wang, Yoshinori Yamamoto, Ming Bao
Angew. Chem. Int. Ed., 2021, DOI: 10.1002/anie.202016234
https://www.x-mol.com/university/faculty/9106
https://www.x-mol.com/university/faculty/77363


本文版权属于X-MOL(x-mol.com),未经许可谢绝转载!欢迎读者朋友们分享到朋友圈or微博!
长按下图识别图中二维码,轻松关注我们!
点击“阅读原文”,查看 化学 • 材料 领域所有收录期刊
