
英文原题:An Ultrafast WSe2 Photodiode Based on a Lateral p‑i‑n Homojunction
通讯作者:王顺, 华中科技大学;仇志军,复旦大学
作者:Youwei Zhang, Kankan Ma, Chun Zhao, Wei Hong,Changjiang Nie, Zhi-Jun Qiu,and Shun Wang
过渡金属硫族化物(TMDs)由于其较强的光与物质相互作用、可见-近红外光谱范围内的可调带隙以及较高的载流子迁移率而在光电器件的研究中备受关注。在光电器件领域,基于p-n结的光电二极管具有响应速度快、光响应线性度高、噪声低和功耗低等优点。但受限于高质量p-n结和低接触电阻的制备,前人报道的TMDs基光电二极管性能尚有很大提升空间。
基于以上分析,近日,华中科技大学物理学院报道了一种基于横向p-i-n同质结的多层WSe2光电二极管。张有为副研究员与硕士研究生马衎衎为该论文共同第一作者,王顺教授与复旦大学仇志军教授为共同通讯作者。这种二极管表现出了理想的整流性能,电流开/关比高达1.2×106,理想因子为1.14。在光伏模式下工作时,该二极管在450 nm光照下表现出出色的光电探测性能,包括340 mV的开路电压,0.1 A W-1的响应度和2.2×1013 Jones的比探测率。此外,得益于横向p-i-n的器件结构,该二极管可以显著抑制甚至完全避免一些缓慢的光电响应过程,从而首次将TMDs基光电器件的响应速度提升至百纳秒量级(264 ns),对应3 dB 带宽大于 1 MHz。基于上面提到的优异特性以及与CMOS兼容的工艺,这种WSe2 p-i-n结二极管有希望在自驱动高频弱信号光电检测中实现应用。

图1. 器件制备工艺流程的三维示意图和器件光学图像。
在器件制备中采用了两步光刻工艺,在沉积金属电极之前,采用O2和Ar等离子体分别引入p型和n型掺杂,同时在光刻胶的保护下,中间的WSe2沟道保持其本征特性,从而形成了完整的横向p-i-n同质结。等离子体处理后,再采用电子束蒸发沉积金属电极,最终去胶完成器件制备。

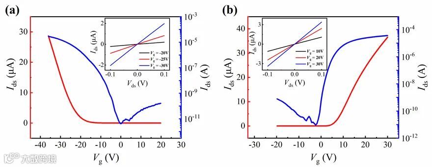
图2. p型和n型WSe2 场效应晶体管的转移特性曲线。
在对基于WSe2的二极管进行电学表征之前,首先对表面等离子体处理引起的掺杂进行了表征。由图2的转移特性曲线可以看出,p型和n型器件均表现出清晰的单极性输运特性,这表明等离子体处理引起的p型和n型掺杂是成功的,并且在小源漏偏压下输出特性曲线显示出近乎完美的线性,表明两种掺杂均形成了良好的欧姆接触。

图3. WSe2 p-i-n结二极管的双极性转移特性和整流特性。
对于p-i-n结构,正如预期的那样,实现了具有均衡n型传导和p型传导的双极性输运特性,如图3a所示。在没有栅极偏置的情况下,该二极管表现出了很强的整流性能,实现了2.2×10-11 A(-1.5 V)的微小反向饱和电流以及2.7×10-5 A(1.5 V)的高正向电流,整流比高达1.2×106,理想因子n为1.14。

除了上述整流行为外,该横向p-i-n结二极管展现出了出色的光电性能。在零偏压下呈现出非零的短路电流(Isc),当最大测量光强3.3 mW•cm-2时,Isc可达到0.57 μA。同时,Isc与功率密度P呈明显的线性关系而开路电压(Voc)与P呈非线性关系,表明器件的光电响应主要来源于光伏效应。此外,由于该二极管光电流与光强呈线性关系,以至于响应度几乎保持恒定。零偏压下的空间分辨光电流图像(SPCM)显示光电流源于整个WSe2沟道,证实了本征WSe2区域被完全耗尽,光响应区域覆盖了整个WSe2沟道,从而提供了光生载流子的良好收集效率和相应的强光伏效应。

图5. WSe2 p-i-n结二极管超快光响应特性以及基于TMDs的光电探测器的性能对比
对于基于TMDs的光电探测器,响应时间一般为10-5 s至102 s,很少有报道重复光开关特性具有数百纳秒级的响应时间。而此二极管光电响应的上升和下降时间τr和τf分别短至264 ns和552 ns,测量得出3 dB带宽f-3dB=1.9 MHz。这主要益于器件的p-i-n结构使得器件结电容极其小同时由于掺杂区被金属电极覆盖不参与光吸收过程,因此能够避免较慢的光生载流子扩散过程,以及由于掺杂剂或掺杂过程引入的缺陷态而导致的光生载流子的俘获/去俘获,使得光生载流子在结区电场下的漂移过程成为限制器件带宽的唯一主要因素。正因为具有上述优点,该多层WSe2 p-i-n光电二极管首次将TMDs基光电器件带宽提升数个数量级级至MHz以上。
相关论文发表在ACS Nano 上,华中科技大学张有为副研究员和硕士研究生马衎衎为文章的共同第一作者,华中科技大学王顺教授和复旦大学仇志军教授为共同通讯作者。
原文(扫描或长按二维码,识别后直达原文页面):

An Ultrafast WSe2 Photodiode Based on a Lateral p-i-n Homojunction
Youwei Zhang, Kankan Ma, Chun Zhao, Wei Hong, Changjiang Nie, Zhi-Jun Qiu*, Shun Wang*
ACS Nano, 2021, DOI: 10.1021/acsnano.0c08075
Publication Date: February 15, 2021
Copyright©2021 American Chemical Society


本文版权属于X-MOL(x-mol.com),未经许可谢绝转载!欢迎读者朋友们分享到朋友圈or微博!
长按下图识别图中二维码,轻松关注我们!
点击“阅读原文”,查看 化学 • 材料 领域所有收录期刊
