
含联烯手性分子广泛存在于天然产物、药物分子、有机材料、配体以及有机催化剂中,同时作为重要的合成子,常用于各类生物活性骨架的构建(Scheme 1a)。如何高效合成含联烯手性分子一直是化学家们关注的一个重要课题,成为有机化学的热点研究领域。传统的方法主要是消旋体的拆分或者手性底物的手性转移。近年来,以潜手性化合物为原料利用过渡金属催化或者有机催化的不对称合成策略,受到了极大的关注并取得了可喜的进展。
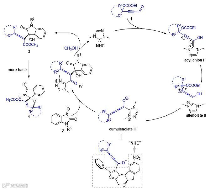
Azolium Cumulenolate中间体是氮杂环卡宾(NHC)催化领域一类特殊的中间体, 其α位的亲核加成反应可用于构建联烯类分子。然而,通过Azolium Cumulenolate中间体的不对称反应合成含联烯手性分子颇具挑战,主要难点在于该中间体具有三个连续的碳碳双键,其α位的位阻较小;此外,该中间体存在Z/E两种构型。目前对该中间体的研究较少,仅有的报道是该中间体对质子以及亲电氟试剂的加成来获得消旋的联烯类化合物(Scheme 1b)。通过Azolium Cumulenolate中间体的不对称反应来合成含联烯手性分子至今仍未报道。

池永贵教授课题组长期致力于设计发展NHC催化的新型活化反应模式并用于医药农药功能分子的快速构建。近日,该课题组通过引入高反应活性并且大位阻的酮类化合物作为亲电试剂,首次实现了Azolium Cumulenolate中间体的不对称反应得到含联烯手性分子(Scheme 1c)。当采用2.5倍当量碱时,生成的联烯类化合物会进一步发生分子内环化,得到手性螺环氧化吲哚类产物。值得一提的是,手性螺环氧化吲哚广泛存在于天然产物以及生物活性分子中,其高效构建对于药物研发具有重要意义。该研究也为手性螺环氧化吲哚的制备提供了新的合成方法。
该反应具有良好的底物适用范围,各种环状或者链状的炔醛衍生物都能参与反应,并且都具有较高的收率和优秀的对映选择性(Scheme 2)。作者也进一步对环化生成氧化吲哚的反应进行了底物拓展,证明了该反应也具有很好的底物适用范围以及较好的官能团耐受性。

该反应历程如下(Scheme 3):首先,卡宾与炔醛衍生物1加成形成Breslow中间体I,随后电子的转移会得到中间体II。作者通过控制实验证明了中间体II的存在。中间体II中离去基的离去会得到Azolium Cumulenolate中间体III,最后,中间体III与酮发生反应得到联烯产物并且循环卡宾催化剂。在过量碱存在的条件下,联烯产物会进一步环化得到手性氧化吲哚类产物。作者通过机理实验进一步验证了该环化为碱促进的过程。

池永贵教授课题组报道了Azolium Cumulenolate中间体对活性酮的加成得到含联烯手性分子。该反应条件温和,操作简单,底物适用范围广,可用于各类含联烯手性分子以及手性螺环氧化吲哚类化合物的合成。由于联烯与手性螺环氧化吲哚的独特物理化学性质以及生物活性,该方法在天然产物、中医药分子的后期不对称修饰、手性前药合成等领域具有良好的应用前景。
本工作主要由解永涛博士(第一作者)统筹开展。深圳大学、南洋理工大学、贵州大学及贵州中医药大学的多位学生及研究人员在反应设计、底物拓展、机理研究等方面做了重要贡献。
Access to Allene-Containing Molecules via Enantioselective Reactions of Azolium Cumulenolate Intermediates
Yongtao Xie,+ Xing Yang,+ Jun Xu, Huifang Chai*, Hongxia Liu, Junmin Zhang, Jun Song, Yuan Gao*, Zhicao Jin, and Yonggui Robin Chi*
Angew. Chem. Int. Ed., 2021, DOI: 10.1002/anie.202102177
https://www.x-mol.com/university/faculty/4432


本文版权属于X-MOL(x-mol.com),未经许可谢绝转载!欢迎读者朋友们分享到朋友圈or微博!
长按下图识别图中二维码,轻松关注我们!
点击“阅读原文”,查看 化学 • 材料 领域所有收录期刊
