物质科学
Physical science
2020年10月宣布创刊并开始征稿,2021年4月庆祝创刊,今天,我们很高兴地宣布,Cell Press细胞出版社旗下新刊Chem Catalysis首期正式上线!
Chem Catalysis旨在将来自学术界和工业界的多个领域的研究人员聚集在一起,增进我们对现有催化系统的理解,发展新型催化剂以扩展当前的知识,并将基本催化见解与现实世界连接起来,造福社会。
第一期创刊号中包含多种文章形式,其中八篇原创研究性论文涵盖了基础和应用领域,均相、非均相和生物催化方面研究的诸多重要进展。
此前,我们曾在部分论文上线时对其进行了详细报道。今天,小编就带大家一览Chem Catalysis第一期的全部内容(开放阅读下载)。
扫码查看首期全部内容
In This Issue
In this issue
VOLUME 1, ISSUE 1, P1-3, JUNE 17, 2021
Editorial
Introducing Chem Catalysis
Ilaria Cianchetta
Activity
New opportunities and future directions for higher-value lignin applications
New opportunities and future directions for higher-value lignin applications
Christian Kugge, Peter J. Deuss
“Lignin-first” catalytic valorization for generating higher value from lignin
“Lignin-first” catalytic valorization for generating higher value from lignin
Peter J. Deuss, Christian Kugge
Previews
The bridge from bio-inspired molecular catalysts to fuel cell electrocatalysts
The bridge from bio-inspired molecular catalysts to fuel cell electrocatalysts
Iryna V. Zenyuk
Nanocrystal photocatalysts trigger stereoselective photocycloaddition
Nanocrystal photocatalysts trigger stereoselective photocycloaddition
Meng-Fan Wang,Zheng Niu,Jian-Ping Lang
Radical entry into Ni-catalyzed transfer hydrocyanation using cheap AIBN
Radical entry into Ni-catalyzed transfer hydrocyanation using cheap AIBN
Andreas J. Weidkamp,Martin Oestreich
7-Membered rings made easy
7-Membered rings made easy
Rene M. Koenigs
Controllable immobilization of enzymes in metal-organic frameworks for biocatalysis
Controllable immobilization of enzymes in metal-organic frameworks for biocatalysis
Yin Zhang,Shengqian Ma
An enzyme-mimicking inorganic catalyst for effective nitrogen photofixation
An enzyme-mimicking inorganic catalyst for effective nitrogen photofixation
Yue Xin,Liangbing Wang
Machine learning: The trends of developing high-efficiency single-atom materials
Machine learning: The trends of developing high-efficiency single-atom materials
Jiarui Yang,Wen-Hao Li,Dingsheng Wang
Breslow-type intermediates as super electron donors in 3-component coupling reactions
Breslow-type intermediates as super electron donors in 3-component coupling reactions
John A. Murphy
Neotype strong metal-support interactions: CO2-induced MgO migration on gold nanoparticles
Neotype strong metal-support interactions: CO2-induced MgO migration on gold nanoparticles
Xing-Wu Liu,Ding Ma
Perspective
Energy catalysis needs ligands with high oxidative stability
Energy catalysis needs ligands with high oxidative stability
Agnes E. Thorarinsdottir,Daniel G. Nocera
Reviews
Roles of sulfur-edge sites, metal-edge sites, terrace sites, and defects in metal sulfides for photocatalysis
湖南大学袁兴中教授与王侯助理教授综述了近年来对金属硫化物活性中心识别和表征相关的研究进展,总结了增加活性中心数量和调节其活性的合成方法。此外,作者在文中论述了金属硫化物的活性中心与光催化应用之间的关联,并提出了光催化金属硫化物的发展机遇和挑战。点击查看Cell Press详细解读。
Roles of sulfur-edge sites, metal-edge sites, terrace sites, and defects in metal sulfides for photocatalysis
Yue Liu ,Hou Wang ,Xingzhong Yuan
Yan Wu,Haojing Wang
Yong Zen Tan,Jia Wei Chew
The role of first principles simulations in studying (bio)catalytic processes
The role of first principles simulations in studying (bio)catalytic processes
Pietro Vidossich,Marco De Vivo
Articles
Impact of ionomer structuration on the performance of bio-inspired noble-metal-free fuel cell anodes
本文中,来自法国格勒诺布尔阿尔卑斯大学的Pascale Chenevier,Vincent Artero等人与使用各种固定在碳纳米管上的DuBois镍催化剂来举例说明介观尺度上的自组装如何影响阳极的性能。点击查看Cell Press详细解读。
Impact of ionomer structuration on the performance of bio-inspired noble-metal-free fuel cell anodes
Nathan Coutard,Bertrand Reuillard
Tran Ngoc Huan,Sandrine Lyonnard
Vincent Artero,Pascale Chenevier
Chemo- and stereoselective intermolecular [2 + 2] photocycloaddition of conjugated dienes using colloidal nanocrystal photocatalysts
美国西北大学Emily A. Weiss教授团队设计了一种多相CdSe纳米晶光催化剂,具有较高的三重态能量转移产率,可高效促进末端/内芳基共轭二烯的[2+2]光环化加成,是一种具有良好应用前景的催化剂。点击查看Cell Press详细解读。
Chemo- and stereoselective intermolecular [2 + 2] photocycloaddition of conjugated dienes using colloidal nanocrystal photocatalysts
Yishu Jiang,Muwen Yang,Yue Wu
Rafael López-Arteaga,Cameron R. Rogers,Emily A. Weiss
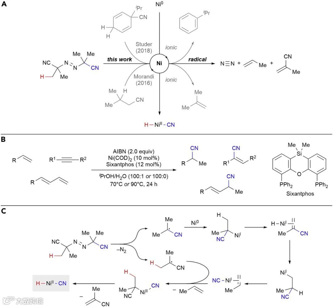
Nickel-catalyzed group transfer of radicals enables hydrocyanation of alkenes and alkynes
转移功能化指的是官能团从给体分子转移到受体分子的过程,是近年来有机合成的研究热点之一。自由基反应在精细化学品和大宗化学品,特别是高分子材料的研究和工业生产中应用广泛。偶氮化合物是常用的自由基引发剂,偶氮二异丁腈(AIBN)也是获得氰基异丙基自由基最廉价最易得的来源之一。本文中,南开大学周其林院士团队使用AIBN作为氰氢化试剂,在过渡金属镍的催化下,开发了一种实用、经济的腈化物合成方案,并且首次应用在α-官能团自由基转移反应中。点击查看Cell Press详细解读。
Nickel-catalyzed group transfer of radicals enables hydrocyanation of alkenes and alkynes
Chao Fan,Qi-Lin Zhou
Gold(I)-catalyzed divergent and diastereoselective synthesis of azepines by ammoniumation/ring-expansion reactions
Gold(I)-catalyzed divergent and diastereoselective synthesis of azepines by ammoniumation/ring-expansion reactions
Romain Pertschi,Solène Miaskiewicz
Nicolas Kern,Jean-Marc Weibel
Patrick Pale,Aurélien Blanc
A general Ca-MOM platform with enhanced acid-base stability for enzyme biocatalysis
金属有机框架(MOFs)与酶共沉淀是一种独特的酶固定策略,却存在酸碱稳定性差的问题。为解决此问题,北达科他州立大学Zhongyu Yang课题组发现在常温下,Ca2+可以与羧酸盐配体和酶在水溶液中共沉淀形成酶@金属-有机(MOM)复合材料,并在较宽的pH范围内(3.7~9.5)保持稳定。同时,本文研究了酶骨架动力学、配体选择和催化效率之间的相关性,指出此策略解决了长期制约水相共沉淀技术发展的稳定性问题,且能推广到其他酶生物催化相关方向,并在实验室研究和工业领域都有远大前景。 点击查看Cell Press详细解读。
A general Ca-MOM platform with enhanced acid-base stability for enzyme biocatalysis
Yanxiong Pan,Qiaobin Li,Hui Li
Zhiping Lai,Bingcan Chen,Zhongyu Yang
Fe on molecular-layer MoS2 as inorganic Fe-S2-Mo motifs for light-driven nitrogen fixation to ammonia at elevated temperatures
受到自然界中固氮酶的启发,英国牛津大学Edman Tsang团队通过将铁原子置于MoS2的单层分子上而成功合成出了与固氮酶核心单元FeMoco具有类似[Fe-S2-Mo]图案的无机基催化剂。这种新型的催化剂材料不仅在结构上模仿了固氮酶,它在功能上也表现出仿生合成氨性能。点击查看Cell Press详细解读。
Fe on molecular-layer MoS2 as inorganic Fe-S2-Mo motifs for light-driven nitrogen fixation to ammonia at elevated temperatures
Jianwei Zheng,Lilin Lu
Konstantin Lebedev,Yun-Liang Soo
Kazu Suenaga,Shik Chi Edman Tsang
Machine-learning-accelerated discovery of single-atom catalysts based on bidirectional activation mechanism
Machine-learning-accelerated discovery of single-atom catalysts based on bidirectional activation mechanism
Zhi Wen Chen,Zhuole Lu ,Li Xin Chen ,Ming Jiang,Dachang Chen,Chandra Veer Singh
Mesoionic carbene-Breslow intermediates as super electron donors: Application to the metal-free arylacylation of alkenes
中国人民大学闫晓宇课题组和美国加州大学圣地亚哥分校Guy Bertrand教授在前期报道的介离子卡宾衍生的Breslow中间体(BIMIC)研究基础上(Chem, 2019, 5, 2484-2494),通过研究BIMIC的电化学性质发现其具有超强的还原性。利用这一性质,作者设计了介离子卡宾(MIC)催化下芳基碳-碘键活化并实现了烯烃的芳基酰基化。点击查看X-MOL详细解读。
Mesoionic carbene-Breslow intermediates as super electron donors: Application to the metal-free arylacylation of alkenes
Wei Liu,Adam Vianna,Zengyu Zhang
Mohand Melaimi, Guy Bertrand
Xiaoyu Yan
Resource
Site-directed spin labeling-electron paramagnetic resonance spectroscopy in biocatalysis: Enzyme orientation and dynamics in nanoscale confinement
Site-directed spin labeling-electron paramagnetic resonance spectroscopy in biocatalysis: Enzyme orientation and dynamics in nanoscale confinement
Yanxiong Pan,Hui Li,Qiaobin Li
Xiao Zhu,Bingcan Chen
Zhongyu Yang
推荐阅读
▲长按识别二维码关注细胞科学

