文 / 时文达(中国舰船研究设计中心,湖北 武汉 430064)
摘 要:
[目的]针对目前尚无一套完整的方法来阐述潜艇装备拖曳声呐的总体工程设计问题,对此问题的脉络进行梳理,系统性地提出总体工程设计要点。
[方法]从传感系统及收放系统两个方面,在文献研究的基础上,深入阐述潜艇拖曳声呐装舰的工程问题,例如拖曳声呐设计方案的选择(拖曳声呐数量、传感元件类型、拖缆长度 )和收放装置的设计(卷盘、排缆、导管、驱动形式以及释放口位置选取等 )。
[结 果]通过研究,提炼得到了拖曳声呐适合安装到潜艇上的基本流程、方法和工程计算公式(例如拖缆长度计算)。
[结论]潜艇总体设计师可以灵活运用相关工程设计要点,结合潜艇的实际状态和拖曳声呐硬件技术特点,找到诸多性能元素之间的平衡点,从而设计出更优的拖曳声呐装艇方案。
关键字:拖曳声呐;潜艇适装性;舰船总体设计
中图分类号: U666.7 文献标志码: A DOI:10.19693/j.issn.1673-3185.02379
潜艇降噪技术经过几十年的发展,取得了重大进展。潜艇的辐射噪声级与最初相比已降低几十分贝,且仍在持续下降中,部分国家已设计出低噪声的安静型潜艇。不可否认的是,尽管潜艇降噪技术得到了快速发展,其所能够大幅降低的仍只是数百赫兹以上频段的辐射噪声,而无法明显降低潜艇数百赫兹以下频段的噪声分量。在数百赫兹以下频段中潜艇存在难以消除的线谱特征,这些线谱特征是从茫茫大海中找到潜艇活动踪迹的关键,而拖曳声呐正是能够探测到这些线谱特征的核心设备。
对于已装艇的拖曳声呐而言,其具备如下两个特点:首先,基阵孔径受平台空间尺度的限制小,其比一般的舰(艇)载声呐基阵孔径大一个数量级以上,在低频段内仍有较高的空间增益;其次,基阵远离拖曳平台时其受到本艇辐射噪声的影响小,有利于提高探测性能。有鉴于此,拖曳声呐已成为世界各国海军水面舰船、潜艇的重要声呐装备。许多海军强国已有多型舰艇装备了拖曳声呐。还有一些国家通过引进或合作研究等方式,正在研制或已经研制出自己的拖曳声呐。然而,对于总体设计而言,将拖曳声呐设备完好地安装于潜艇,尤其是排水量相对较小的常规动力潜艇上,是设计师将要面临的一个考验。这是因为其牵涉到缆阵长度、安全性、隐蔽性、可维护性等一系列设计问题,在潜艇上安装拖曳声呐设备时需统筹规划、全盘布局,经过权衡利弊后,才能选择出适合潜艇安装的设计方案。
针对上述问题,本文将从传感系统及缆阵收放系统设计这两个方面,通过文献研究,结合总体工程设计需求,归纳提炼出拖曳声呐适装于潜艇过程中所涉及的重要内容及方法。
潜艇拖曳声呐系统一般由湿端和干端设备两个部分组成。如图 1 所示,湿端设备由拖曳缆阵(拖缆或缆阵)、排缆及卷盘装置等组成,并且拖缆按各部分的不同功能,还细分为尾部稳定器(尾绳)、尾隔振段、线列阵(声学模块)、首隔振段和拖缆这几个部分。而干端设备由信号处理、供电机柜、收放控制箱、显控台等组成 。

Fig. 1 Typical composition of towed array sonar system for a submarine[1]
潜艇拖曳声呐的总体设计任务是根据作战指标要求,分解得到拖曳声呐应满足的性能指标,同时将拖曳声呐的干、湿端设备安装到潜艇平台之上,并能满足设备自身功能的需求,以及解决设备与艇内、艇外环境友好的问题。
2.1 设计流程
如图 2 所示,在潜艇上安装拖曳声呐的设计通常涉及两个部分:一是传感系统的设计,包括拖曳缆阵数量和传感器类型的选择、缆阵长度的确定等;二是收放系统的设计,包括卷盘和排缆装置的设计、驱动形式与释放口位置的选择、导管摩擦力估算等。当然,拖曳声呐的适装方案仍要结合潜艇总体工程设计的需求来进行综合考虑 ,这些需求包括空间 、重量 、能源 (水 、油 、电)、结构强度、减振降噪及美观性(布置美观)等。所以,潜艇上适装拖曳声呐是一个综合诸多元素进行权衡的过程。

Fig. 2 The overall design process of submarine towed array sonarand the constraints from different elements
通常,单艘潜艇配置的拖曳声呐数量(根数)为单拖或双拖,目前还没有资料显示有三拖的应用实例。对于潜艇拖曳声呐配置数量的选择,主要考虑因素包括潜艇的排水量、航速及综合作战需求。由图 1 分析可知,无论是干端设备还是舱外缆阵及收放系统,双拖都需要有接近双倍的空间和重量,而空间和重量资源对潜艇总体设计是极为宝贵的。因此,排水量较大的核动力潜艇更适合配置双拖曳声呐,常规动力潜艇(排水量 2 000~4 000 t)配置单拖曳声呐则更合适。
声呐阵列在拖曳航行中会受到缆阵抖动及流噪声的影响,设计时应对这两种干扰予以足够的重视。其原因在于:若提高拖曳速度 1 倍,则流噪声会增加约 24 dB;高频分量比低频分量对套管外径的变化更敏感,套管外径越小,流噪声响应越大[2]。大量试验和研究表明,线列阵套管的直径、弹性模量、充油密度、抗拉绳的弹性模量等参量都对流噪声的抑制有所帮助[3]。
在诸多因素中,增加套管直径对噪声抑制效果较明显。但对总体设计而言,套管直径增加意味着更大的空间和重量需求。对于核动力潜艇,因其排水量大、巡航速度高(≥9 kn),所以可以配置双拖线列阵,若配置粗细结合的双拖线列阵,可满足潜艇高航速和高探测精度的要求,而且,若配置双中粗线列阵,同时释放后会有 3 dB 的指向性增益;对于常规动力潜艇,因其排水量小、巡航速度相对较低(4~9 kn),若配置单细线列阵,既可以保证较高的探测精度,流噪声也不会对水听器造成严重的影响。
2.2.2 传感元件类型
拖曳声呐传感元件主要有压电水听器和光纤水听器两种。压电水听器使用压电陶瓷制成,陶瓷经过极化后在受外力作用下产生极化强度,该强度和电位移与水中声压成正比,进而实现感知声压。光纤水听器包括干涉型、强度型和光栅型这 3 种。其中:干涉型是利用参考光路与传感光路干涉导致光强变化的方式来感知声压;强度型是基于光纤传输光强被声波调制的原理来感知声压;光栅型是以光栅的谐振耦合波长随外界参量变化而移动为原理来感知声压[4]。
压电水听器历经几十年的发展,技术和制造工艺均已成熟,其相位一致性要优于光纤水听器。但光纤水听器也有许多优点,例如噪声低、动态范围大、抗电磁干扰与信号串扰能力强、远距离传输损耗小等。在成阵时,光纤水听器的线阵仅需将光纤水听器熔接在光纤上,再配置护套和填充物即可,而压电水听器除水听器和传输线外,还需模数转换、传输及控制电路,故结构复杂[5]。
对比试验,发现当两种线阵均为零浮力时,压电水听器线阵的平均截面面积为 11.95 cm2,光纤水听器线阵的平均截面面积为 8.04 cm2。可见,后者的单位长度和重量仅为前者 的 67.3%,减重 约1/3。从总体设计考虑,线列阵的直径对总体布置空间需求影响较大。综上所述,光纤水听器线列阵的硬件配置更简洁, 空间重量需求更小,所以总体适装性更好。
2.2.3 线列阵长度
拖曳声呐的工作频段覆盖了数个倍频程,因此设计阵列时应根据指向性因数 DI 的要求,在阵元中适当选取每个倍频程的中心频率,阵元间距应为该倍频程中心频率处波长的一半(λ/2)。同时,为了控制阵列总长度,高频段的阵列嵌套在低频段的阵列内,信号处理时部分选取高频段的阵元数据参与低频段的计算[6]。例如:若设计的拖曳声呐其覆盖范围要求在 100~1 600 Hz之间,且整个工作频带内的指向性因数 DI 不小于 16 dB,则
DI = 10lgm = 16 dB (1)
式中,m 为每个倍频程内水听器的数量最小值。
由式(1)可计算得到 m=40,即每个倍频程上至少使用 40 个阵元,阵元间距为中心频率所对应波长的一半。完整的线列阵各频段如表 1 和图 3所示,且其长度基本上取决于低频段指标要求。

2.2.4 拖缆长度
使用拖曳声呐时,潜艇的辐射噪声会通过直达,海面、海底反射等传播途径影响拖曳声呐的工作,反映在声呐显示器上的效果就是某段时间内在某个角度上有一个稳定且较强的声目标(本艇)。本艇的辐射噪声频段通常会覆盖拖曳声呐的全部工作频段。为削弱本艇的辐射噪声对拖曳声呐探测的影响,可在本艇与线列阵之间合理地设计拖缆长度 Lcable,将本艇的辐射噪声级经过传播损失后降低至环境噪声水平以下。图 4 所示为典型的海洋环境噪声谱[6],其中 100~1 000 Hz 频段是主流拖曳声呐工作频段。该频段内的环境噪声主要来源于航运、海浪、降雨产生的噪声等。
辐射噪声的传播损失由几何扩展和声吸收部分的损失组成[7]。因为拖曳声呐的工作频段通常在 1 kHz 以下,可以近似为球面波,所以几何扩展的传播损失可以简单估算为 20lgLcable。当然在较高的辐射频段或者较浅的海域,柱面波扩展的传播损失也是可能的,其几何扩展的传播损失为10lgLcable。在工程设计中,设计师一般选择介于球面波和柱面波之间的折中方案 15lgLcable 来估算几何扩展的传播损失,这不失为一种可行的方案。然而,要注意的是,采用此方案的几何扩展传播损失低,设计得到的拖缆长度会更长。
声吸收的传播损失可由声吸收系数乘以传播距离计算得到。声吸收系数随声波频率的降低而迅速变小。但在拖曳声呐工作的频段内,声吸收系数在 0.01 ~0.14 dB/km 之间取值。假设拖缆长度Lcable=1 000 m,则声吸收衰减值仅为 0.01~0.14 dB,而即使是柱面波扩展带来的损失,仅需 5 m 就可以衰减 7 dB。因此,在快速进行工程估算时,可忽略声吸收的损失部分,仅保留几何扩展损失。

若本艇的辐射噪声在 1 kHz 处的谱级为 120 dB(此数值仅供下文计算使用,与潜艇实际噪声水平无关),环境噪声在 1 000 Hz 处的谱级为 60 dB,根据几何扩展损失公 式 PL=20lgLcable≥120−60=60 dB 求得,拖缆长度应不短于 1 000 m。若拖曳声呐的工作频段为 10~1 200 Hz,则应使本艇在此频段上的辐射噪声经过拖缆长度的几何扩展传播损失后均降低至环境噪声以下。
2.2.5 隔振段
线列阵上的隔振段功能是隔离拖曳列阵首、尾端的振动。研究表明:隔振模块的隔振性能与其长度、阻尼、拉力和激励力有关,其中,隔振模块的长度是影响隔振效果的主要因素。随着隔振模块长度的增加,隔振效果将变得越来越好。在长度、阻尼、激励力相同的情况下,拉力小时隔振效果较好。在其他条件相同时,激励频率越高,隔振效果越好;阻尼越大,隔振效果越好。在相同拉力和激励力作用下,隔振模块的隔振效果的起始频率随隔振模块的长度增加而减小[8]。
当然,若单纯考虑隔振量,无限长的隔振段无疑是最优的,但还应考虑隔振段的空间占用和信号传输问题。由于所有隔振段最终都将被缠绕在卷盘装置上,而卷盘空间有限,若隔振段过长势必会压缩声学线列阵段的长度,降低探测效果。此外,阵列信号数据一般要通过隔振段回传到本艇内进行数据处理,若隔振段过长,会影响数据传输的质量,即使是在湿端完成模数转换,过长的隔振段也会对信号传输造成一定的衰减,因此应综合考虑,合理设计隔振段的长度。
2.3 收放系统设计
2.3.1 收放系统的驱动形式
早期的潜艇拖曳声呐收放主要采用人工挂接或者液压驱动方式实现。人工挂接方式是在潜艇出航前通过人工和船舶辅助的方式将缆阵与潜艇连接,潜艇回港后,再通过相同方式将缆阵与潜艇脱离。人工挂接方式虽然可以使本艇上的装置设计简单,但存在操作不便及在执行任务期间无法收回缆阵的弊端。而液压驱动方式则是采用液压作为动力源来驱动收放系统以实现缆阵的收放操作,其技术成熟度较高且稳定可靠。
本世纪初,美国研制出了电力驱动的潜艇拖曳声呐收放系统。电力驱动的收放系统即采用电机驱动收放机构来实现缆阵的收放操作。相比液压驱动的收放系统,电力驱动的收放系统控制更灵活、更精准。不仅如此,因取消了液压和气压子组件,电力驱动的系统更整洁和安静,所以也是未来潜艇拖曳阵收放分系统的发展方向,且更有可能在未来智能化技术推动下实现新的突破。
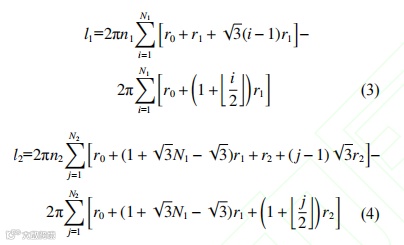
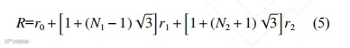
在拖缆、隔振段、线列阵的设计完成后,可以根据这 3 段结构的尺寸参数来估算卷盘装置的空间需求。通常情况下,隔振段的直径与线列阵相同,设计卷盘装置时,可以将隔振段长度加入线列阵来计算。为了排列整齐,线列阵直径应为拖缆直径的整数倍。当缠绕缆阵时,从内而外依次为拖缆、隔振段、线列阵和隔振段。如图 5 所示,假设拖缆长度为 l1,半径为 r1,首隔振段+线列阵+尾隔振段的长度为 l2,线列阵半径均为 r2,卷盘最小卷曲半径为 r0,卷盘轴向长度为 H,则将缆阵全部卷绕到装置上后的尺寸可利用式(2)~式 (5)估算。式中, i 代表拖缆圈数递增变量, j 代表线列阵圈数递增变量。
3) 拖缆最外层与线列阵最外层与一条平行于轴线的直线相切。
上述假设,恰好是工程设计中应重点关注的。缆阵在受到高温烘烤、海水浸泡、长期载荷的作用下,极有可能在使用一段时间后变长;在排列缆阵过程中,缆阵受到海水冲刷可能出现排列不紧密或处于乱序状态。因此,设计卷盘装置的容纳空间时,应预留 1~2 层的缠绕空间,且卷盘轴向长度设置应尽量与拖缆与线列阵直径匹配(公倍数)。

式中,“下方括号”表示商值向下取整;n1,n2 为卷盘上竖排的圈数。

最终,卷盘装置半径 R 可由式(5)计算得到(含预留缠绕空间)。

卷盘装置的布置按姿态分为立式和卧式,而按旋转方向又分为平滚、纵滚和横滚,如图 6 所示,具体的优缺点如表 2 所示。


排缆装置通常会作为卷盘装置的附属机构布置在卷盘装置附近。排缆装置的核心部件是一根双曲线循环传动杆,在驱动力的作用下,可带动缆阵在卷盘装置轴向排缆空间内做往复动作,使缆阵能够按规律排列在卷盘装置上。排缆装置应覆盖卷盘装置的整个排缆空间,因此其轴向尺寸略大于卷盘装置的轴向尺寸,具体可见图 1。
潜艇在潜航状态下释放缆阵时,缆阵从卷盘装置到释放口这段距离内有时需设计一段专用导管以保护缆阵,避免其受到干扰和损坏。通常,缆阵被设计为零浮力或微负浮力,使其在直管段内拖行时无摩擦力或摩擦力很小,故可忽略不计。但缆阵导管一般都需经过转弯才能到达释放口,此时,转弯处会产生额外阻力,如图 7 所示。
假设缆阵导管有 n 个转弯处,每处转弯都会产生弯管阻力。此时,阻力值可通过式(6)估算。

式中:α 为缆阵拖行时的转弯角度; µ为缆阵导管与缆阵之间的摩擦系数;Fn-1 为前一处导管的阻力。转弯角度是设计师控制的,可通过计算得到;摩擦系数受导管材料、通径、表面粗糙度(浸水状态)及缆阵材料、外径、表面粗糙度等影响。准确的摩擦系数值可以通过样段试验测得。
缆阵在水面状态下释放并经过导管时,除了在弯管处产生阻力外,在经过直管时也同样会产生摩擦阻力。此摩擦阻力的计算可以用直管段缆阵的正压力与摩擦系数的乘积来估算。缆阵在导管中拖行的总阻力为直管段产生的摩擦力和弯管端产生的阻力之和。
若缆阵导管的累积转弯角度过大,则会导致从释放口到卷盘装置的弯管拖管阻力过大。此时,可能需要进一步优化导管的三维走向,将累计转弯角度尽可能降低。此外,可以考虑使用高分子复合材料制作缆阵导管,例如聚四氟乙烯等。高分子复合材料具有极佳的防腐性能,且摩擦系数通常都很小,可有效降低拖管阻力。
2.3.4 释放口位置
缆阵释放口的位置通常选择在潜艇方向舵、潜浮舵翼端、艇体尾部锥壳,或者单独设计的突出艇体的释放口,如图 8 所示。具体的布置位置应结合卷盘装置的布置和形式、导管的累积转弯角度、尾舵形式、设备的维护保养等因素来确定:
1) 若潜艇采用十字舵,舵翼上含固定结构,可利用此结构来设计缆阵在艇体艉部的通道及安装释放口(如图 8 中 1,3,5 所示位置),采取此处设计的包括俄罗斯“阿穆尔”级常规潜艇和美国“弗吉尼亚”核动力潜艇的细线阵等;
2) 若潜艇采用 X 舵,通常舵叶上无固定舵翼结构,则需要在艇体艉部锥壳某处设计缆阵释放口(如图 8 中的 6 和 7 所示位置),采取此处设计的方案包括德国的 214 型潜艇、日本的“苍龙”级、澳大利亚的“柯林斯”级艇等;
3) 若上述位置均不适合或者缆阵对释放有其他特殊要求,则可以在艇体艉部设计独立的释放口(如图 8 中 2 和 4 所示位置),采取此处设计的方案包括俄罗斯的“阿库拉”级和美国“弗吉尼亚”级核动力潜艇的粗线阵释放口。

水线以上的释放口在码头系泊状态时人员可达,可定期维护和保养。但水线以上的释放口会因频繁和交替出现干湿状态,导致结构表面附着盐类结晶物质。而这些物质会在缆阵收放时划伤缆阵,对缆阵收放系统也有一定影响。为此,可以在该处设计专门的淡水喷淋管路,对缆阵进行冲洗,确保缆阵收放时工作正常和无损伤。
水线以下的释放口因长期浸泡在海水中,受海水腐蚀的风险高,需要缆阵收放系统有较高的可靠性和抗腐蚀能力(但不能与船体结构产生电化学腐蚀)[9]。水线以下且阳光可达的释放口,会受到海洋生物的侵扰[10],附着的海洋生物外壳会在收放时划伤缆阵的外套,导致缆阵失效,因此需要定期清理附着的海生物。
此外,缆阵释放口位置的选取还应充分考虑缆阵在释放及拖曳过程中的安全性。缆阵应与螺旋桨、操纵舵等可动部件保持足够的安全距离,避免在操艇和航行中损坏缆阵。若缆阵在拖曳过程中受到外物(例如渔网、螺旋桨等)缠绕,将影响本艇航行安全,应在释放口和卷盘装置之间设计缆阵应急切割装置,确保航行安全。使用拖曳声呐过程中,潜艇应尽量避免紧急上浮、下潜或极限回转等操艇动作。这些动作会在潜艇艉部产生极不稳定的流场,缆阵容易被螺旋桨损坏。
表 3 给出了国外几种典型潜艇的拖曳声呐装艇设计基本信息。

2.4 总体工程设计
传感系统设计旨在确定拖曳声呐的性能指标,收放系统设计旨在确定拖曳声呐的硬件规模及形式,最后还要经过总体设计来确定拖曳声呐的最终装艇方案。
对总体设计而言,空间、重量资源是宝贵的,在满足设备功能、性能要求的前提下,应对拖曳声呐开展集成、轻质、高可靠等设计。缆阵收放前后会有一定的载荷变化,例如重量、重心和拖曳阻力等,这些因素应在设计初期得到充分评估。拖曳声呐正常工作需要的喷淋淡水、液压油、电能等均由潜艇提供,而这些资源对潜艇而言是宝贵的,故应对其开展节能及精细化设计。
缆阵被全部释放后,在海水的摩擦阻力作用下,会产生较大拉力,其值与潜艇的航速及缆阵直径、长度、摩擦系数有关。在设计收放系统与船体结构连接的基座时,应充分考虑拖曳阻力,避免因强度不够导致收放系统损毁的情况。
对潜艇而言,噪声控制也至关重要。拖曳声呐收放系统工作时会产生振动和噪声,设计师应开展充分的减振降噪工作,避免因使用拖曳声呐而产生新的噪声源,进而影响本艇的隐蔽性,降低战斗力。最后,应调整收放系统的综合布置,使其尽量包裹在潜艇外壳之内,如此,不仅美观,而且不会产生额外的阻力和流噪声。
在潜艇上适装拖曳声呐是一个复杂的综合平衡过程。与潜艇内部综合布置一样,没有一种布置原则是放之四海皆准的,也不存在最优的设计,只有更合适或者更合理的权衡方案。本文仅以某产品设计过程中遇到的问题为出发点,全面梳理和总结了潜艇装备拖曳声呐的基本流程和方法。未来,潜艇装备拖曳声呐可能还会遇到新的挑战,也会有新的技术和解决方案。作者希望以此文抛砖引玉,促进声呐设备设计师与潜艇总体设计师对潜艇安装拖曳声呐开展深入讨论,未来能够设计出性能更优、总体适装性更好的拖曳声呐适装方案。
感谢中国舰船研究中心吴崇建首席在产品设计中给予的支持和帮助,其深入浅出的例子教会我很多潜艇总体设计的准则。此外,还要感谢杭州应用声学研究所的同仁们,与他们的讨论对本文写作有直接的帮助。
[1] 中国科学院声学研究所. 拖曳式线列阵声纳研究丛书(1)[M]. 北京: 中国科学院声学研究所, 1989: 1-17.Institute of Acoustics Chinese Academy of Sciences.Series on Towed Array Sonar (1) [M]. Beijing: Instituteof Acoustics Chinese Academy of Sciences, 1989: 1-17(in Chinese).
[2] 王斌, 汤渭霖, 范军. 水听器非轴线布放时的拖线阵流噪声响应 [J]. 声学学报, 2008, 33(5): 402–408.WANG B, TANG W L, FAN J. Flow induced noisecalculations for non-axially distributed hydrophones intowed arrays[J]. Acta Acustica, 2008, 33(5): 402–408(in Chinese).
[3] 江国和, 薛峰, 唐曾艳. 拖曳线列阵隔振系统参数计算分析 [J]. 噪声与振动控制, 2011, 31(3): 1–4.JIANG G H, XUE F, TANG Z Y. Parameter calculation and analysis of vibration isolation system in towedarray sonar[J]. Noise and Vibration Control, 2011,31(3): 1–4 (in Chinese).
[4] 张仁和, 倪明. 光纤水听器的原理与应用 [J]. 物理,2004, 33(7): 503–507.ZHANG R H, NI M. Principle and applications of thefiber optic hydrophone[J]. Physics, 2004, 33(7): 503–507(in Chinese).
[5] 杨光, 张祥, 李淑秋, 等. 压电水听器线阵与 DFB 光纤水 听 器 线 阵 的 分 析 [J]. 声 学 技 术 , 2011, 30(3):294–299.
YANG G, ZHANG X, LI S Q, et al. Analysis of experimental data of the piezoelectric hydrophone and DFBfiber laser hydrophone arrays[J]. Technical Acoustics,2011, 30(3): 294–299 (in Chinese).
[6] WAITE A D. Sonar for practising engineers[M]. GreatBritain: John Wiley & Sons Inc. , 2002: 156-157.
[7] 尤立克·R J. 水声原理 [M]. 3 版. 洪申, 译. 哈尔滨: 哈尔滨船舶工程学院出版社, 1990: 79-88.URICK R J. Principles of underwater sound[M]. 3rd ed.HONG S, trans. Harbin: Harbin Ship Engineering College Press, 1990: 79-88 (in Chinese).
[8] 江国和, 洪有财, 吴广明, 等. 拖曳声纳阵隔振模块性能计算分析 [J]. 振动与冲击, 2003, 22(4): 15–18.JIANG G H, HONG Y C, WU G M, et al. Calculationof vibration level difference of vibration isolation modules in a towed array sonar[J]. Journal of Vibration andShock, 2003, 22(4): 15–18 (in Chinese).
[9] 白攀峰, 宋胜利, 邹正宇, 等. 海洋环境中金属的腐蚀及防护 [J]. 山西化工, 2015, 35(5): 28–29,45.BAI P F, SONG S L, ZOU Z Y, et al. Corrosion andprotection of metals in marine environment[J]. ShanxiChemical Industry, 2015, 35(5): 28–29,45 (in Chinese).
[10] 刘继华, 钱士强. 海洋生物附着及其防护技术 [J]. 腐蚀与防护, 2010, 31(1): 78–81,84.LIU J H, QIAN S Q. Marine bioadhesion anddefenses[J]. Corrosion and Protection, 2010, 31(1):78–81,84 (in Chinese).
[11]时文达. 多国潜艇拖曳收放系统介绍及分析 [J]. 舰船工程研究, 2021, 31(1): 78–81,84.SHI W D. Analysis of multinational submarine towedsonar[J]. Ship Engineering and Research, 2021, 31(1):78–81,84 (in Chinese).

声明:本公众号相关内容均来自主流媒体及公众号,非商业用途,并不意味着赞同其观点或证实其内容的真实性。版权归原作者所有,如有发现侵犯您的权益,请后台联系编辑,我们会尽快删除相关侵权内容。