文章转载自公众号:水声之家
|
【摘要】水下无线光通信作为一种新兴的高速水下无线通信技术,在海洋生态环境监测、资源勘测以及军事作战等方面的作用不可小觑,并已成为全世界竞相争夺的关键性技术。对目前常用的3种水下无线通信方式进行比较,介绍了水下无线光通信的信道特性,并阐述水下无线光通信系统中光源、调制、信道编码以及探测等关键技术的研究进展。总结了水下无线光通信技术的发展趋势,为未来水下无线光通信系统的深入研究和实用化提供了参考。
【关键词】 光通信;水下无线通信系统;光源;调制技术;信道编码;探测
|
海洋面积约占地球表面积的2/3,其中储藏着丰富的矿产资源和生物资源。进入新世纪以来,随着海洋探测的科学意义、经济效益和战略地位受到人们的关注,对海洋科学关键技术的研究已经成为各个国家的当务之急。未来谁能够拥有以及控制更广阔的海洋,谁就可以更多地掌握发展所需要的资源和生存空间。
目前对海洋进行探索,主要有海底观测网、自主式水下航行器(autonomous underwater vehicle,AUV)、载人潜水(human occupied vehicle,HOV)和遥控潜水器(remote operation vehicle,ROV)等水下移动运载平台[1-2]。而水下通信系统则是水下监视和数据传输中不可缺少的重要组成部分,主要分为有线通信和无线通信。传统的有线通信技术采用电缆或光纤实现通信,但在水下难以应用且安装设备复杂、维护困难[3];水下无线通信技术作为现代海洋探索中一种高效便捷的数据传输技术,避免了线路冗杂和维护困难的问题,对海洋生态环境的影响也较小,已经在水下环境检测、水下导航、水下传感器网络和气候变化等方面发挥着重要作用。随着B5G/6G的发展,各种无线设备之间的通信更加密切[4],人们在陆地上建立起完备的智能通信网络系统,如何把它成熟应用到海底的通信系统之中,也将成为以后水下通信的主要发展方向。
本文中简述了3种水下无线通信方式的性能比较以及水下无线光通信技术的国内外研究进展。考虑到外部环境会对水下无线光通信系统造成影响,对海水的光学特性和湍流等情况分别展开了介绍。同时,针对业界对水下无线光通信系统展开的研究工作,主要阐述了光源、调制、信道编码、探测等关键性技术的相关性能比较以及研究进展。未来水下无线光通信系统将会面临诸多技术挑战,希望能为后续的深入研究和实用提供参考。
水下无线信息传输方式多样,根据通信载体的不同,大致把水下无线通信的方式分成:水声通信、水下射频通信以及水下无线光通信。表1是3种水下无线通信方式之间的性能比较。结合自身的优缺点,可以应用于不同的场合中[5-7]。
表1 3种水下无线通信方式

1.1 水声通信
水声通信是使用时间最长、技术最成熟、应用范围最广泛和传输最远(可达数10km)的一种水下无线通信技术。它是以声波为载体进行信息传输,针对不同传输距离,可采用不同的声波频段。而水声信道也存在复杂性和多变性,对于不同频段,水声通信会存在不同的频率衰减;同时,声速也有小尺度的时变性[8]。此外,水声通信也存在带宽低(约千赫兹量级)、速率低(几百kbit/s)、时延高、衰减大和多径效应严重等缺点,并且声波对海洋生态环境有严重影响,水声通信系统设备体积庞大,功耗也较高。
1.2 射频通信
射频是频率范围为300kHz~300GHz的高频电磁波。水下射频通信以射频为载体,有更容易跨过海水与空气界面、无须链路精确对准、对海洋生物无影响等优点。但由于海水具有良好的导电性,射频波在水下传输时被严重衰减,因此这会严重限制通信系统的距离[9]。而且在射频通信中,往往需要用大尺寸的天线和高发射功率来补偿天线损耗,所以无法适用于长距离低损耗的水下无线通信系统中。
1.3 光通信
针对水下环境特点,水下无线光通信主要采用蓝绿光作为载体。1963年,DUNTLEY等人[10]研究发现,海水在蓝绿光波段(450nm~550nm)存在一个低损耗窗口。如图1所示[11],相对于其它波段的光,它在海水中的衰减最小,在水下传输时不仅穿透能力强、方向性好,而且时延低,这一现象的发现也为此后水下无线光通信的研究发展提供基础。相较于水声通信以及水下射频通信而言,水下无线光通信带宽更大、抗干扰性更强,能做到实时信息传输,同时收发设备体积较小,耗能也低,有利于对海洋生态环境的保护[12]。

图1 海水在蓝绿光波段的低损耗窗口[11]
随着水下无线光通信技术受到越来越多的关注,美国海军率先对其展开研究,提出了激光对潜艇通信方案,并证实此方案的可行性,接着实战演习了蓝绿激光对潜艇通信系统性的综合实验,完成了水下无线光通信的初级阶段[13-14]。美国多所研究机构和其它国家也相继对水下无线光通信技术开展了大量研究。北卡罗莱纳州立大学研究人员在3.6m水箱中实现500kbit/s的数据传输[15]。美国海军空间和海战系统中心的研究人员对1064nm的激光二极管(laser diode,LD)倍频,得到532nm绿光,并在2m长的水箱中进行实验,测出其通信速率可达1Gbit/s[16]。日本山梨大学的研究人员使用光强度调制直接检测正交频分复用(intensity modulation and direct deected-orthogonal frequency division multiplexing,IM/DD-OFDM)技术,在405nmLD通过4.8m的水下信道中,获得1.45Gbit/s的通信速率[17]。图2为沙特阿卜杜拉国王科技大学的实验流程图。研究人员使用TO-9封装的520nm绿光LD实现7m的水下通信,得到高达2.3Gbit/s的通信速率[18]。在实际海域测试中,日本海洋与地球科学技术研究所在700m深的海水完成长达120m、20Mbit/s的数据传输[19]。

图2 沙特阿卜杜拉国王科技大学的实验框图[18]
相较于国外,国内对蓝绿激光水下通信相关研究开展较晚,但也取得不错的研究成果。中国海洋大学研究人员设计一个由89C51单片机控制的全双工水下激光通信系统,该系统能有效地消除水下背景光影响,并完成了3m水箱、最大传输速率19.2kbit/s图片传输的实验[20]。桂林电子科技大学研究人员采用多路分集接收和自适应滤波的方法,并使用波长为532nm的Nd∶YAG倍频激光器作为光源,在海南省3个不同海区成功实现50m海深的通信实验[21]。浙江大学的研究人员实现了高速率的空气-水下无线光通信系统的上行和下行传输,通过5m空气信道和21m水下信道,上行和下行链路的传输速率均能达到5.5Gbit/s[22]。为了缓解接收端光功率、光电二极管和传输距离之间的问题,复旦大学的研究人员提出一种基于图像的几何整形16正交幅度调制(quadrature amplitude modulation,QAM)、离散多音频(discrete multi-tone,DMT)编码的可见光通信方案,通过MAT-LAB仿真证实此方案拥有更好的性能[23],并且在1.2m水下链路中实现净传输速率达到1.58Gbit/s的实时高清视频传输实验[24]。
由于海水组成成分复杂,其中存在各种可溶性物质、悬浮物、湍流和气泡等,此外不同的水体的基本特性差异较大,还需要深入了解水下环境特征,因此光在水下的传输依然具有很大的挑战性[25]。光在海水中传播速度虽然很快,但还是会受到海水各种环境严重的吸收和散射效应而衰减,使整个信号合成后产生波形失真,加剧码间串扰以及误比特率的提高,并且多变的海水环境也会给水下无线光通信(underwate rwire-less optical communication,UWOC)系统带来不稳定,影响通信质量。因此,光在水下信道传输特性的相关研究是十分有必要的,它是整个UWOC系统的基础,对水下无线光通信整体系统的设计和实现具有很大的参考价值和实际应用意义。
海水的光学性质可以分为两类:固有光学性质(inherent optical properties,IOPs)以及表观光学性质(apparent optical properties,AOPs)[26]。IOPs仅仅依赖于传输介质自身的光学参量,也就是传输介质的组成和介质中存在的微粒物质,它与光场无关;AOPs不仅与传输介质本身有关,还与光场的几何结构相关[27]。其中,海水的IOPs主要由吸收系数、散射系数、衰减系数和体积散射函数决定;AOPs则是由亮度、辐照度和反射率所决定[28]。
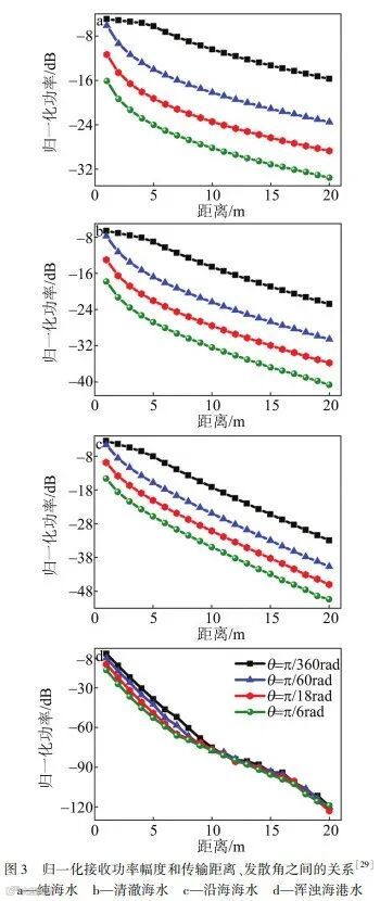
光在不同海水中的传输特性差异较大,而海水因溶解物质浓度的不同以及地理环境的差异也会有很大的差别。通常分为纯海水、清澈海水、沿海海水、浑浊海港水这4种不同类型的海水。实际海水的测试实验较复杂,所以通常使用仿真的方法来模拟不同类型海水的光学特性。如图3所示,参考文献[29]中采用蒙特卡洛仿真法,模拟在静水环境下,针对不同类型海水归一化接收功率幅度和传输距离、发散角之间的关系得出以下结果,在给定发散角θ=π/360rad时,纯海水与清澈海水在5m传输距离下的接收光功率近似相等,此时衰减较小;相同的情况下,浑浊度越高的海水,它的光功率衰减也就越大,随距离变化也就越明显。其中,在浑浊海港水10m~20m的传输距离内,不同发散角的接收功率却趋于一致,如12m时的4个发散角接收功率都约为-84dB,17m时的接收功率约为-101dB。这是因为光子在浑浊海港水中的散射过大,光束发散角的影响可以忽略,只有少部分的光子落在接收端,所以此时的接收功率与发射角无关,只与传输距离相关。

海水信道对光的衰减包括海水的吸收和散射,同时它们也是IOPs主要组成部分。图4为海水固有光学性质的几何图,入射光束的波长为、总功率为Pi,通过宽度为ΔD、体积为ΔV的水时,其中功率Pa被吸收,功率Ps被散射,功率Pc依旧沿着初始方向传播[30],由能量守恒定律可知:


当水的宽度ΔD接近无穷小时,吸收系数a和散射系数b分别为:

所以海水的衰减系数c为:

式中,c的单位为m-1。基于给定的衰减系数,Beer-Lambert定律[31]描述了光束在水中的衰减效应为:

式中,P0为初始功率,l为光束在水中传播距离,P为传播l之后的剩余功率。表2中给出了4种主要海水类型相关的吸收系数a、散射系数b和衰减系数c的典型值[26]。纯海水中,水和无机盐是主要成分,所以吸收是主要的限制因素,低散射系数使光束不易发散;清澈海水中,高浓度的溶解微粒影响散射;沿海海水中,浮游生物、碎屑和矿物质是吸收和散射的主要来源;浑浊海湾水中,溶解物和悬浮物浓度最高,导致严重衰减。

2.2 湍流
在水下无线通信中,海水的盐度、密度和温度的变动都会引起折射率的变化[27]。当光束通过海洋湍流时,光强会产生抖动(闪烁),这会对通信性能造成很大的影响。海水湍流的模型建立主要是基于自由空间光通信中的光学湍流模型,由于海水湍流的物理性质与自由空间光通信的光学湍流相似性,研究学者们通常把经典自由空间光学湍流模型直接应用到海水中[30]。
为了减弱海洋湍流对水下无线光通信系统的影响,一般可以采取自适应光学补偿、信号处理等方法来保证通信质量[32]。通过蒙特卡洛仿真法,能模拟在不同强度的湍流下,误比特率性能的变化。南方科技大学的研究人员使用水泵在水箱中模拟海水的湍流,在纯净水中,误比特率受湍流的影响较小;在盐水中,湍流强度越强,相应误比特率变化也就越明显[33]。西安电子科技大学的研究人员在弱海洋湍流的情况下发现,增大调制阶数可以提高系统容量、降低误比特率[32]。华侨大学的研究人员则在二进制开关键控(on-off keying,OOK)或差分相移键控(differential phase shift keying,DPSK)调制的中强度湍流下,采用孔径平均技术能有效提升通信系统的性能[34]。
水下无线光通信系统一般由发射端、接收端和水下信道3个部分组成。图5为水下无线光通信系统的一般模型。发送端由信号输入、编码与信号处理电路、光源及其驱动电路组成;接收端由探测器、译码和信号处理电路组成。
图5 水下无线光通信系统法的一般模型
完整的水下无线光通信系统能够完成对输入的信号进行编码调制,由光源进行电光转换,转换成光信号在水下信道传输,再由探测器接收并进行光电转换、译码解调,恢复出原始信号。其中编码调制主要包括信源编码和信道编码,前者主要通过压缩数据以减小所占的系统带宽;后者则是提高系统的抗干扰能力,提升系统的性能[35]。光链路对准也是关键技术,在整个水下信道中,光束的传输受到吸收散射的影响,保持稳定的对准是难以实现的。瞄准、追踪和对准(acquisition,tracking,pointing,ATP)能建立起高精度的通信链路,所以ATP系统往往成为光链路是否成功的关键[1]。而在接收端,探测器探测到的信号很微弱,还会受到信号处理电路的影响从而导致信噪比的降低,所以通常会在探测器进行光电转换后做放大、滤波的处理以得到更好的信号。
3.1 光源技术
水下无线光通信系统中,光源起着至关重要的作用,影响着光信号质量、传输距离和光路稳定性[36]。目前,常用的光源有发光二极管(light-emitting diode,LED)和LD。LED是加上正向电压后电子自发辐射跃迁而发光,发出的光相干性较差,线宽较宽,且光束发散角较大,光能不集中。而LD则是电子受激辐射跃迁发出激光,其特点是发光功率高、相干性好、方向性好、线宽窄,由于对温度敏感,所以需要附加温度控制器和驱动器。LED和LD的主要性能比较如表3所示。
表3 发射端光源的性能比较

随着LED的广泛研究及应用,它的优点很明显,如成本低、寿命长(输出功率随时间增减产生衰减小)、安全性高、功耗低、可同时用于通信以及照明等等。但是它的缺点同样也很显著,由于它调制带宽小于200MHz,从而限制UWOC系统的传输速率;发散角大、能量分散,导致UWOC传输距离短。为了解决这些问题,不同的方法被提出[35,37],如采用频谱高的调制技术,来增大UWOC的传输速率;通过用LED阵列来增大UWOC的传输距离。
2010年,麻省理工学院的研究人员构建了一个双向、高速率的水下无线光通信系统。图6a是由6个5W蓝光LED组成的阵列和探测器,在30m传输距离的清水水池测试实验中,传输速率达到了1.2Mbit/s;在能见度估计为3m的水池中,距离达9m时,数据速率为0.6Mbit/s[38]。2019年,英国思克莱德大学的研究人员使用6个串联的LED组成的阵列(如图6b所示),在4.5m的清水中最大传输速率为3.4Gbit/s[39]。LED阵列作为通信光源使用的比较频繁,这种结构有两个突出的优点,首先是能够增大发射光功率;其次是可以提高光源的稳定性,也就是当单个LED损坏的时候可以继续使用该通信光源。

图6 a—美国麻省理工学院实验所用的光源[38]
b—英国思克莱德大学实验采用微型LED阵列[39]
在UWOC中,直接调制可见光波段的LD带宽高(大于1GHz),信号传输速率可达Gbit/s量级,同时LD的发散角小(约0.01°),能量集中,传输距离长,保密性好,信息不容易被窃取和监听[40]。2020年,浙江大学CHEN等人设计了基于绿光LD的水下无线光通信系统,首次在接收端采用噪声预测的频域均衡器(frequency domain equalization and noise prediction,FDE-NP)和交织器/解交织器来处理码间干扰和译码时延,实验结果表明,该系统最大净速率为3.48Gbit/s,同时传输距离更是达到了56m[41]。图7中分别展示了近年来蓝绿光LED/LED阵列以及LD的水下无线光通信的部分研究成果(图中“[]”内对应文后的参考文献序号),可以看到,LD作为光源的水下无线光通信系统,它的传输距离会得到大幅度提升;与LED相比,在传输距离相同的情况下,系统的传输速率会更高。因此,LD十分适用于高速率、长距离的水下无线光通信系统中。

a—LED/LED阵列 b—LD
除了传统的LD,激光器的改良也能很好地提升系统性能,台北科技大学LÜ等人利用注入锁定技术,将光注入到特定频率工作的激光谐振腔,得到了更高功率的激光输出。2016年,该团队设计了一个基于两级注入锁定蓝光LD的水下无线光通信系统,实现8m、9.6Gbit/s水下数据传输[59]。次年,又使用680nm红光垂直腔面发射激光器(vertical cavity surface emitting laser,VCSEL)作为光源,最终成功实现5m水下链路、25Gbit/s速率的传输,并发现在高度浑浊的海港水中,其衰减系数比蓝绿光更小[52]。
除了要选择合适的光源器件,调制解调技术对系统性能也会产生很大的影响。调制技术主要分为单载波调制和多载波调制,常见的单载波调制技术有OOK、脉冲位置调制(pulse position modulation,PPM)、差分脉冲位置调制(differential pulse-position modulation,DPPM)等等;而多载波调制技术有DMT调制、正交频分复用(orthogonal frequency division multiplexing,OFDM)等等[37]。
在高速水下无线光通信系统中,多载波调制技术能够对抗可见光信道的多径效应,因此更适用于提升该系统的通信质量[60]。其中,OFDM作为一种多载波调制技术,近年来在UWOC中得到广泛应用。图8为OFDM系统原理框图。数据先经过串并转换后再由各自的子载波频域上进行QAM映射,此时信号变为复数信号,然后进行快速傅里叶逆变换(inverse fast Fourier transform,IFFT),得到了时域上的复数信号,给每个OFDM符号前加循环前缀(cycle prefix,CP),接着进行并串转换得到将要传输的OFDM时域信号,最后再经过数/模(digital/analog,D/A)转换成模拟信号送入信道传输。其中,QAM的数据传输效率与载波上的比特位数成正比,即比特位数越多,传输效率越高。接收端由探测器接收到传输的信号后,解调过程则和发送端相反。高阶QAM-OFDM虽然能够充分利用信道带宽、提高频谱效率和传输速率以及抗频率选择性衰落的影响;但它的峰值平均功率比高,会让射频功率放大器的效率减小;并且对信道产生的频率偏移和相位噪声都很敏感[3,36]。表4是对近几年来,在使用不同高阶QAM-OFDM调制格式以及不同探测器的一些水下蓝绿激光通信的研究成果的总结。

图8OFDM系统原理框图
表4 近年高阶QAM-OFDM调制下的水下无线光通信研究成果

光在海水中传输会受到吸收和衰减,这不仅会直接影响水下无线光通信系统的传输距离,而且也会增大系统的误比特率。为了提高通信系统的鲁棒性,减小光衰减,保持低误比特率的传输,可以使用前向纠错编码(forward error correction,FEC)。FEC按照特定的算法给传输信息加入冗余部分,在解码时,根据这些冗余部分判断传输中的有限错误数量,如果这些错误在可纠范围内,则纠正这些错误,降低误比特率[35]。FEC主要分为分组码和卷积码。里所码(Reed-Solomon,RS)、线性循环纠错码(bose chaud hurihoc-quenghem,BCH)和循环冗余校验码(cyclic redundan cycheck,CRC)都是分组码,它们以牺牲带宽为代价,从而提高水下无线光通信系统的链路范围和功率效率[25]。COX等人使用一个(255,129)RS码系统,和没有编码的OOK系统相比,降低了8dB的所需接收功率[68]。中国海洋大学的研究结果表明,RS码比BCH码的纠错能力更强[69]。在更浑浊的水质中,采用多层编码的方案可以大大提高水下无线光通信系统的鲁棒性[70]。
低密度匹配校验码(low density parity check code,LDPC)和turbo码均是卷积码[30]。它们都逼近香农容量极限,纠错能力强。其中turbo码是一种级联码,它的译码复杂度大、时延长,在水下无线光通信系统中实施起来相对难度较大。turbo码通常与PPM调制一起使用来保证潜水员在水下准确的数据传输[71]。而LD-PC码利用校验矩阵的稀疏性,能够解决译码时延的问题,提高系统的性能;LDPC码还会受到温度的影响,编码增益随着温度梯度增加而增大[72]。在干扰因素更多的水下环境中,LDPC码和turbo码相对于分组码对通信系统的性能会更好,因此得到更广泛的应用[73]。
3.4 探测技术
在整个通信过程中,接收端保持稳定的对准是难以实现的,而ATP能够建立起高精度的通信链路。ATP系统通常由粗跟踪系统(捕获)和精跟踪系统(跟踪、瞄准)组成,粗跟踪是采用阵列电荷耦合器件(charge-coupled device,CCD)与信号实时处理的伺服执行机构来完成的;精跟踪则是捕获后,采用位置传感器和相应的电子伺服控制系统进行跟踪,ATP系统往往成为光链路是否成功的关键[1,10]。
在水下无线光通信系统中,为了让光斑与接收端精对准,西安邮电大学的研究人远采用扩展卡尔曼滤波和基本状态控制反馈理论实现了接收端和光斑中心的主动跟踪对准,传输距离小于25m时,接收效率达98%以上[74]。随后,又使用均值漂移与无迹卡尔曼滤波器结合的算法,跟踪光斑的实时位置,并搭建了接收机对准系统,图9为光斑被遮挡时跟踪结果。图9a~图9f中选取了一组序列的6个时刻,图9d对应的时刻光斑被遮挡,但根据算法仍能预测光斑的位置进行跟踪;图9g为实际移动轨迹和跟踪轨迹的比较图,两个轨迹几乎重合在一起,能有效地解决水下无线光通信中光斑易被遮挡的问题[75]。

图9 光斑被遮挡时跟踪结果[75]
a~f—1组序列 g—实际与跟踪的轨迹对比
在探测器对信号判决之前,采用信道均衡技术可以有效地消除多径效应产生的码间串扰的问题,从而提高信道的抗衰落性。在无线信道传输中通常采用最大似然符号检测、最大似然序列估值等非线性均衡器[76]。中国科学院上海光学精密机械研究所的研究人员采用维特比均衡算法去估计最大似然接受序列,仿真结果证实在长距离高速率的水下无线光通信系统中具有高速率性能以及小误比特率[77]。随后他们将最大比合并分集接收技术应用于水下通信技术中,优化了合并后的信噪比,提高接收端的灵敏度[78];又采用一种半解析的方法,准确地估算出水下无线光通信系统的最大传输距离[79]。
接收端常用的探测器有PIN(positive-intrinsic-negative)光电二极管、雪崩光电二极管(avalanche photon diode,APD)以及光电倍增管(photo multiplier tube,PMT)。它们三者的性能比较如表5所示。
表5 探测器性能比较

通过对表5中探测器性能比较分析发现,PIN不存在内部增益,所以对信号进一步放大处理是通过外加射频放大器来实现的。APD利用雪崩击穿效应具有远高于PIN光电二极管的探测灵敏度,除此之外,在响应速度、等效噪声功率等方面较PIN的优势明显;但是,二者的探测面积都较小,对UWOC系统的链路对准要求较高[36,67]。在盖格模式下工作的APD-单光子雪崩二极管(single photon avalanche diodes,SPAD),因其能探测独立光子的特性,不需要跨阻放大器来放大电信号的幅度,故而适用于长距离以及低功率的水下无线光通信系统[80]。复旦大学的研究人员使用SPAD作为接收端,实现了传输距离为117m、通信速率为2Mbit/s的水下无线光通信数据传输[56]。相较于前面几种探测器,PMT的灵敏度高,可以探测由散射或非线性光学效应而发散的低功率信号,对链路对准要求比较低。但它因为放大效果太明显而易导致接收的信号稳定性不够好,容易失真,在使用时特别易碎,不适合水下无线光通信系统。图10为GABRIEL等人通过仿真发现,在相同传输功率下,使用不同的探测器所能达到的最远传输距离会有很大差异[81]。

图10 在不同传输功率Pt、不同衰减系数的水质以及不同探测器时,误比特率随距离z的变化[81]
a—PIN b—APD
与传统水下无线通信技术手段相比较而言,水下无线光通信具有低延迟、大容量、低功耗等优点,因此为高速率、高可靠的水下无线通信系统提供了一种可能。但是目前对于水下光通信的研究,业界大多还停留在数值仿真和静态的实验中。而在实际应用中还需要考虑到水质、湍流、气泡等各种传播损耗因素的影响,所以对现实复杂通道模型的研究较少。使用合适的调制技术以及信道编码也是另一个值得探索的问题。在设计调制格式和编码时,需要综合考虑到水下信道的特殊性,不同类型的信道使用不同的调制格式和编码技术,以便能达到最佳效果。
同时,光链路的对准跟踪技术也需要进一步提高,从而减小通信链路损失。除此之外,高功率的光源、大探测面积高灵敏度的探测器等通信元器件性能的提升,对于光通信系统的实用化具有非常重要的作用,这也是当前的研究热点。
【参考文献】 [1] KE X Zh,XI X L.Introduction to wireless laser communication [M]. Beijing:Beijing University of Posts and Telecommunications Press, 2004:1-27( in Chinese) . [2] LI X F.The Principle and technology of the satellite-to-ground laser communication links [M]. Beijing:National Defense Industry Press, 2007:6-46( in Chinese) . [3] CHEN Y F.Experimental research on air-water wireless optical communication [D]. Hangzhou:Zhejiang University,2018:1-3 ( in Chinese) . [4] CHI N,HU F Ch,ZHOU Y J.The challenges and prospects of high-speed visible light communication technology [J]. ZTE Technology Journal,2019,25(5):56-61 ( in Chinese). [5] 略. |

声明:本公众号相关内容均来自主流媒体及公众号,非商业用途,并不意味着赞同其观点或证实其内容的真实性。版权归原作者所有,如有发现侵犯您的权益,请后台联系编辑,我们会尽快删除相关侵权内容。