本文选自期刊《中国水运》2025年第20期
作者:刘爽,缪翔,卢红前,束加庆
来源:海上风电大直径单桩基础水平抗力特性分析[J].中国水运,2025,(20)
摘要
摘要:我国海上风电开发力度逐渐加大,随着风电场逐渐往深远海发展,单基础的受力特性也受到越来越多的关注。基于国内外有关设计规范,根据单基础的水平抗力特性,针对p-y曲线大直径效应进行了对比分析,并建立了风电机组整体数值模型,比较了其在不同情况的p-y曲线下地基水平刚度情况。文章结果可为相关工作人员提供参考。
一、前言
随着全球对减少碳排放和应对气候变化的重视,海上风电作为一种清洁能源,因其巨大的开发潜力和环境友好性,受到了越来越多的关注。在“碳达峰、碳中和”的目标指引下,我国正积极推动能源结构的调整,海上风电作为可再生能源的重要组成部分,得到了政策的大力支持和技术的不断创新。从目前海上风电项目的基础形式使用情况上看,单桩基础是应用最广的基础形式,但随着海上风电项目逐渐往深远海发展,风电机组功率和风电场的水深也在逐渐变大,导致单桩基础的直径逐渐增大,已有项目的单桩基础直径达到10m左右。
大直径单桩基础设计的控制工况中,泥面处水平位移和整机频率为主要的控制变量,这主要与结构基础的水平刚度有关。目前,单桩基础的水平刚度主要采用桩土作用的p-y曲线计算,但传统的p-y曲线公式是在小直径的试验结果中得到的,没有考虑大直径桩与土体作用时的尺寸效应,在目前海上风电项目中的大直径单桩基础设计,如按传统p-y曲线计算,必然会导致工程量偏大。文中基于某深海海上风电工程,基于国内外规范理论,探讨了不同条件下单桩基础的水平刚度作用情况,并详细对比了相同受力情况不同p-y曲线的差异性,为相关工程提供了一定参考。
二、p-y曲线大直径效应分析
在国内外海上风电规范中,对于桩土作用的p-y曲线公式,基本是基于直径约1.0m的导管架细长桩试验数据得来的,但对于大直径钢管土作用p-y曲线,未给出明确尺寸效应的具体公式。在DNV-RP-C212规范中对粘性土中大直径桩尺寸效应给出了相关说明,直径约2.5m的,大直径尺寸效应可按Stevens和Audibert方法考虑,直径大于2.5m的桩,大直径尺效应需要借助有限元分析方法。文中基于规范中常规p-y曲线公式,结合Stevens和Audibert方法,对单桩基础大直径尺寸效应进行分析研究。
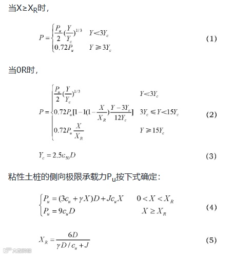
(一)粘性土循环荷载作用下常规p-y曲线
根据规范NB/T 10105-2018和API RP 2GEO中关于粘性土p-y曲线的规定,在循环荷载作用下,粘性土p-y曲线可按下列公式计算:
式中,Pu为深度X处单位桩长的极限水平土抗力标准值(kN/m);cu为未受扰动粘土土样的不排水抗剪强度(kPa);D为桩的外直径(m);y为土的有效重度(kN/m3);为无量纲经验常数,变化范围为0.25~0.5;X为泥面下计算点的深度(m);XR,为泥面以下到土抗力减小区域底部的深度(m);D为桩的外直径(m);ε5o为三轴试验中最大主应力差一半时的应变值;P为深度X处单位桩长的水平土抗力标准值(kN/m);Y为泥面以下X深度处桩的侧向水平变形(m)。
(二)Stevens和Audibert大直径桩p-y曲线修正
Stevens和Audibert总结了传统桩土作用p-y曲线研究方法,并结合模型试验,针对粘性土在循环荷载作用下,修正了p-y曲线公式中的Yc值。
(三)粘性土中大直径单桩p-y曲线效应分析
以某8.5m直径的单桩基础为研究对象,比较其在粘性土中,考虑大直径效应与否时,p-y曲线的差异性。粘性土参数如表1所示。
三、风电机组大直径单桩基础效应分析
(一)风电场环境参数
根据海洋水文条件,风电场多年平均海平面高度0.12m,最大水深约为14.0m。设计高水位和设计低水位分别为2.76和-2.26m,50年一遇极端高水位和极端低水位分别为3.26和-3.10m。50年一遇的H1%波高为9.39m,对应周期为18.9s,波浪的主浪向为ENE,海水表面流速为2.81m/s,底部流速为1.54m/s。地基土层以粘性土和砂性土为主,参数如表2所示。
(二)考虑p-y曲线大直径效应后风电机组模态分析
根据环境参数,初步布置风机基础顶高程为14m,桩长90m,径7.5~8.5m,壁厚70~90mm,风机轮毂高度131.0m,计算模型如图5所示采用海工结构分析软件对风电机组及风电机组基础组成的整体系统,即叶片+轮毂+机舱+塔架+基础+地基系统进行模态分析,桩土作用通过P-Y.T-Z、Q-Z曲线表示,其中粘性土采用常规p-y曲线和大直径效应p-y曲线两种方式进行计算比较。
根据计算结果,两种p-y曲线计算的振型基本一致,一二阶为平动,三至五阶为转动,如图6所示。模态结果有所差别,如表3所示,从计算结果可以看出粘性土p-y曲线考虑大直径效应后,风电机组模态计算结果明显大于采用常规p-y曲线的计算结果。这表明,考虑大直径效应后,地基土的水平刚度得到了提升,若两种p-y曲线计算一阶频率一样的情况下,考虑大直径桩效应后,可节省用钢量约70t左右。
四、结论
粘性土p-y曲线,在相同水平变形y值的条件下,单位桩长的极限水平土抗力P值,随着土层埋深增大而增大,且曲线峰值后的下降段随着埋深增大逐渐平缓。
粘性土p-y曲线,当土层埋深超过“泥面以下到土抗力减小区域底部的深度XR”时,p-y曲线形状不再变化。
粘性土p-y曲线考虑大直径效应后,可提高单桩基础在前期水平变形下对应的水平土抗力,且对埋深越大的粘性土层,提升效果越明显。
风电机组单桩基础设计时,考虑大直径桩p-y曲线的尺寸效应,可有效提升地基土的水平刚度,节省单桩基础的工程量。
五、参考文献
声明:本公众号相关内容均来自主流媒体及公众号,非商业用途,并不意味着赞同其观点或证实其内容的真实性。版权归原作者所有,如有发现侵犯您的权益,请后台联系编辑,我们会尽快删除相关侵权内容。

