本文选自期刊《现代电子技术》2025年第24期
作者:宁维,张吉忠,徐晗
来源:自主水下航行器无线充电原边模糊控制方法[J].现代电子技术,2025,48(24):101-107.
摘要
摘要:无线电能传输技术在自主水下航行器(AUV)领域的应用日益广泛。该技术通过电磁感应实现无电气连接的能量传输,以解决有线充电的便携性差、操作繁琐等问题。然而,传统无线充电系统依赖高速通信,易受水下信号衰减影响,导致系统的可靠性下降。针对这一问题,提出一种适用于AUV的双LCC无线充电系统方案,验证原边输入电流与副边输出电压在暂态性能上的一致性。采用原边模糊控制方法调节逆变器移相角,以维持原边输入电流恒定;其次控制副边输出电压,无需实时通信。仿真结果表明,与传统P控制器相比,所提方法在负载突变时的响应时间缩短了50%,电流波动幅度降低了68.75%。
一、前言
无线电能传输技术应用于海洋领域能够提高水下设备的充电安全性、可靠性、灵活性和隐蔽性,增强水下设备的工作能力,其典型应用案例包括AUV与海底基站或母船对接充电,以及海洋观测网络中的机电设备供电。
传统的直接接触式充电方式需设计严密的密封结构,制成湿插拔接口,不仅制作工艺和结构复杂,而且存在易产生火花、插拔操作过程繁琐、使用寿命短等弊端。由于AUV的自主定位与对接能力存在局限性,这通常要求额外配备机械装置以支持有线充电对接操作。
这种做法不仅显著提升了系统结构的复杂度,同时也相应增加了日常维护的经济成本与技术难度。无线电能传输技术能有效克服这些缺点,实现供电电源和充电设备的完全隔离,提高AUV的供电可靠性。水下环境存在信号衰减、海水腐蚀和恶劣的电磁环境等挑战,无线电能传输技术需满足更高的作业要求,工作在水下环境的无线电能传输系统需具备强抗偏移能力、抗海水腐蚀性和适应深海高压的能力,以确保系统高效可靠的运行。
传统无线充电系统依赖高速通信,易受水下信号衰减影响,导致系统的可靠性下降。为此,本文提出一种针对AUV的双LCC无线充电系统方案,系统主要由高频逆变器、LCC/LCC补偿网络、耦合线圌及整流器组成。基于双LCC补偿网络建立数学模型,推导证明:在等效负载电阻较大的情况下,原边输入电流与副边输出电压呈线性关系。
采用原边控制策略,即通过原边恒流控制来稳定副边的负载电压,无需双边实时通信。此外,系统引入模糊P|控制器,相比传统P1控制器,更能有效抑制电池充电过程中负载变化引起的电流和电压峰值波动,保证系统更快进入稳态,从而实现稳定高效的水下无线充电作业。
二、无线充电补偿网络分析
无线电能传输系统的补偿网络通常采用四种基本拓扑结构:串联-串联(S/S)、串联-并联(S/P)、并联-串联(P/S)和并联-并联(P/P)。
然而,为了在实际应用中获得更优的输出特性,高阶谐振拓扑结构(如LCC/C和LCC/LCC)更为常见。其中,LCC/LCC补偿网络的显著优势在于,补偿电容的选择不因负载变化而受影响,大幅简化了系统设计;同时,LCC/LCC网络能够实现原边线圈电流与负载的电气解耦,有效减小了原边和副边之间的相互影响。这一设计对于AUV的无线电能传输尤为重要,尤其是在AUV姿态或位置变化的情况下,依然可以保证电能传输的稳定性。
此外,通过调节原边辅助电感参数,LCC儿LCC网络能够灵活调整系统的输出特性,以适应水下复杂的工作环境和多样的负载需求。
基于以上特点,本文选择LCC/LCC补偿网络作为研究分析的对象。
(一)双LCC补偿拓扑分析
本文所设计的LCC/LCC无线充电系统电路结构如图1所示,包括等效直流输入电压Uin,高频逆变电路的开关器件S1~S4,原副边辅助电感Lf1、Lf2,耦合线圈自感L1、L2,原副边补偿电容C1、C2,原副边辅助电容Cf1、Cf2,耦合线圈互感M,副边全桥整流电路的开关器件D1~D4,滤波电容C0,电池等效负载RL。系统通过调节逆变电路的移相占空比d1,精确控制输出,从而实现电池负载的恒压恒流充电。
LCC/LCC补偿网络的输入电压UAB采用移相控制方式进行调整。在这一控制方法中,通过调节逆变器的驱动信号相位能够使开关管在特定时间内完全关闭,从而使逆变器的输出电压UAB达到0。
通过调节移相角α可以控制逆变器输出电压为0的持续时间比例,从而精确调节输出电压。
进一步分析这种控制方式对输出电压的影响时,需要考虑LCC/LCC补偿网络的带通滤波特性,以及系统通常在谐振状态下的工作模式,这些因素使得系统的主要波动源为基波。
因此,逆变器输出电压基波的有效值UAB通过执行傅里叶分解并调整相位移角度,可以实现对补偿网络输入电压的精准控制与计算。
系统对应的等效直流供电源Uin,被视作不变的量。逆变器输出电压的基本波峰值平均值UABf,通过调整移相角,可以实现对补偿网络输入电压的有效调控,进而精确控制其值。
LCC/LCC补偿网络交流等效电路如图2所示。
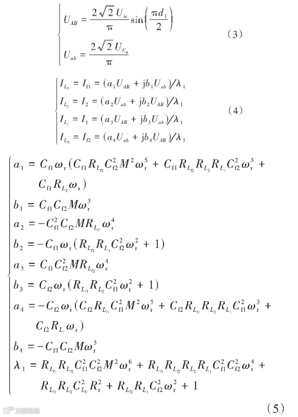
根据双LCC等效电路,列出LCC/LCC补偿网络的基尔霍夫电压定律(KVL)方程为:
式中:UAB和Uab为补偿网络的输入输出电压;If1、If2为补偿网络的输入和输出电流;I1、I2为原副边耦合线圈的电流;RLf1、RLf2为辅助电感Lf1、Lf2的寄生电阻;RL1、RL2为原副边线圈的寄生电阻;ω为原边全桥逆变器的开关角频率。
当无线充电系统处于完全谐振的工作状态,将公式(2)展开求解得到:
(二)电流电压线性关系推导
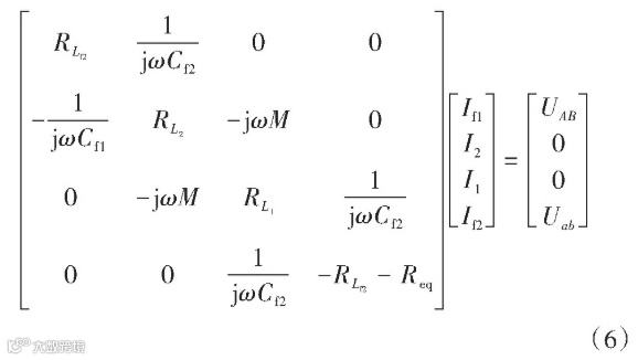
为了探究负载对If1和Uab之间关系的影响,在图2展示的等效电路的输出部分接入相应的等效负载Req。应用基尔霍夫电压定律能够得出以下公式:
推导得到:
式中:
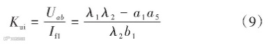
将式(8)代入式(7)得到Uab和If1的精确比例关系Kui为:
系统电路参数如表1所示,将式(9)中的参数代入后得出Kui与等效负载Req的关系曲线,如图3所示。由此证明Uab=KuiIf1关系式中,Kui在较高阻值时是基本不变的。通过该关系式调节原边的输入电流If1来控制副边的输出电压,可以实现负载的恒压输出。
三、原边模糊控制方法
(一)原边闭环控制
闭环控制方法根据闭环控制器的数量及其位置,可以分为单边闭环控制和双边闭环控制。文献[5]中采用了双边闭环控制方案,通过高速通信模块将副边的电流和电压信息传递至原边控制器,从而实现高精度的充电控制。虽然这种方式具有很高的控制精度,不受互感系数和电阻变化的影响,并能稳定输出负载电压,但在水下环境中,高速通信模块容易受到干扰,导致系统可靠性降低。为了解决这一局限性,文献[6-7]提出了单边闭环控制方法,该方法通过控制逆变器的输出电流来间接调节副边的电流和电压,从而避免了原副边之间高速通信的需求。然而,一旦负载阻值或耦合系数出现变动时,可能导致原副边之间电气量的偏移,从而影响系统性能。为了进一步提高系统的鲁棒性,文献[8-9]在单边闭环控制的基础上引入了副边的DC/DC变换器,这一改进能够有效改善输出电流和电压的控制,提升系统在不同负载条件下的适应性。不过这一改进也增加了系统的复杂度和开销,并引入了额外的功率转换环节,导致整体效率有所下降。相比之下,原边闭环控制通过调节DC/DC变换器或调整逆变器驱动信号的相位差来实现恒流恒压输出。这种方式简化了AUV接收端的电路设计,避免了复杂的反馈信号传输,增强了系统的可靠性和抗干扰能力。因此,选择原边闭环控制作为AUV无线充电系统的控制方案。
(二)模糊控制器算法
模糊控制是一种基于专家智慧与经验的智能化控制方法,普遍适用于管理结构复杂、动态非线性且存在不确定性因素的系统。相较于传统的控制策略,模糊控制技术无需构建系统的精确数学模型,它依赖于模糊逻辑与经验法则,通过隶属函数的定义和模糊推理过程来做出决策判断。该方法通过使用模糊集合来处理输入变量的不确定性和复杂性,能在面对动态变化的环境时,提供灵活、可靠的控制效果。在应用过程中,模糊控制将输入参数转化为模糊语言参数,并借助预先设定的隶属函数,将这些输入参数对应至模糊规则集合。为了提高控制精度,文献[10-14]在理论方法上对量化因子的自适应调整进行了深入探索,取得了显著进展,这些进展为模糊控制器在动态环境中的应用提供了更为灵活的解决方案。基于专家经验或仿真数据构建,通过模糊推理过程,模糊控制器能够动态计算出PID控制器的参数,如比例、积分和微分增益,确保系统的控制参数随着当前状态的变化而调整。
(三)模糊控制器设计流程
在AUV的无线充电场景中,传统双边实时通信常受到环境干扰、信号衰减及延迟等问题影响,导致系统的实时性和可靠性下降。传统PID控制器在应对这些动态变化时面临难以快速响应内部阻抗扰动的问题;相比之下,模糊控制器通过引入模糊逻辑调节机制,能够更灵活地处理并适应充电过程中各种复杂的动态条件。采用模糊P控制器后,系统能够摆脱对通信链路的依赖,通过实时调节原边
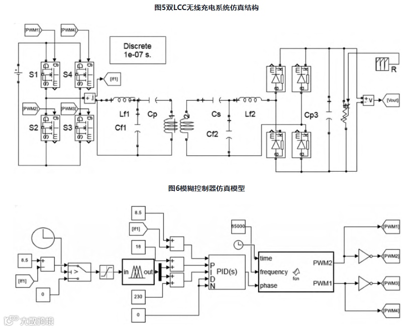
输入电流来应对耦合系数和负载变化,在副边保持输出电压的稳定性。在本系统中,输入变量(即电流误差和误差变化率)映射到模糊规则,根据预设的规则集对PI控制器的参数进行动态调整。基于公式Uab=KuiIf1,为了明确原边输入电流与副边输出电压之间的直接联系,模糊PI控制器实时监控原边输入电流的偏差及变化速率并运用模糊控制规则进行参数微调。此举旨在确保系统无论在何种运行状况下都能快速达到稳定状态,同时保证原边输入电流的稳定性,进而确保副边输出电压保持恒定。双LCC无线充电系统结构如图4所示。
本文提出了一种二维模糊控制器,旨在自动调节PI控制器的参数以实现电流的精确控制。该控制器的核心思想是将电流误差e(k)=If1-I0和误差变化ec(k)=e(k)-e(k-1)作为输入量,用于实时调整控制参数KP和KI。其中:If1为采样电流;Iset为参考设定电流。电流误差e(k)反映了电流与参考电流之间的差异,e(k)<0时表明输入电流减小,e(k)>0时则表示电流增大,e(k)越大,表示电流变化越明显。误差变化量ec(k)表示电流误差的变化趋势,当ec(k)>0时,输入电流和移相角α变化趋势相反;ec(k)<0时,两者变化趋势相同。ec(k)越大,表明电流变化速率越大。
该模糊控制器通过模糊推理规则将PI控制器的参数K,和K,进行自动调整,旨在适应电流误差和变化的不同情况。为了进行模糊推理,输入与输出的模糊范畴被分成了7个部分:正大(PB)、正中(PM)、正小(PS)、零(Z)、负小(NS)、负中(NM)、负大(NB)。所有隶属度函数使用的是三角形形态与正态分布方式,并设定了变化范围分别为[-80,80]和[-10,10]。控制器的目的是使参数K,和K,随着误差e和误差变化ec的变化而自动进行整定。根据实际经验,参数K和K,在不同的e和ec下的自行整定原则如下:
1)当e和ec较大时,为加快系统的响应,防止控制的输出超调,需要增大Kp,但积分作用导致超调增大,所以需要适当减小K;
2)当e和ec中等大小时,同样为减少控制的输出超调,需要适当增大Kp、K,且取值要适中;
3)当e和ec较小时,需要减少系统的稳态误差,将控制的输出增大,即增大Kp和K。
由以上整定的规则得到模糊规则,见表2、表3。
(三)仿真验证
为验证本文方案的有效性,在Matlab的Simulink中搭建基于模糊PI控制的双LCC电路,仿真结果如图5所示,模糊PI控制器的仿真模型如图6所示,系统模型参数如表1所示。
系统启动后,先由P控制器调控电流,待初始电流稳定后模糊控制器介入控制。在仿真过程中,负载的变化模式为先递减后增大,实验测量原边输入电流和副边输出的负载电压,并比较PI控制器与模糊PI控制器的结果。比较原边输入电流的波形和稳态后放大的电流波形,图7展示了原边输入电流的波形,图8则呈现了稳态后放大的电流波形。
仿真实验结果表明,在负载发生变化时,P控制器需要200 ms才能进入稳态,而模糊PI控制器则能在100 ms左右迅速稳定,响应时间较P控制器缩短了50%,在响应速度方面具有明显优势:此外,在电流波动抑制方面,P控制器的输出电流会出现较大的波动,峰峰值最大达到0.80 A,模糊PI控制器的电流波动峰峰值仅为250 mA,经计算,电流波动幅度降低了68,75%,稳定性和控制精度更优;在稳态情况下,模糊PI控制器的电流波形表现出更小的稳态误差,范围为0.04%~0.06%,PI控制器的稳态误差则为0.013%~0.12%。尽管两者的稳态误差都在1%以下,但模糊控制器能够更好地抑制微小扰动,进一步提升系统的动态性能。
五、结论
本文提出一种适用于AUV的双LCC无线充电系统方案,通过控制原边输入电流调节副边输出电压,省去AUV与对接充电设备之间的实时通信需求;采用模糊P控制器提高系统在负载变化下的鲁棒性和稳定性,确保AUV自主运行时的稳定充电。仿真结果表明,虽然PI控制器和模糊PI控制器的稳态误差都在1%以内,但模糊PI控制器在负载变化时响应速度更快、电流波动更小,在抑制系统波动和提高控制精度方面表现更优。该方案有效提升了AUV自主充电的稳定性,为水下无线充电技术的实际应用提供了重要参考。
六、参考文献
声明:本公众号相关内容均来自主流媒体及公众号,非商业用途,并不意味着赞同其观点或证实其内容的真实性。版权归原作者所有,如有发现侵犯您的权益,请后台联系编辑,我们会尽快删除相关侵权内容。

