大数跨境
0
0

不蜇人蜜蜂的“绝世好蜜”,化学家帮忙打假

不蜇人蜜蜂的“绝世好蜜”,化学家帮忙打假 X-MOL资讯
2022-03-04
2
导读:在大自然中,无刺蜂获得富含蔗糖的花蜜,就可产生富含海藻酮糖、对健康有益的蜂蜜


谈到蜜蜂,伙伴们的印象一般是勤劳的昆虫,能酿出甜美的蜂蜜,但也有尾针保护自己。不过,这世上也存在没有蜂针、不蜇人的蜜蜂——膜翅目蜜蜂科麦蜂族(Meliponini)下的蜜蜂都是如此。此类蜜蜂分布于世界热带或亚热带地区(我国云南、海南等地也有分布)。和常见的蜜蜂一样,无刺蜂群也是由分工明确的工蜂、蜂王和雄蜂组成,但无刺蜂个体更小(体长只相当于传统蜜蜂的三分之一)(图1)。这种个头小、没螫针的昆虫看起来实在不起眼,然而它们却有一项独门绝技:酿得一手绝世好蜜。

图1. 个体较小的无刺蜂。图片来源于网络

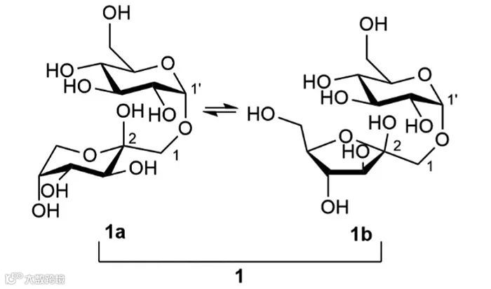
无刺蜂的蜂蜜虽然在产量上远低于传统蜂蜜,但因其醇厚的口味被美食家视为珍馐,市场价格非常昂贵。当然,贵也有贵的道理,以往的研究发现,与传统蜂蜜的糖成分以果糖和葡萄糖等单糖为主不同,无刺蜂蜜主要含一种二糖——海藻酮糖(trehalulose)(图2)。海藻酮糖是一种能够替代蔗糖的高价值天然甜味剂,有较低致龋齿率、较高的抗氧化作用、其小肠水解吸收率只有蔗糖的三分之一,因此有较低血糖指数,可以说有很好的保健效果。还有一点也很重要,天然海藻酮糖除了存在于无刺蜂蜜中,自然界的其他来源还非常罕见。

图2. 海藻酮糖的化学结构(1),海藻酮糖是1a1b构成的互变异构体。图片来源:J. Agric. Food Chem.

那么,无刺蜂是如何酿出这等绝世好蜜的呢?海藻酮糖又是从何而来呢?近日,澳大利亚昆士兰大学Natasha L. Hungerford 等研究者用糖类饲喂实验结合现代分析化学技术找到了其中的关键——蔗糖在大自然中,无刺蜂获得富含蔗糖的花蜜,就可产生富含海藻酮糖、对健康有益的蜂蜜。看到这里,觊觎这种高价格蜂蜜的奸商们心里是不是浮现了“一个大胆的想法”?其实,研究者们也想到了这一点,他们在文章中也报道了鉴别方法,以区分天然蜂蜜与人工给无刺蜂饲喂蔗糖而得到的假蜂蜜。

图3. 无刺蜂饲喂实验示意图。图片来源:J. Agric. Food Chem.

具体来说,他们选择的研究对象是能构筑独特螺旋形蜂巢的澳大利亚无刺蜂(Tetragonula carbonaria)(图4)。他们将蜂群转移到人工蜂巢,蜂巢设计为扁平状观察盒,上面覆盖透明塑料膜,便于观察里面的蜂群活动。人工蜂巢有圆孔作为成蜂进出的通道,若要禁止成蜂外出可以用细网封闭圆孔,圆孔所在区域安装了塑料喂食器。实验期间,成蜂被关闭于蜂巢中不能外出觅食,饲喂蔗糖溶液后收集的蜂蜜样品编号为S0-7,饲喂葡萄糖、果糖溶液后编号为GF1-3。其中,样品S0-4收集自二月下旬的同一个蜂群,S5-7收集自四月的另一个蜂群。样品S0的特殊之处在于为无刺蜂提供了一个人工蜜罐(honey pot),以分析蜜罐在海藻酮糖蜂蜜形成过程中扮演的角色。

图4. 澳大利亚无刺峰的天然蜂巢(左)和本实验设计的人工蜂巢(中、右)。图片来源:J. Agric. Food Chem.

对于收集到的样品,他们分别通过超高效液相色谱-串联质谱联用仪(UHPLC-MS/MS)和离子色谱耦合脉冲安培检测器(IC-PAD)两种不同技术进行分析。结果显示,人工饲喂产生的蜂蜜比天然蜂蜜颜色更浅,粘稠度更低。样品S1-7中主要含海藻酮糖(占总糖比例为64.5-71.6%),含量排第二的是一种未知的三糖(占总糖比为8.8−11.7%),他们随后通过制备型高效液相色谱(HPLC-ELSD)分离到了这种三糖,通过核磁(NMR)和高分辨质谱(HRAM LC-MS/MS)鉴定为伊尔糖(erlose),果糖和葡萄糖的含量较少,未检测到蔗糖。样品S0的糖类组成与S1-7类似,只是有少量蔗糖残留,说明蜜罐的变化对蜂蜜组成有一点影响,但不显著。样品GF1-3则只含有葡萄糖和果糖(图5)。实验结果表明,无刺蜂可以将蔗糖转化为海藻酮糖、伊尔糖和少量果糖、葡萄糖,人工蜜罐对海藻酮糖的生成没有影响,但无刺蜂对果糖和葡萄糖没有这样的转化能力。这项结论对发展无刺蜂蜜产业有重要指导意义:要获得富含海藻酮糖的无刺蜂天然蜂蜜,就要创造条件,尽量让无刺蜂靠近自然界富含蔗糖的蜜源植物。

图5. 运用UHPLC-MS/MS和IC-PAD技术分析蔗糖溶液(左)和果糖、葡萄糖溶液(右)饲喂无刺蜂产生的蜂蜜化学成分。图片来源:J. Agric. Food Chem.

不过,哪有那么容易找到富含蔗糖的蜜源植物?既然人工给无刺蜂投喂廉价的蔗糖也能产生富含海藻酮糖的高价蜂蜜,只知利益的奸商们会放过这个简单操作吗?如何让“假蜂蜜”现出原形?Hungerford等人巧妙地利用植物代谢机制差异和同位素比例质谱(IRMS)技术破解了这一难题。

原来,无刺蜂在自然环境下采蜜的花源绝大多数属于碳三植物(C3),通过卡尔文循环固定二氧化碳进行光合作用,合成的糖有较低的13C/12C比(-22到-28‰),而制糖工业选取的糖源来自碳四植物(C4),如甘蔗、玉米,C4植物通过Hatch-Slack途径合成的糖有较高的13C/12C比(-9到-15‰)。因此,他们通过IRMS分析,发现蔗糖饲喂无刺蜂产生的蜂蜜13C/12C值高于天然蜂蜜(前者为-12.29到-12.02‰,后者为-25.17到-29.60‰)。这样,“假蜂蜜”就无处遁形了。


原文(扫描或长按二维码,识别后直达原文页面):

Feeding Sugars to Stingless Bees: Identifying the Origin of Trehalulose-Rich Honey Composition

Natasha L. Hungerford*, Jiali Zhang, Tobias J. Smith, Hans S. A. Yates, Sadia A. Chowdhury, James F. Carter, Matheus Carpinelli de Jesus, and Mary T. Fletcher
J. Agric. Food Chem., 2021, 69, 10292–10300, DOI: 10.1021/acs.jafc.1c02859

(本文由天生西南供稿)



【声明】内容源于网络
0
0
X-MOL资讯
“X-MOL资讯”隶属于X-MOL学术平台(官网x-mol.com),关注化学、材料、生命科学、医学等领域的学术进展与科研前沿,提供专业与深度的内容。公众号菜单还提供“期刊浏览”等强大功能,覆盖各领域上万种期刊的新近论文,支持个性化浏览。
内容 19833
粉丝 0
X-MOL资讯 “X-MOL资讯”隶属于X-MOL学术平台(官网x-mol.com),关注化学、材料、生命科学、医学等领域的学术进展与科研前沿,提供专业与深度的内容。公众号菜单还提供“期刊浏览”等强大功能,覆盖各领域上万种期刊的新近论文,支持个性化浏览。
总阅读1.6k
粉丝0
内容19.8k