
区分和定点选择性远程C–H键活化是C–H活化领域最具挑战性的研究课题之一。主要难点在于远程C–H键具有相似的空间位阻和电性特征,一般的化学合成方法难以区分这些相似的C–H键从而进行选择性官能团化。此外,C–H键活化中使用的导向基通常只能辅助形成5、6或者7元环过渡态进行金属化。远程活化需要更大环的C–H键断裂过渡态,传统导向基策略无法实现远程C–H键活化以及金属化反应。在2012年,余金权课题组首次提出并开发了大环导向模板策略。这一策略能够通过预组装大环C–H键断裂过渡态进行远程间位C–H键活化反应(Nature, 2012, 486, 518)。在过去的十年里(2012-2021),一些国外课题组以及国内李纲教授、鲁艺教授和金钟教授等几个课题组也后续开发了一系列新的远程共价或非共价含芳香环间位或对位导向模板,发表了50多篇文章报道了119类结构不同的导向模板。但是,这些导向模板的开发基本上是依靠经验直觉和大量的实验进行设计和尝试,极大的限制了学术界和工业界对于这一化学合成方法的应用。
近日,美国斯克里普斯研究所的余金权团队利用统计学方法分析了过去10年间导向模板的结构特点,归纳总结了指导远程导向模板设计的三个重要因素:距离(Distance)、几何(Geometry)和刚性(Rigidity)。在此规则指导下成功设计了两类全新的含脂肪环间位和对位导向模板。DFT计算也辅助验证了模板设计的合理性。相关成果发表在J. Am. Chem. Soc.上,论文共同第一作者为博士后林远森、樊洲龙和Kevin Wu。
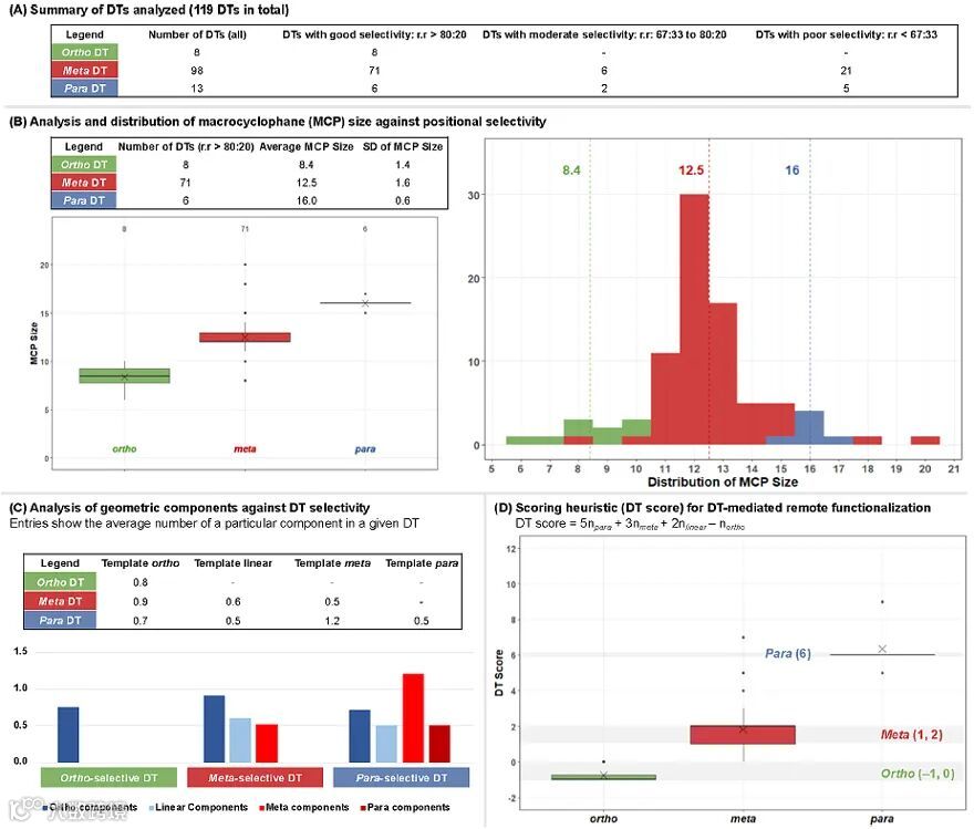
文章中作者首先分两部分进行统计学分析。“距离(Distance)”参数通过评价大环尺寸发现对于邻、间和对位最合适的分别为8、12和16元环。“几何(Geometry)”参数需要考虑的因素比较多。作者综合考虑分析了sp、sp2和sp3原子组成;供电子和吸电子官能团位置和数量;可旋转和不可旋转键类别和数量;金属催化剂物种等一系列因素。通过分析作者发现只有模板中的线性官能团以及邻、间和对组分数量与反应位点选择性之间存在相关性。为了更直观方便的评价,作者总结并提出了一个“打分方程”来快速评价几何参数(见图1)。

图1. 统计学分析归纳的2012至2021年报道的119个导向模板的大环尺寸和几何规则。图片来源:JACS
根据发现的经验规则,作者设想开发含脂肪环的导向模板进行位点选择性实验验证。含脂肪环导向模板优势在于氢谱核磁分析中可以避免芳环区域被模板的氢所覆盖而影响选择性判断。作者利用设计的反式2-羟基环己烷甲腈为间位模板,评价了远端苯环取代的长链酸和醇的间位选择性与大环尺寸的关系。研究发现12元环给出最高的间位选择性,11和13元环也可以得到较好的间位选择性,但是其他更小或更大的尺寸不利于间位选择性(见图2)。

图2. 利用新发展的含脂肪环间位导向模板研究大环尺寸对间位选择性的影响。图片来源:JACS

图3. 综合调研大环尺寸,几何构象和环刚性开发新的含脂肪环对位导向模板。图片来源:JACS
另外,作者通过设计模板进行几何方程打分分析发现,当得分为6时可以给出对位选择性。接着以金刚烷骨架为对位模板,比较了15、16和17元环过渡态,只有16元环给出较高的对位选择性。进一步对模板的连接部分探索发现更强的刚性可以提供更高的对位选择性。

图4. 开发间位和对位导向模板的经验规则总结。图片来源:JACS
基于以上统计分析和实验验证,作者在图4中总结了芳环远程间位和对位导向模板设计的经验指导规则。
通过对过去10年报道的导向模板结构进行分析,余金权团队总结了远程导向模板设计的经验规则。在此规则指导下,他们发展了两类简单的含脂肪环间对位导向模板。可以预见这些基于大环过渡态的经验规则能够同时适用于远程导向共价和非共价模板,甚至催化剂的理性设计。该法则的指导意义可能不仅限于C–H活化领域,对于发展其他远程位点选择性官能团化反应也能带来一定的启示和指导。
Empirical Guidelines for the Development of Remote Directing Templates through Quantitative and Experimental Analyses
Nelson Y. S. Lam, Zhoulong Fan, Kevin Wu, Han Seul Park, Su Yong Shim, Daniel A. Strassfeld, and Jin-Quan Yu*
J. Am. Chem. Soc., 2022, DOI: 10.1021/jacs.1c12654
https://www.x-mol.com/university/faculty/694


点击“阅读原文”,查看 化学 • 材料 领域所有收录期刊
