大数跨境
0
0

【材料】Macromolecules | 支链长度对超支化PDXLA气体分离性能的影响

【材料】Macromolecules | 支链长度对超支化PDXLA气体分离性能的影响 X-MOL资讯
2022-01-20
1
导读:本文报道了一种改进的合成方法以精确控制PDXL支链长度,并系统研究了PDXL支链长度对PDXLAn物理性质和气体传输性能的影响。
英文原题:Effect of the Branch Length on Structural and Separation Properties of Hyperbranched Poly(1,3-dioxolane)



通讯作者:林海青,纽约州立大学布法罗分校
作者:Liang Huang(黄亮), Wenji Guo (郭雯霁), Himangshu Mondal, Skye Schaefer, Thien N. Tran, Shouhong Fan, Yifu Ding, Haiqing Lin (林海青)



背景介绍


聚氧化乙烯(poly(ethylene oxide),PEO)中极性的醚氧基团与CO2有很好的亲和性,因而许多富含PEO的高分子展现出优异的CO2/N2分离性能。继续增加高分子中醚氧基团的含量有望进一步提高其CO2/N2溶解度选择性和CO2透过性。聚二氧戊环(Poly(1,3-dioxolane),PDXL)的醚氧基团含量高于PEO,因而基于PDXL的高分子有望获得更好的CO2/N2分离性能。然而,与PEO类似,高分子量的PDXL容易结晶,导致气体透过性急剧降低。2019年,我们团队发现(Joule, 2019, 3, 1881)将短链PDXL作为支链,可以有效抑制PDXL结晶。合成的富含PDXL的高分子PDXLAn(n=12)具有无定型结构和优异的CO2/N2分离性能。但是当时使用的合成方法尚不能精确控制PDXL支链长度。而研究PDXL支链长度如何影响PDXLAn的物理性质和气体传输性能对于理解这类高分子材料的构效关系和指导高性能CO2/N2分离膜材料的设计合成具有重要意义。为此,我们改进了之前的合成方法制备了一系列具有精确支链长度的PDXLAn(图1),并系统研究了PDXL支链长度对PDXLAn的物理性质和气体传输性能影响。


图1. (a) 大分子单体DXLAn和相应的PDXLAn膜的合成路线;(b) 合成的DXLA8的1H NMR谱图



文章亮点


DSC测试表明,PDXL支链中DXL重复单元的数量从4增至12时,高分子均为无定型结构(图2)。随着PDXL支链长度的增加,PDXLAn的玻璃化转变温度(Tg)降低,而其自由体积分数(FFV)增加(图2)。这是因为PDXL支链长度增加,末端羟基含量降低,从而导致形成的氢键数量减少,链段柔性增加。


图2. (a) PDXLAn膜的DSC图;(b) PDXL支链长度对Tg和FFV的影响


与PEO基高分子类似,PDXLAn 膜的气体透过性遵循以下顺序:CO2 > H2 > C2H6 > CH4 > N2。而且PDXL支链长度对高分子的气体传输性能有显著影响(图3)。当DXL重复单元数量小于8时,随着PDXL支链长度的增加,气体透过性和CO2/N2选择性均显著增加。图4显示PDXL支链长度对CO2和C2H6溶解度的影响并不显著,而CO2和C2H6扩散系数随PDXL支链长度的增加而增加了一倍以上。


图3. PDXL支链长度对气体传输性能的影响


图4. PDXL支链长度对气体溶解度和扩散系数的影响


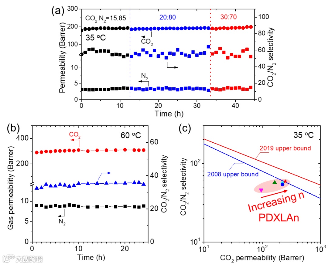
在不同组分的CO2/N2混合气下,PDXLA8膜均表现出稳定的分离性能(图5)。35 oC下,CO2渗透系数为200 Barrer,CO2/N2选择性为60左右(图5a)。当温度升至60 oC时,CO2渗透系数增加至300 Barrer,CO2/N2选择性降为35左右(图5b)。并且在60 oC下连续测试30小时后,其分离性能仍保持稳定,证明其良好的热稳定性。图5c显示,随着PDXL支链长度的增加,PDXLAn的CO2/N2分离性能逐渐超过了2008 upper bound。此外,PDXLA8膜还具有良好的CO2/CH4分离性能。


图5. CO2/N2混合气下PDXLA8膜的分离性能


总结


本文报道了一种改进的合成方法以精确控制PDXL支链长度,并系统研究了PDXL支链长度对PDXLAn物理性质和气体传输性能的影响。该研究有助于人们理解超支化PDXLA的构效关系和指导高性能CO2分离膜材料的设计合成。


相关论文发表在Macromolecules 上,纽约州立大学布法罗分校博士后黄亮为文章的第一作者,林海青教授为通讯作者。


通讯作者介绍:


林海青 博士

林海青博士于2005毕业于德州大学奥斯汀分校化学工程专业。同年,以高级研究员身份入职美国膜技术与研究公司(MTR),他主导天然气净化和CO2/H2分离膜开发(如北极星膜,Polaris™)的研究项目。其后,林博士于2013受聘于纽约州立大学布法罗分校,出任助理教授,并在2021年升为教授。他的团队注重用于气体分离和水净化的先进膜材料的研发。林教授于2016年获得美国自然科学基金职业成就奖,于2020年获得美国化学工程学会分离专项的创新奖,于2021年获得纽约州立大学布法罗分校杰出学者-持续成就奖。


* 课题组主页:
https://sites.google.com/view/haiqinglin


扫描二维码阅读英文原文

Macromolecules 2022, 55, 1, 382–389

Publication Date: December 21, 2021

https://doi.org/10.1021/acs.macromol.1c02045

Copyright © 2022 American Chemical Society



【声明】内容源于网络
0
0
X-MOL资讯
“X-MOL资讯”隶属于X-MOL学术平台(官网x-mol.com),关注化学、材料、生命科学、医学等领域的学术进展与科研前沿,提供专业与深度的内容。公众号菜单还提供“期刊浏览”等强大功能,覆盖各领域上万种期刊的新近论文,支持个性化浏览。
内容 19833
粉丝 0
X-MOL资讯 “X-MOL资讯”隶属于X-MOL学术平台(官网x-mol.com),关注化学、材料、生命科学、医学等领域的学术进展与科研前沿,提供专业与深度的内容。公众号菜单还提供“期刊浏览”等强大功能,覆盖各领域上万种期刊的新近论文,支持个性化浏览。
总阅读11.7k
粉丝0
内容19.8k