英文原题:Relaxation Oscillations of an Exciton–Polariton Condensate Driven by Parametric Scattering
通讯作者:周伟航,华中科技大学;董红星,上海光机所
作者:Chuan Tian (田川), Linqi Chen (陈淋琪), Yingjun Zhang (张应军), Liqing Zhu (朱莉晴), Wenping Hu (胡文平), Yichun Pan (潘议淳), Zheng Wang (王政), Fangxin Zhang (张芳馨), Long Zhang (张龙), Hongxing Dong (董红星), Weihang Zhou (周伟航)
背景介绍
激子极化激元是由激子与光子通过强耦合效应而形成的准粒子,具有半光半物质的特性。由于内在的光子成分,激子极化激元的寿命很短,是典型的非平衡耗散系统,这一特点为激子极化激元体系带来了极为丰富的动力学过程。另一方面,激子极化激元内在的激子成分使得其具有不错的非线性效应,可以产生诸如参量散射等非线性过程。因此,揭示激子极化激元的非线性动力学现象并阐明其机理是进一步加深对激子极化激元物理的理解、推动激子极化激元相关器件开发的关键一环。
图1. (a)一维ZnO回音壁微腔中激子极化激元参量散射过程示意图。(b)阈值功率以下的典型角分辨荧光光谱图。(c)阈值功率以上的典型角分辨荧光图像。(b)、(c)中的白色点曲线为耦合谐振子模型拟合得到的激子极化激元色散。
文章亮点
近日,华中科技大学周伟航副教授和上海光机所董红星研究员合作,在Nano Letters上发表了由参量散射驱动的激子极化激元弛豫振荡现象研究。他们通过生长高质量的ZnO单晶微米棒,利用高空间解析度的共焦显微角分辨光谱技术,不仅获得了高信噪比的激子极化激元带间参量散射信号,还观察到了与参量散射密切相关的光谱振荡现象。室温条件下测量得到的典型功率依赖角分辨图像如图2所示。
图2. 放大正角度区域的角分辨PL图像,显示了不同泵浦功率下凝聚体和信号光的演化。(a)泵浦功率P ≈ 1.1Pth; (b) P ≈ 1.9Pth; (c) P ≈ 2.5Pth; (d) P ≈ 2.8Pth
通过研究这种光谱振荡的空间依赖关系,研究团队发现这种振荡现象与具体的探测位置并无直接关联,从而排除了这种振荡来源于不同位置处激子极化激元凝聚体空间干涉的可能性;接着,通过改变激子-光子的失谐量,证实这种振荡行为可经由激子极化激元的激子成分加以调控。理论上,通过Gross-Pitaevskii方程模拟,获得了和实验测量相一致的结果,从而证实这种光谱调制实际上是一种激子极化激元的弛豫振荡现象,其由激子极化激元子带间的参量散射过程所驱动。
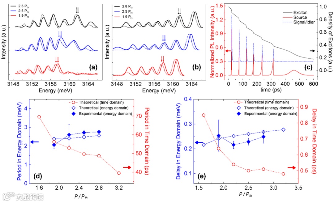
图3.(a)k‖=0处凝聚体(实线)与相应信号光(虚线)光谱振荡的直接对比;(b)与(a)图相对应的 理论计算结果;(c)理论计算得出的凝聚体、信号光以及激子库三者的粒子浓度随时间的演化曲线;(d) 振荡周期的功率依赖关系;(e)相较凝聚体,信号光的延迟对泵浦功率的依赖关系。
总结/展望
在该文中,华中科技大学国家脉冲强磁场科学中心与上海光机所的合作团队巧妙地利用激子极化激元与激子库之间的库伦排斥作用,将时间域上的振荡行为投影到能量空间,大幅降低了相关研究对硬件的要求。所观察到的弛豫振荡由参量散射过程驱动,是一种全新的弛豫振荡机制,对人们从更深的角度理解光-物质的凝聚过程有十分积极的意义。振荡过程中成对产生的信号光、闲频光脉冲可用于片上微型参量振荡器、相干纠缠光子脉冲等场景的器件应用。
相关论文发表在Nano Letters上,华中科技大学博士生田川、上海光机所博士生陈琳琪为文章的共同第一作者,华中科技大学周伟航副教授、上海光机所董红星研究员为共同通讯作者。
周伟航 副教授
华中科技大学国家脉冲强磁场科学中心副教授,博士生导师。2012. 01 博士毕业于复旦大学物理系;2012. 02 ~ 2015. 04 赴东京大学物性研究所从事博士后研究工作;2015. 05 起工作于现单位,致力于业内首套适用于脉冲强磁场的显微磁光系统的开发,获评华中学者;2019年入选湖北省楚天学子。主要从事激子极化激元的光学性质以及脉冲强磁场下的半导体物理研究。
*Email: zhouweihang@hust.edu.cn
*主页链接:http://whmfc.hust.edu.cn/info/1497/1455.htm
董红星 研究员
中国科学院上海光学精密机械研究所研究员,博士生导师。2011. 01 博士毕业于复旦大学物理系;2011. 05 起工作于现单位,致力于人工微结构对电磁/光波的调控及应用,入选上海市青年拔尖人才、上海市青年科技启明星、中科院青年创新促进会会员和中科院超强激光科学卓越创新中心首批“卓越尚光青年领军人才”。
*Email: hongxingd@siom.ac.cn
扫描二维码阅读英文原文
Nano Lett. 2022, ASAP
Publication Date: March 28, 2022
https://doi.org/10.1021/acs.nanolett.2c00235
Copyright © 2022 American Chemical Society

