大数跨境
0
0

Nature:共轭还原+还原胺化,只需一种酶

Nature:共轭还原+还原胺化,只需一种酶 X-MOL资讯
2022-05-08
3
导读:英国曼彻斯特大学的Nicholas J. Turner教授课题组报道了一种通过共轭还原和还原胺化进行胺合成的多功能酶EneIRED


手性胺类化合物不仅广泛存在于药物分子、农用化学品以及功能材料中,而且还可以作为手性催化剂、拆分试剂以及手性辅基,重要性不言而喻。目前,还原胺化(reductive amination, RA)是合成手性胺最直接、最高效的方法之一,即通过羰基和胺的还原偶联来构建C-N键。如图1a所示,有价值的胺类化合物通常含有多个立体中心,要想实现手性的完全控制仍极具挑战性,这往往依赖于低效的多步合成或更复杂的串联催化体系。多酶体系其实非常适合这些串联催化过程(图1b),但由于多种酶之间反应体系和反应速率可能并不相容,困难依然存在。为了解决这些问题并实现所需的反应指标,通常需要对所涉及的每种酶都进行大量的蛋白质工程,费时费力,成功率低。如果能发现某一种酶,可以通过类RA过程控制多个立体中心,那么一切问题都将迎刃而解,而且这还意味着人们有机会使用一锅法、单催化剂体系来高效合成有价值的胺类非对映异构体(图1c)。

烟酰胺依赖性酶是用于不对称共轭还原(conjugate reduction, CR)和RA的多功能生物催化剂。对于RA而言,亚胺还原酶(IREDs)已成为颇具吸引力的催化剂,这是因为它们具有广泛的底物范围并能用于工业生产。IREDs不仅对C=N键的还原具有化学选择性,而且还能与烯还原酶(EREDs)在一锅法中联用以还原环状α,β-不饱和亚胺(烯亚胺)的C=C键和C=N键。英国曼彻斯特大学Nicholas J. Turner教授课题组设想如果能发现可以催化这两个步骤的某种IRED,那么就有可能实现α,β-不饱和羰基化合物的CR-RA过程,并获得相应的胺类非对映异构体(图1c)。近日,他们在Nature 杂志报道了这样的一种通过共轭还原和还原胺化进行胺合成的多功能酶EneIRED。这种亚胺还原酶源于某种未分类的假单胞菌(Pseudomonas),具有非同寻常的活性位点结构,可促进胺活化的共轭烯烃还原然后再进行还原胺化。值得一提的是,该酶可以将多种α,β-不饱和羰基与胺偶联,从而高效制备具有多达三个立体中心的手性胺非对映异构体。

图1. 对映体富集胺非对映异构体及其一锅法合成。图片来源:Nature

首先,作者筛选了一系列宏基因组酶IREDs以将环烯亚胺I完全还原为胺II(图1d)。在筛选的389种IREDs中,262种能够有效地催化I的还原,并且大多数只还原C=N键(206种酶,53%),仅有一小部分IREDs能够同时还原C=C键和C=N键(44种酶,11%),还有一些IREDs仅还原C=C键(12 种酶,3%)。最终,作者发现了一种可能源自未分类假单胞菌的酶EneIRED可将I完全转化为II,并将其用于后续研究。接下来,作者考察了EneIRED催化环己烯酮1和烯丙胺a的CR-RA能力(图1e),结果显示反应能以高转化率进行并且主要得到CR-RA产物1'a和CR产物1',同时没有观察到RA产物1a。对缓冲液类型、pH值以及共溶剂进一步优化后,作者发现用1.1 equiv.的烯丙胺能够提高1'a的转化率(61%),特别是使用20 equiv.的烯丙胺a能以69%的分离产率得到相应的盐酸盐。

图2. 底物范围。图片来源:Nature

在最优条件下,作者探索了EneIRED催化的底物范围(图2),结果显示位阻较小的烯醛和烯酮、不同大小的环状烯酮(如1、10、11)甚至2-、3-和4,4'-甲基取代的环烷基-2-烯酮(12-15)均能转化为相应的饱和胺,其中3-取代的底物1215能以高转化率、化学选择性和立体选择性得到相应的CR-RA产物12'b15'b。此外,C3-取代的环己-2-烯酮底物(15-22)也能兼容该反应,并以优异的转化率、化学选择性、对映选择性和(trans)-非对映选择性得到相应的N-取代环己胺(15'b、16'b、18'b20'b)。其次,作者以3-甲基环己烯酮15为底物探索了胺配偶体的底物范围,结果显示线性伯胺(a-c、e-h)甚至仲胺吡咯烷(i)都能以优异的转化率、化学选择性、对映选择性和非对映选择性得到相应的胺产物,特别是15b的反应还能以1.0 mmol 规模进行制备,并以64%的分离产率得到相应的胺产物15'b(110 mg, TTN = 640)。值得一提的是,该反应还可以合成具有额外立体中心的CR-RA产物。例如,(R)-或(S)-3-氟吡咯烷j可以有效地与3-甲基环己烯酮15进行偶联,从而以高化学选择性和非对映选择性合成(cis)-15'j。此外,环丙胺b与外消旋烯酮23的CR-RA表明单一催化剂可以控制环己胺环23'b上的三个立体中心,并实现优异的对映选择性以及良好的化学选择性和非对映选择性。

图3. 机理及结构研究。图片来源:Nature

接下来,作者进行了机理研究以进一步表征EneIRED并确定CR-RA期间形成的中间体。首先,EneIRED仅使用还原的烟酰胺腺嘌呤二核苷酸磷酸(NADPH)(2 equiv.)便能有效地催化15b的CR–RA反应。另外,在没有EneIRED或烟酰胺共底物再生系统的情况下,无法检测到还原产物。其次,使用D-葡萄糖-1-d1原位产生的氘化烟酰胺共底物进行同位素标记实验时,以75%的分离产率得到1,3-d2-15'b盐酸盐,这进一步证实了氢转移发生在不饱和羰基底物的C-1和C-3位(图3a)。需要指出的是,时间进程研究与逐步CR-RA双氢转移机制相一致,其中烯酮15先经历CR得到手性纯的酮中间体(R)-15',后者经RA生成最终产物(1R,3R)-15'b。重要的是,在时间进程中没有观察到直接RA产物15b(一种潜在的替代中间体),这表明反应仅通过酮中间体15'进行。此外,作者还探究了CR步骤中形成的酶-底物复合物。如图3b所示,当反应中无任何胺供体时都不会产生CR或RA产物,这表明IRED催化的反应需要在催化循环中存在胺;当烯酮15与叔胺供体三乙胺k进行反应时未观察到活性,这表明EneIRED催化的CR很可能通过烯-亚胺-NAD(P)H-酶复合物进行。随后,作者对EneIRED的结构特征进行了研究(图3c、3d),并使用AutoDock Vina构建了15b缩合形成的烯-亚胺复合的酶活性位点模型。模型表明最接近共底物吡啶环的C-4原子适合接受氢化物,是C=C键的前手性碳原子。如模型中所示,将氢化物传递到该原子将给出实验中观察到的(R)-构型。另外,作者还创建了EneIRED的点变体以探索酪氨酸残基Y177和Y181在CR-RA中的作用,结果显示两者的点突变均降低了反应的立体选择性(图3e),这表明该位点对于CR和RA步骤中的立体控制至关重要。

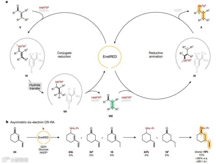
在结构和机理研究的基础上,作者提出了以下双EneIRED催化循环(图4a)。首先,烟酰胺共底物和α,β-不饱和羰基V与胺的缩合产物形成活性位点烯-亚胺-NAD(P)H-EneIRED复合物VI。当底物以动力学上有利的构型(即烯亚胺复合物的C-3位朝向烟酰胺氢化物)进行取向时,通过CR产生立体富集的1-烯胺-NAD(P)+-EneIRED复合物VII。随后,从酶中释放出氧化的共底物和前手性1-烯胺,后者在溶液中水解形成立体富集的羰基化合物VIII。此时,另一个NAD(P)H共底物与酶键合,并与先前释放的羰基化合物VIII和胺的缩合产物一起形成复合物IX,后者经历预期的IRED催化的RA便可产生手性胺产物X

图4. 可能的催化循环及6电子CR-RA。图片来源:Nature

最后,作者使用共轭二烯基酮底物进一步扩展了酶催化CR-RA的适用范围(图4b)。具体而言,EneIRED催化的α,β,γ,δ-不饱和烯酮24与环丙胺b的四电子和六电子CR-RA,分别得到了24'b和(trans)-24″b=16′b(图4b)。有趣的是,六电子CR-RA产物24"b=16'b与相应乙基取代的α,β-不饱和烯酮16的CR-RA 反应具有类似的非对映选择性和对映选择性,这表明24的还原通过类似的途径进行得到16。也就是说,EneIRED可在CR-RA过程中构建额外的立体中心。

总结

Nicholas J. Turner教授课题组报道了一种新型的多功能生物催化剂EneIRED,不仅能够催化CR-RA过程,而且还具有广泛的底物范围,能够从简单的前手性起始材原料出发,一锅法立体选择性地制备有价值的胺类非对映异构体。相信在不久的将来,IRED家族还会有更多的酶活性被发现,以应用于合成生物学和有机合成化学之中。

原文(扫描或长按二维码,识别后直达原文页面):
Multifunctional biocatalyst for conjugate reduction and reductive amination
Thomas W. Thorpe, James R. Marshall, Vanessa Harawa, Rebecca E. Ruscoe, Anibal Cuetos, James D. Finnigan, Antonio Angelastro, Rachel S. Heath, Fabio Parmeggiani, Simon J. Charnock, Roger M. Howard, Rajesh Kumar, David S. B. Daniels, Gideon Grogan, Nicholas J. Turner
Nature2022604, 86–91, DOI: 10.1038/s41586-022-04458-x


【声明】内容源于网络
0
0
X-MOL资讯
“X-MOL资讯”隶属于X-MOL学术平台(官网x-mol.com),关注化学、材料、生命科学、医学等领域的学术进展与科研前沿,提供专业与深度的内容。公众号菜单还提供“期刊浏览”等强大功能,覆盖各领域上万种期刊的新近论文,支持个性化浏览。
内容 19833
粉丝 0
X-MOL资讯 “X-MOL资讯”隶属于X-MOL学术平台(官网x-mol.com),关注化学、材料、生命科学、医学等领域的学术进展与科研前沿,提供专业与深度的内容。公众号菜单还提供“期刊浏览”等强大功能,覆盖各领域上万种期刊的新近论文,支持个性化浏览。
总阅读8.1k
粉丝0
内容19.8k