
由于独特的电子结构和潜在的应用价值,重主族元素多重键化合物愈发受到关注。近年来,众多稳定的同核/异核重主族元素多重键化合物被合成与表征。然而,具备三键特征的重腈化合物RE≡E’ (E = 重14族元素,E’ = 重15族元素)由于其低热力学稳定性和高自聚倾向一直未能被稳定并分离。理论计算表明,随着周期数的上升,重腈化物RE≡E’倾向于发生异构化形成热力学更稳定的重异氰化物RE’=E (图1A)。这两种异构体的相对稳定性在很大程度上取决于取代基的电正性。目前,重腈化物RE≡E’的稳定还有赖于路易斯碱的参与 (图1B)。

图1. (A) 重腈和异氰化物,(B) 路易斯碱稳定的重腈化物
近日,苏州大学谭庚文课题组与厦门大学朱军课题组合作,利用大空间位阻的配合物MsFluindtBu-GeCl,在过量PMe3存在的情况下分别与NaPCO(dioxane)2.5和NaAsCO(18-c-6)反应,合成了三甲基膦稳定的锗膦类腈化合物2和锗砷类腈化合物3 (图2A)。其中,2的Ge1–P1键长为2.242(2) Å,3的Ge1–As1键长为2.3247(10) Å。由于存在pπ−pπ相互作用,Ge–E’键 (E’ = P, As) 之间具备多重键特征 (图2B)。主相互作用轨道 (PIO) 分析结果也佐证了相应结论。

图2. (A) 2和3的合成,(B) 2和3的晶体结构
研究发现,这类化合物与炔烃反应呈现出丰富的反应特性。2分别与三甲基硅乙炔、4-叔丁基苯基乙炔在80 ℃下反应12 h,合成了两例锗膦六元杂环化合物4和5 (图3A)。作者认为其反应机理经历三甲基膦解离,重腈化物异构为重异氰化物,之后发生[2+2+2]环加成反应形成最终产物。产物4和5的P1–C1键长为1.804(2) Å和1.827(4) Å,符合单键特征,说明膦与配体直接相连。Ge1–P1键长分别为2.2353(10) Å和2.2358(14) Å,符合双键特征,且六元环内C–C键长介于单、双键之间,表明该六元杂环 (PGeC4) 可能具备芳香性 (图3B)。核独立化学位移 (NICS) 计算结果表明,NICS(1)zz的值分别为4: –22.0 ppm, 5: –22.3 ppm,因而这两种化合物均具备芳香性。这一结论也进一步通过磁感应电流图验证 (图3C)。

图3. (A) 4和5的合成,(B) 4和5的晶体结构,(C) 4和5的ACID图
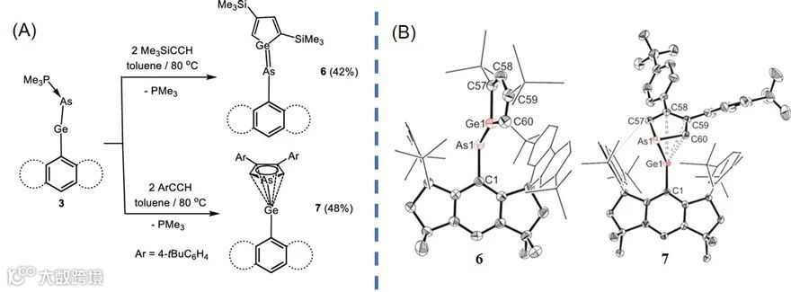
与2不同的是,3与三甲基硅基乙炔和4-叔丁基苯基乙炔反应分别形成砷锗烯6和锗卡宾7。反应过程中经过三甲基膦解离形成重腈中间体,再在砷原子上与两分子4-叔丁基苯基乙炔发生[2+2+1]环加成反应形成7。由于三甲基硅基的给电子能力强于4-叔丁基苯基,使得三甲基硅基乙炔具有更高的还原电位;因此,重腈需要异构化为重异氰,才能在锗原子与三甲基硅乙炔通过[2+2+1]环加成反应形成6 (图4A)。6的Ge1–As1键长为2.2430(5) Å,具备典型的双键特征;7的Ge1–As1键长为2.5306(4) Å,符合单键特征 (图4B)。

图4. (A) 6和7的合成,(B) 6和7的晶体结构
作者通过三甲基膦稳定的重腈化物2和3与炔烃的反应,首次证实了反应中重腈化物异构化为重异氰化物的过程。相关杂环化合物4-7的分离也说明2、3在合成杂环化合物方面具有一定价值。该工作近期发表在J. Am. Chem. Soc.上,通讯作者为苏州大学谭庚文教授和厦门大学朱军教授,第一作者为苏州大学硕士研究生何雨豪和厦门大学博士研究生戴晨舒。该研究得到了自然科学基金委以及姑苏青年领军人才项目的资助。
Phosphine-Stabilized Germylidenylpnictinidenes as Synthetic Equivalents of Heavier Nitrile and Isocyanide in Cycloaddition Reactions with Alkynes
Yuhao He, Chenshu Dai, Dongmin Wang, Jun Zhu*, and Gengwen Tan*
J. Am. Chem. Soc., 2022, 144, 5126–5135, DOI: 10.1021/jacs.2c00305
https://www.x-mol.com/university/faculty/130148
https://www.x-mol.com/university/faculty/65935


点击“阅读原文”,查看 化学 • 材料 领域所有收录期刊
