搜索
首页
大数快讯
大数活动
服务超市
文章专题
出海平台
流量密码
出海蓝图
产业赛道
物流仓储
跨境支付
选品策略
实操手册
报告
跨企查
百科
导航
知识体系
工具箱
更多
找货源
跨境招聘
DeepSeek
首页
>
【有机】不对称合成的新模式:脂肪酶的非天然催化活性与有机电合成的结合
>
0
0
【有机】不对称合成的新模式:脂肪酶的非天然催化活性与有机电合成的结合
X-MOL资讯
2022-06-27
4
导读:西南大学的官智教授、何延红教授和南宁师范大学的黄初升教授合作报道了一种结合脂肪酶的非天然催化活性和有机电合成的不对称催化反应,实现了2-取代吲哚化合物与简单脂肪酮的不对称氧化交叉偶联反应
酶作为生物催化剂在现代有机合成中扮演着非常重要的角色。酶促进的化学转化通常具有专一性,即一种酶只能催化一个或者一类化学反应。然而,近年来,一些酶被发现具有非天然的催化活性 (Enzyme promiscuity),即一种酶可以催化除“天然”反应外的其他化学变化。这极大地拓展了酶催化有机反应的范围。
有机电合成作为一种绿色高效的合成方法,近年来取得了显著的进展,然而不对称电合成仍然较少。由电氧化或还原产生的自由基或其他中间体的高反应性以及手性催化剂对于电化学条件的有限的相容性是不对称电合成面临的一个主要挑战。
酶促电合成 (Enzymatic electrosynthesis) 结合了酶催化和电化学技术,通过酶和电极之间直接或间接的电子转移过程催化氧化还原反应,从而获得所需产物。由于酶的高特异性,酶促电合成通常具有较高的选择性和产率,是一种高效、绿色和清洁的新型合成技术。然而,这种策略很大程度上局限于氧化还原酶的使用,并且主要依赖酶固有的天然活性,使反应类型、底物范围和产物的复杂性比较局限。此外,这种方法通常需要昂贵的辅助因子,而很多情况下辅助因子的再生效率并不高。
图1. 研究背景和本研究的策略。图片来源:
Angew. Chem. Int. Ed.
近日,
西南大学
的
官智
教授、
何延红
教授和
南宁
师范大学
的
黄初升
教授合作报道了一种
结合脂肪酶的非天然催化活性和有机电合成的不对称催化反应,实现了2-取代吲哚化合物与简单脂肪酮的不对称氧化交叉偶联反应
(产率达78%,e.r.达96:4,d.r. > 20:1)。
电化学反应通常可以在温和的室温条件下进行,并且可通过调节电压来控制氧化还原反应的发生,这就为电合成与酶催化的兼容提供了可能。为了验证这个设想,作者以2-苯基吲哚(
1a
)和丙酮(
2a
)作为模板底物进行考察。结果显示,在电化学条件下,
1a
在阳极通过介质4-乙酰氨基-2,2,6,6-四甲基哌啶-
N
-氧化物 (ACT) 间接氧化,得到关键中间体2-苯基吲哚-3-酮(
VI-a
),接着在体系中小麦胚芽脂肪酶的催化下,
VI-a
与
2a
发生不对称烷基化反应,直接合成了具有立体季碳中心的2,2-二取代-3-羰基吲哚(
3a
)。在最优条件下,模板反应的收率达到了62%,e.r.为94:6。
随后,作者进行了底物扩展。吲哚2-、5-和6-位上取代基的种类、电性及数目的变化对反应影响都不大,能以24–74%的收率和56:44–96:4的e.r.得到目标产物(
3a–3x
)。各种链状脂肪酮、环酮、杂环酮也适用于该反应(
3y–3ah
, 收率31–78%,e.r. 60:40–94:6,d.r. 2:1–20:1)。取代基改变的吲哚底物与丁酮反应,也能获得不错的收率和立体选择性(
3ai
和
3aj
, 收率65–67%,e.r. 79:21–87:13,d.r. 5:1–20:1)。这些结果证明了该反应具有良好的官能团兼容性。
图2. 底物范围。图片来源:
Angew. Chem. Int. Ed.
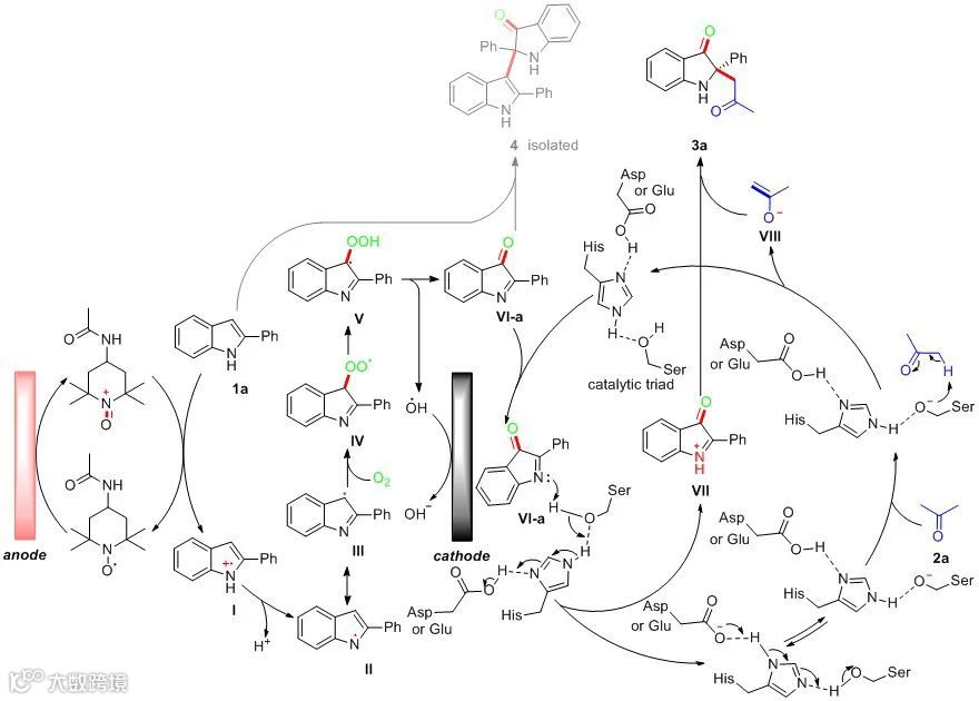
接着,研究人员通过一系列的控制实验和机理研究,证明了涉及自由基的电化学氧化过程以及脂肪酶的不对称催化机制。
图3. 提出的机理。图片来源:
Angew. Chem. Int. Ed.
该项工作第一次将脂肪酶的非天然催化活性与有机电合成相结合用于不对称催化。反应在有机溶剂中进行,并通过在体系中加入氧化还原介质ACT降低了反应电位,进一步调节了反应的相容性。该策略证明了水解酶的非天然催化活性能够与有机电合成兼容,为除氧化还原酶之外更多种类的酶与有机电合成相结合用于不对称催化提供了借鉴。
这一成果近期发表在
Angewandte Chemie International Edition
上,文章的第一作者是西南大学博士研究生
龙超久
。西南大学
官智
教授、
何延红
教授和南宁师范大学
黄初升
教授为通讯作者。该研究工作得到国家自然科学基金(批准号:21977084, 22078268)和
重庆
市研究生科研创新项目的资助(批准号:CYB20090)。
原文(扫描或长按二维码,识别后直达原文页面):
Merging the Non-Natural Catalytic Activity of Lipase and Electrosynthesis: Asymmetric Oxidative Cross-Coupling of Secondary Amines with Ket
ones
Chao-Jiu Long, Huan Cao, Ben-Kun Zhao, Yu-Fang Tan, Yan-Hong He, Chu-Sheng Huang, and Zhi Guan
Angew. Chem. Int. Ed
.,
2022
, DOI: 10.1002/anie.202203666
导师介绍
官智
https://www.x-mol.com/university/faculty/13981
何延红
https://www.x-mol.com/university/faculty/13984
黄初升
https://www.x-mol.com/university/faculty/19645
【声明】内容源于网络
0
0
X-MOL资讯
“X-MOL资讯”隶属于X-MOL学术平台(官网x-mol.com),关注化学、材料、生命科学、医学等领域的学术进展与科研前沿,提供专业与深度的内容。公众号菜单还提供“期刊浏览”等强大功能,覆盖各领域上万种期刊的新近论文,支持个性化浏览。
内容
19832
粉丝
0
关注
在线咨询
X-MOL资讯
“X-MOL资讯”隶属于X-MOL学术平台(官网x-mol.com),关注化学、材料、生命科学、医学等领域的学术进展与科研前沿,提供专业与深度的内容。公众号菜单还提供“期刊浏览”等强大功能,覆盖各领域上万种期刊的新近论文,支持个性化浏览。
总阅读
15.7k
粉丝
0
内容
19.8k
在线咨询
关注