英文原题:A Water-Resistant Hydrogen-Bonded Organic Framework for Ethane/Ethylene Separation in Humid Environments
通讯作者:王浩,深圳职业技术学院霍夫曼先进材料研究院;王永飞,辽宁科技大学;李静,罗格斯大学
作者:Jiaqi Liu(刘佳奇), Jiafeng Miao(苗佳丰), Saif Ullah, Kang Zhou(周康), Liang Yu(余良), Hao Wang(王浩), Yongfei Wang(王永飞), Timo Thonhauser ,Jing Li(李静)
背景介绍
乙烯(C2H4)作为石油工业中最重要的原材料之一,在制造各种聚合物和其他有机化学品方面有着广泛的用途。乙烯通常通过乙烷(C2H6)蒸汽裂解的方法生产,产品气中未反应的乙烷(含量约为5-9%)需要进一步纯化以获得聚合级乙烯(≥ 99.95%)。然而,由于C2H6/C2H4的物理和化学性质相似,C2H6/C2H4混合物的分离目前主要是通过使用大量塔板的低温精馏来实现的,能耗很高。为此,开发具有更高效的新型分离技术势在必行。在各种技术中,吸附分离技术凭借其能耗低,操作简单,自动化程度高等优点具有非常大的应用前景,其中高选择性吸附剂是实现高效分离的关键。HOFs材料是由有机分子通过分子间氢键相互作用自组装而成的,由于其不含金属,能够形成非极性的孔道结构,被认为具有分离C2H6/C2H4的巨大潜力。然而,氢键较弱的相互作用通常会导致HOFs的不稳定,其中许多结构会在脱溶剂时崩塌。因此,获得具有永久孔隙的稳定HOFs非常具有挑战性,迄今为止,只有少数具有C2H6选择性HOFs吸附剂被报道。
文章亮点
近日,深圳职业技术学院王浩、辽宁科技大学王永飞等人联合美国罗格斯大学李静开发出了一种新型氢键有机框架材料HIAM-102。该材料可以通过将1,3,5-三[4-(羧苯基)氧甲基]-2,4,6-三甲苯(H3TBTC)在热乙酸的饱和溶液中重结晶而合成(图1a)。HIAM-102具有hcb 的拓扑结构,其中每个有机结构单元通过羧基形成的氢键与三个相邻单元相连,并通过相邻苯环的层间π·π堆积作用形成了一维(1D)的开放通道(图1b)。H3TBTC苯环上的甲基进一步地将该一维孔道划分为多个口袋行孔腔相连的形状,其孔道直径为∼4.6Å,接近C2H6的动力学直径(图1c)。
图1. HIAM-102的组成单元及孔道结构
合成的HIAM-102具有良好的热稳定性,在120°C下加热活化脱除溶剂后结构保持完好(图2a)。为了验证HIAM-102的化学稳定性,将其浸泡在几种有机溶剂(乙腈、乙醇、二氯甲烷和丙酮)、酸性(pH=1)和碱性(pH=12)的水溶液中三天,XRD结果表明HIAM-102能够在这些溶液中保持完整(图2c)。值得注意的是,HIAM-102还具有优异的水稳定性,将样品在水中浸泡3周后,XRD并未发生变化(图2d)。
图 2. HIAM-102的稳定性研究
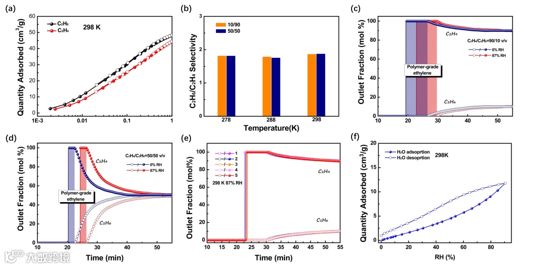
研究者对C2H6/C2H4在HIAM-102上的吸附进行了深入研究。研究表明,在1 bar和298 K的条件下,乙烷的吸附量为48.25 cm3/g,高于相同条件下的C2H4(44.39 cm3/g),IAST选择性达到了1.9,表现出了明显的乙烷选择性吸附(图2a-b)。得益于孔道内部丰富的甲基,该材料表现出了极强的疏水特性,如图所示,在接近饱和蒸汽压的条件下,水蒸气吸附仅有11.7 cm3/g,这使得该材料有望在潮湿环境下的实现乙烯提纯(图2f)。
图 3. 乙烷乙烯气体在HIAM-102上的吸附分离
为了进一步地评估HIAM-102的气体分离性能,该团队在在HIAM-102上进行了一系列的C2H6/C2H4混合气体动态穿透实验(图3c-e)。如图3c所示,采用接近于实际工况的10/90混合气体的原料气,可直接在吸附柱的出口以5.3 L/kg的速度获得99.99%以上的高纯度乙烯。在实际应用中,水蒸汽是原料气中不可避免的成分。大多数已报道的多孔吸附剂,包括沸石、MOFs和HOFs,要么在结构上对水敏感,要么容易吸附水,因此在潮湿条件下,它们的分离能力将大大降低。在为了模拟实际过程中的潮湿环境,该工作采用了54%和87%相对湿度(RH)的原料气,在这两种条件下,混合气体同样可以很好地分离。与干燥条件下的结果相比,在87%相对湿度下,保留时间和乙烯产率没有显著损失。值得注意的是,这是首次在如此极端潮湿的环境中实现C2H6/C2H4分离。得益于较低的吸附热,HIAM-102可以通过333 K下的氦气吹扫1小时以恢复其分离能力,并且在87%RH下连续五次穿透循环(图3e)后吸附分离能力没有损失,表明该吸附剂具有很高的可循环使用性。
总结/展望
研究者利用氢键相互作用合成了一种具有hcb拓扑结构的HIAM-102的多孔材料。该材料具有∼4.6Å的孔道尺寸与乙烷分子非常吻合,达到了良好的乙烷/乙烯分离效果,且具有极强的疏水性。该材料合成简单,稳定性好,具有较大的工业应用前景。
扫描二维码阅读英文原文
ACS Materials Lett. 2022, 4, XXX, 1227–1232
Publication Date: May 23, 2022
https://doi.org/10.1021/acsmaterialslett.2c00370
Copyright © 2022 American Chemical Society

