鲍曼不动杆菌可导致急性肺炎、脑膜炎、败血症等严重疾病,其耐药率逐年上升,已引起临床医生和微生物学者的严重关注。2017年,世界卫生组织发布了迫切需要新型抗生素的细菌清单,耐碳青霉烯类的鲍曼不动杆菌位列最高迫切等级“极为重要”的第一位,这足以说明鲍曼不动杆菌对人类健康构成的重大威胁。目前,临床治疗鲍曼不动杆菌感染的主要方法是抗生素治疗或联合用药治疗。但随着抗生素的使用,多重广泛耐药型鲍曼不动杆菌会更加在世界范围内传播,导致对鲍曼不动杆菌感染的治疗愈发困难。上述这些问题使抗鲍曼不动杆菌药物研究显得迫在眉睫。
细菌细胞壁多糖类成分如脂多糖(LPS)或荚膜多糖(CPS)是发展糖类抗菌药物、疫苗或诊断剂的源头。利用化学合成手段制备这些糖链,可获得结构明确、均一的糖分子,再通过免疫学研究可以明确糖-免疫活性间的关系,从而为抗菌糖类疫苗的研究提供依据。鲍曼不动杆菌LPS内核心区域具有高度的结构特异性,使其成为开发抗鲍曼不动杆菌药物或疫苗的重要潜在靶点。近日,四川大学杨劲松教授和江南大学尹健教授合作,完成了来自鲍曼不动杆菌ATCC 17904菌株LPS内核心的四种寡糖片段的首次合成和抗原性评价。
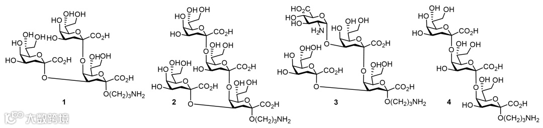
目标寡糖富含Kdo糖残基,其合成极具挑战性:1)Kdo糖苷键的立体选择性构建是糖合成中的难点;2)寡糖1-3具有4,5-二取代结构,C4和C5位取代的Kdo糖残基所施加的空间位阻,使这类分支糖的组装非常困难。作者依赖于前期发展的两类优势Kdo糖基供体:5,7-O-二叔丁基亚甲硅基(DTBS)保护的Kdo乙硫苷供体7(Yang, J.-S., et al, Angew. Chem. Int. Ed. 2015, 54, 10894)和5-O-苯甲酰基(Bz)保护的Kdo乙硫苷供体8a,b(Yang, J.-S., et al, J. Am. Chem. Soc. 2018, 140, 3574),建立了一种发散性策略实现了目标寡糖的合成。首先在三(4-溴苯基)六氯锑酸铵(TBPA)活化下,将Kdo供体7和8b分别与Kdo单糖受体9糖苷化连接生成二糖5和6。二糖5的C4、C5’/7’和C8’位以及6的C4和C4’位的保护基具有正交性,能够被选择性脱除,从而裸露某一位置的羟基以实现糖链的延长。合成过程中,供体7和8a,b所参与的糖苷化反应能立体专一地生成α-构型的Kdo糖苷产物,而收率取决于受体结构的复杂程度;另外,对于4,5-二取代的Kdo结构,作者采取了先2→5连接再2→4连接的次序,顺利实现分支糖骨架的组装。
随后,作者利用糖芯片技术检测了合成的寡糖与鲍曼不动杆菌感染患者血清抗体的相互作用。结果表明,4,5-分支的Kdo三聚糖1与患者血清IgG抗体的结合能力最强,很可能是鲍曼不动杆菌LPS的关键抗原表位,具有用于开发诊断剂和抗菌疫苗的潜力。
论文信息
Chemical Synthesis and Antigenic Evaluation of Inner Core Oligosaccharides from Acinetobacter baumannii Lipopolysaccharide
Xian-Yang Zhou, Ling-Xin Li, Zhen Zhang, Shi-Chao Duan, Ying-Wen Huang, Yi-Yang Luo, Xiao-Dong Mu, Zhi-Wei Chen, Yong Qin, Jing Hu, Jian Yin, Jin-Song Yang
Angewandte Chemie International Edition
DOI: 10.1002/anie.202204420
点击左下角 “ 阅读原文 ” ,可直达阅读该论文原文。
Angewandte Chemie International Edition
《德国应用化学》(Angewandte Chemie)创刊于1888年,是德国化学学会(GDCh)的官方期刊并由Wiley–VCH出版。作为化学领域的权威期刊,《德国应用化学》涵盖了化学研究的各个领域,刊发包括新闻、综述、观点、通讯、研究论文等在内的各种内容。
更多精选文章
Chem. Eur. J. :依靠介导电子转移的固定半乳糖氧化酶的生物技术应用

