搜索
首页
大数快讯
大数活动
服务超市
文章专题
出海平台
流量密码
出海蓝图
产业赛道
物流仓储
跨境支付
选品策略
实操手册
报告
跨企查
百科
导航
知识体系
工具箱
更多
找货源
跨境招聘
DeepSeek
首页
>
【分析】近红外探针用于Aβ蛋白聚集体的特异性成像和光氧化调控
>
0
0
【分析】近红外探针用于Aβ蛋白聚集体的特异性成像和光氧化调控
X-MOL资讯
2022-11-28
2
导读:华南理工大学张雷、颜金武团队和南开大学肖乐辉团队,开发了一系列可用于特异性成像以及光氧化调控Aβ聚集的近红外光敏剂。
阿尔兹海默病(AD)是最主要的神经退行性疾病之一,发病的过程伴随着记忆力衰退、认知功能障碍和身体机能恶化等。据世界卫生组织最新数据显示,2019年患痴呆的人数估计为5500万人,预计2050年将增至1.39亿。令人遗憾的是,目前没有可以有效治疗或预防AD的药物。
蛋白质的异常折叠与很多疾病相关,比如多种神经退行性疾病。
β淀粉样蛋白
(Aβ)是AD的主要病理标志物之一,这是由Aβ单体不正确聚集诱导形成的具有神经毒性的聚集体。目前,基于Aβ蛋白为靶点的治疗AD的策略主要集中在干扰Aβ的异常组装形成聚集体或者是分解已形成的原纤维。通过开发具有特异性的光氧化分子,产生单线态氧来光氧化Aβ,降低Aβ带来的神经毒性,是一种新兴的AD治疗策略。目前文献研究报道的光敏剂大多由于激发光源过短,难以穿透深层组织,或存在脱靶行为,使正常组织或细胞出现脱靶性损伤。近日,
华南理工大学张雷、颜金武
团队和
南开大学肖乐辉
团队,开发了
一系列可用于特异性成像以及光氧化调控Aβ聚集的近红外光敏剂
。
该团队设计了一系列D-π-A光敏剂(QM20-QM22),以喹啉鎓骨架为电子受体,并采用靶向传感催化剂活化(TaSCAc)的策略,引入具有Aβ聚集靶向性的二甲基苯胺基团作为电子供体,以减少光敏剂的脱靶行为。当光敏剂分子结合靶标之前,扭曲分子内电荷转移(TICT)过程的快速非辐射衰变为主要
能量
耗散过程,光敏剂产生弱发射和低的单线态氧(
1
O
2
)。当光敏剂与Aβ聚集体的特异性结合之后,TICT过程导致的非辐射跃迁减弱,使得荧光发射以及单线态氧的产生增加,从而实现对Aβ聚集体的特异性成像与光氧化。
图1. (a) 光敏剂QM20-QM22的化学结构。(b) 获得的 QM20-QM22 的紫外-可见吸收光谱。(c) 获得的QM20-QM22荧光光谱。(d) 光敏剂与Aβ结合的荧光增强比。(e-g) 仅针对 QM20-QM22 以及与 Aβ 聚集体、低聚物、单体、BSA 和 HSA 结合时获得的荧光发射光谱。图片来源:
Anal. Chem.
图2. (a) 在皮层区域的APP/PSI小鼠脑切片用Th-S(2 μM)和QM20-QM22 (2 μM)共标记的Aβ原纤维的共聚焦光学显微镜图像。比例尺:250 μm。(b) 与ThT和光敏剂QM20-QM22共标记的Aβ原纤维的荧光图像。比例尺:5 μm。图片来源:
Anal. Chem.
实验结果表明,QM20-QM22对Aβ聚集体均有特异性的荧光开启响应,其中QM21尤为突出。另外,在体外的APP/PS1小鼠脑皮质切片和溶液状态的Aβ成像中都可以和商业染料Thio-S或ThT很好的共定位效果。这些实验表明QM20-QM22具有较高的选择性,在Aβ聚集体成像中具有一定的应用前景。
图3. QM20-QM22的生成
1
O
2
的能力评价。(a-d) 计算的能量差 (Δ
E
st
) 和ωB97X-D/Def2svp理论水平上单重态和三重态之间的自旋-轨道耦合 (SOC) 值,以及S1和T2主跃迁轨道的分布。(e-g) 在不同条件下(QM + Aβ + Laser, QM + Aβ + Dark, QM + Laser, QM + Dark, laser = 532 nm) 下观测到的 QM20-QM22 下 SOSG 的荧光强度。(h) 在 QM20-QM22 中观察到的有/没有 Aβ 的 SOSG 的荧光强度。(i-k) 使用MTT测定SH-SY5Y细胞的细胞活力测定。图片来源:
Anal. Chem.
单线态氧是光氧化Aβ的重要分子。该文章通过理论计算和实验的方法来阐明和验证QM20-QM22的单线态氧的生成。低的单重态-三重态能隙(Δ
E
st
)和大的自旋-轨道耦合(SOC)有利于单线态氧的产率。在QM20-QM22这三个光敏剂的Δ
E
st
分别低至0.1879 eV、0.1586 eV 和 0.1604 eV,SOC分别是0.2074 c
m
–1
、0.1640 c
m
–1
和0.1237 c
m
–1
. 实验数据也支持理论计算结果,QM20-QM22都有较好产生单线态氧的能力。此外,在神经细胞活力测试也表现出了低毒性。
图4. 通过QM21的光氧合抑制Aβ聚集。(a-b)使用荧光共聚焦显微镜监测加入QM21后在0-24小时之间在有/没有激光照射(532nm)的特定
时间
点的Aβ的状态。(c)在黑暗条件下用QM21染色0-24小时的Aβ蛋白的相应
长度
。(d)加入QM21后用激光照射(523nm)从0-24小时的 Aβ蛋白的相应长度。(e)加入QM21激光照射后用MALDI-TOF-MS分析Aβ蛋白的分子
质量
变化。图片来源:
Anal. Chem.
图5. 通过QM21的光氧合降解Aβ聚集体。(a-b)加入QM21使用共聚焦显微镜监测在有/没有激光照射 (532 nm)的情况下,0 -3/20 小时之间的特定时间点的 Aβ 聚集体的状态。(c)加入QM21在0至24小时的黑暗条件下,Aβ聚集体的相应长度。(d)加入QM21和激光照射(523nm)的Aβ聚集体0-3小时的相应长度。图片来源:
Anal. Chem.
考虑到QM21的近红外的发射波长以及高的单线态氧的产生能力,作者进行了QM21光氧化Aβ蛋白活性的评价。将Aβ单体与QM21孵育后,发现在黑暗情况下,Aβ单体会进一步聚集成纤维状,而光照组的单体没有明显的聚集,说明QM21可以光触发抑制Aβ的聚集。另外,在光照条件下,QM21也显示出解聚Aβ聚集体的能力。通过MALDI-TOF-MS分析分子光照组的Aβ蛋白发现,分子质量有规律性增加16、32和48Da,表明是Aβ蛋白中的部分氨基酸残基被光氧化了。综合上述结果,说明QM21在光触发下特异性抑制Aβ聚集和解聚Aβ聚集体。
图6. (a) 在黑暗和明亮照射条件下用QM21处理后细胞对FAM-Aβ的摄取。比例尺:50 μm。(b) (a)中Aβ的相应荧光强度。图片来源:
Anal. Chem.
Aβ的清除取决于各种免疫机制和肽酶的降解。文章进一步研究了被光氧化的Aβ是否可以促进BV2细胞的摄取与消化。图6显示,在只有当加入QM21和光照时,细胞内才出现比较明显的绿色的Aβ的荧光,表明,被QM21光氧化的Aβ更容易被BV2细胞进行摄取,进而增加Aβ的清除。
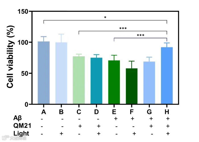
图7. QM21诱导的Aβ聚集体光氧合对PC12细胞活力的影响(QM21,5 μM,Aβ,20 μM,光照时间为1小时,孵育24小时,n = 6,平均±标准偏差,*p<0.1,**p<0.01,***p<0.001通过t-test)。图片来源:
Anal. Chem.
基于以上研究结果,作者进一步研究了QM21光氧化对PC12细胞活力的影响。图7显示了Aβ聚集体对PC12细胞(E组和F组)具有较大的细胞毒性。与E组相比,添加QM21且未进行光照射的G组表现出可忽略的干扰。值得注意的是,光照下的H组的PC12细胞的活力远高于E组和F组,表明QM21对Aβ聚集体的光氧化可以降低其神经毒性。
在QM20-QM22三个光敏剂在激光光照下产生单线态氧,表现出优异的定位、降解Aβ聚集体和抑制Aβ聚集的能力。其中,光敏剂QM21是表现出了最优异的成像和调控Aβ聚集过程的能力,它在结合蛋白后荧光量子产率增加了95倍,并且伴随着单线态氧生成的增强。另外,这一系列光敏剂可以通过光氧化Aβ蛋白来促进小胶质细胞对Aβ的吞噬功能,减弱Aβ引起的神经细胞毒性。光敏剂QM21的优异性能使在AD的诊疗基础研究领域具有较好的应用前景。
这一成果最近发表在
Analytical Chemistry
上,文章的通讯作者为华南理工大学
颜金武
副教授和南开大学
肖乐辉
教授,文章的第一作者为华南理工大学硕士研究生
杨金荣
和南开大学博士研究生
王鑫
。
原文(扫描或长按二维码,识别后直达原文页面):
Near-Infrared Photooxygenation Theranostics Used for the Spe
cif
ic Mapping and Modulating of Amyloid-β Aggregation
Jinrong Yang, Xin Wang, Jinsheng Liu, Weijie Chi, Lei Zhang, Lehui Xiao*, and Jin-wu Yan*
Anal. Chem
.,
2022
,
94
, 15902–15907, DOI: 10.1021/acs.analchem.2c04042
点击“
阅读原文
”,查看
化学 • 材料
领域
所有收录期刊
【声明】内容源于网络
0
0
X-MOL资讯
“X-MOL资讯”隶属于X-MOL学术平台(官网x-mol.com),关注化学、材料、生命科学、医学等领域的学术进展与科研前沿,提供专业与深度的内容。公众号菜单还提供“期刊浏览”等强大功能,覆盖各领域上万种期刊的新近论文,支持个性化浏览。
内容
19833
粉丝
0
关注
在线咨询
X-MOL资讯
“X-MOL资讯”隶属于X-MOL学术平台(官网x-mol.com),关注化学、材料、生命科学、医学等领域的学术进展与科研前沿,提供专业与深度的内容。公众号菜单还提供“期刊浏览”等强大功能,覆盖各领域上万种期刊的新近论文,支持个性化浏览。
总阅读
1.6k
粉丝
0
内容
19.8k
在线咨询
关注