
石松科生物碱是一组结构相关的化合物,通常包含由16个碳组成的骨架,并且大都含有十氢喹啉环系。由于具有潜在治疗阿尔兹海默症和帕金森综合症的生理活性,其合成研究一直备受化学家们的青睐。近期,兰州大学厍学功课题组在国际知名期刊Angew. Chem. Int. Ed.上报道了五个石松科生物碱的不对称全合成,厍学功教授为通讯作者,博士研究生贺菲菲为第一作者,该工作得到了国家自然科学基金的资助。在该项研究中,作者应用金催化环异构化反应构筑了重要的三环骨架,后续通过钯催化的环化、Mukaiyama水合和碎裂化等反应完成了(+)-Fawcettimine、(+)-Fawcettidine、(+)-Lycoposerramine Q、(-)-Phlegmariurine B、(-)-Lycoposerramine R的不对称全合成,其中(-)-Phlegmariurine B为首次全合成。该合成策略有望应用于石松科生物碱家族中其它分子的全合成中。

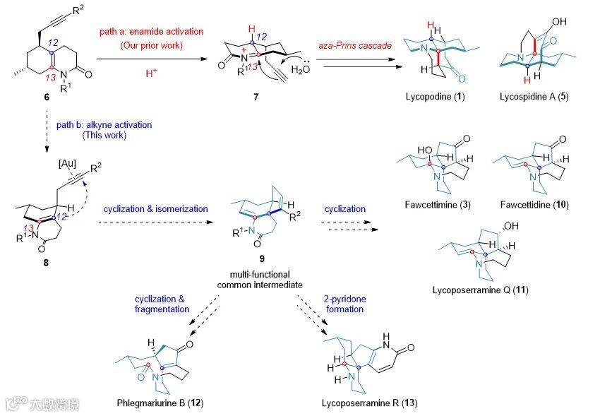
图1. 通过不同位点的环化反应完成多样性石松科生物碱的全合成
如图1所示,2016年,作者从氢化喹啉衍生物6出发,通过关键的aza-Prins环化反应完成了Lycopodine (1) (Org. Lett. 2016, 18, 4328-4331)和Lycospidine A (5)(Org. Lett. 2016, 18, 4682-4685)的不对称全合成。基于此前对于金催化反应的方法学研究,他们希望能够从氢化喹啉衍生物6出发,通过金催化的环异构化反应得到5-endo-dig 环化的三环骨架9。在对催化剂、温度、溶剂进行筛选后,作者确定了反应的最优条件,并在该条件下对底物范围进行了拓展以便应用于多样化的天然产物的合成中(图2)。当氮连有甲基(9b)或者苄基(9c)时该反应都能够顺利发生,当含有末端双键(9d和9e)时,双键也不会影响反应,只有当含有羟基时(9f),产率有明显的降低,这是由于反应过程中产生的亚胺离子中间体被羟基捕获。此外,当在炔的末端引入溴(9g)和延长炔链(9h)时,反应都能发生,9g和9h也可以应用于后续天然产物的合成中。

在得到了金催化环异构化的[6-6-5]三环骨架后,作者开始完成多样化天然产物的全合成研究。如图3所示,作者从三环骨架9g出发,通过钯催化的7-endo-trig的环化反应得到四环骨架14,随后在硼烷作用下一步得到了双键硼氢化氧化和酰胺还原的产物(+)-Lycoposerramine Q (11),接着经过Ley氧化完成了天然产物(+)-Fawcettidine (10) 的全合成。通过控制硼烷的当量,可以得到只发生硼氢化氧化的产物15,为了实现C13位羟基的引入,作者通过大量条件筛选,仅得到了C13位差向异构的中间体20,但是在后续还原酰胺的过程中作者成功的翻转了该羟基的手性,完成了(+)-Fawcettimine (3) 的不对称全合成。

图3. Lycoposerramine Q (11),Fawcettidine (10) 和Fawcettimine (3) 的全合成
如图4所示,作者设想是否可以从C13差向异构的中间体17出发通过碎裂化完成天然产物Phlegmariurine B (12) 的全合成。带着这样的设想,他们在化合物14的C4位引入离去基团得到立体专一的化合物23,并通过DMP氧化得到碎裂化前体24。随后在Mukaiyama水合反应的条件下一步完成了羟基的构筑和Grob碎裂化反应得到了大环中间体26,最后通过选择性的还原酰胺完成了天然产物(-)-Phlegmariurine B (12) 的首次全合成。

图4. Phlegmariurine B (12) 的全合成
如图5所示,从另一个金催化的产物9h出发,选择性的还原烯胺的双键并对中间体27进行烯丙位氧化得到化合物28,后在Fukuyama的条件下完成吡啶酮环的构筑,接着在硼烷作用下还原酰胺完成了天然产物(-)-Lycoposerramine R (13) 的不对称全合成。

图5. Lycoposerramine R (13) 的全合成
综上,厍学功课题组从氢化喹啉衍生物6出发,以金催化环异构化反应为关键反应并结合后续的不同转化高效地完成了五种石松科生物碱的全合成。所有分子的合成在十步以内均可完成,整个工作简洁高效,同时该策略有望应用于石松科生物碱家族中其它分子的全合成中。
Collective Total Syntheses of Five Lycopodium Alkaloids
Feifei He, Shangbiao Feng, Yulong Zhao, Hongliang Shi, Xiaoguang Duan, Huilin Li, Xingang Xie, Xuegong She
Angew. Chem. Int. Ed., 2022, DOI: 10.1002/anie.202205439
https://www.x-mol.com/university/faculty/11189


点击“阅读原文”,查看 化学 • 材料 领域所有收录期刊
