大数跨境
0
0

祝介平团队Angew:有机小分子催化α-羰基酸酯不对称Pictet–Spengler反应及(+)-Alstratine A全合成

祝介平团队Angew:有机小分子催化α-羰基酸酯不对称Pictet–Spengler反应及(+)-Alstratine A全合成 X-MOL资讯
2022-12-06
1
导读:瑞士洛桑联邦理工学院(EPFL)祝介平(Jieping Zhu)教授课题组报道了有机小分子催化α-羰基酸酯的不对称Pictet–Spengler反应,并将其应用于具有六元笼状结构的吲哚碱alstrat


1,1-二取代的四氢-β-咔啉(THBC)不仅是生物活性天然产物中一种常见的结构单元,如alstratine A, taberdivamines A, B, tabertinggine, arbornamine以及voacafricines A, B(图1a),它同时也是药物化学中的重要骨架。理论上,这些天然产物的核心骨架四氢-β-咔啉THBC 2都可以通过色胺与α-羰基酸酯的Pictet–Spengler反应(PSR)构建。尽管非对映选择性的PSR反应早已用于手性化合物2的合成,但是催化不对称合成研究直到最近才被报道。Nakamura、厍学功课题组独立实现了手性磷酸催化的色胺与脂肪α-羰基酸酯的不对称Pictet–Spengler反应(图1b)。然而,相较于醛的研究,酮参与的不对称Pictet–Spengler反应研究仍不充分。基于上述背景,瑞士洛桑联邦理工学院(EPFL)祝介平(Jieping Zhu)教授课题组报道了有机小分子催化α-羰基酸酯的不对称Pictet–Spengler反应,并将其应用于具有六元笼状结构的吲哚碱alstratine A的不对称全合成中。

图1. 含四氢-β-咔啉THBC的天然产物及不对称合成方法

通过对反应条件的筛选,作者确定了最佳的反应条件:方酰胺(S)-5a或(S)-5b为催化剂、对硝基苯甲酸作为共催化剂,甲苯为溶剂、5Å分子筛为添加剂,在0.04 M浓度下0 ℃反应24小时。接着作者进行反应普适性研究(图2),发现各类结构的α-羰基酸酯均能适用于该反应,目标产物能以中等至优秀的产率及优秀的对映选择性合成。反应能够兼容烷基、芳基、杂环、双键等多种官能团。炔基酮酸酯4u在40 ℃下也能参与该反应,能够得到良好的收率及ee值。最后考察不同取代的色胺,反应均能很顺利发生。

图2. 底物拓展

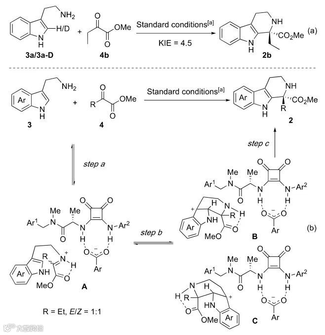
对反应机理进行了研究(图3),作者通过分析粗1H NMR谱图发现形成的亚胺中间体是E/Z(2.7:1 - 1:1)两种异构体的混合物。竞争实验表明反应的动力学同位素效应为4.5,说明中间体7的再芳构化是可能的决速步骤。由此,作者提出可能的机理,在催化剂(S)-5a及对硝基苯甲酸的共同作用下,34缩合形成亚胺离子A(step a),随后吲哚对亚胺亲核加成形成中间体BC(step b),考虑到形成的亚胺是E/Z混合物以及KIE,作者认为在最后一步中B比C的芳构化速率更快(step c)。结合中间体A、B、C的形成是可逆的以及氢键存在使得E式构型的亚胺反应活性优于Z式,作者提出step b是可能决定了反应的对映选择性,反应的对映选择性可能是两个动态动力学拆分的结果。

图3. 机理研究

为了展示该反应的应用性,作者对天然产物分子alstratine A进行了全合成研究。Alstratine A可用于慢性哮喘和支气管炎的治疗,含有五个立体中心,但相关全合成研究尚未见报道。通过逆合成分析(图4),作者提出alstratine A可由8经氧鎓离子中间体通过缩醛胺化获得,而它又能够由9经过逆电子要求的Diels-Alder反应合成,9则可通过不对称Pictet–Spengler反应来构建。

图4. 逆合成分析

作者从色胺3a与α-羰基酸酯4q出发,采用(R)-5b作为催化剂以98%的收率、92% ee获得(R)-2q。经过选择性的N-巴豆基化、吲哚N-苯甲酰化,随后酸性水解、IBX氧化,最后通过Diels-Alder反应得到另种异构体1314。经过酸碱处理得到目标天然产物alstratine A。由中间体11出发,无需分离不稳定的129,作者能够经4步以24%的收率实现全合成。与消旋天然产物旋光度比对确定手性产物的ee值为96%(图5)。

图5. Alstratine A的不对称全合成

最后通过对Diels-Alder反应的立体化学分析,作者提出亲双烯体的构型以及吲哚氮上的保护基对产物结构及非对映选择性有着重要影响(图6)。

图6. Diels-Alder反应立体化学

小结

祝介平教授课题组报道了有机小分子催化剂催化的α-羰基酸酯参与的不对称Pictet–Spengler反应,高效构建了一系列含有季碳中心的手性四氢-β-咔啉(THBC)化合物。利用该方法作为关键步通过七步成功实现了天然产物alstratine A的不对称全合成。

这一成果近期发表在Angew. Chem. Int. Ed.上,山东理工大学的孙丰钢副教授为论文的共同第一作者。

原文(扫描或长按二维码,识别后直达原文页面):
Organocatalytic Enantioselective Pictet–Spengler Reaction of α-Ketoesters: Development and Application to the Total Synthesis of (+)-Alstratine A
Rémi Andres, Fenggang Sun, Qian Wang, Jieping Zhu
Angew. Chem. Int. Ed., 2022, DOI: 10.1002/anie.202213831

导师介绍
祝介平
https://www.x-mol.com/university/faculty/2766



点击“阅读原文”,查看 化学 • 材料 领域所有收录期刊

【声明】内容源于网络
0
0
X-MOL资讯
“X-MOL资讯”隶属于X-MOL学术平台(官网x-mol.com),关注化学、材料、生命科学、医学等领域的学术进展与科研前沿,提供专业与深度的内容。公众号菜单还提供“期刊浏览”等强大功能,覆盖各领域上万种期刊的新近论文,支持个性化浏览。
内容 19833
粉丝 0
X-MOL资讯 “X-MOL资讯”隶属于X-MOL学术平台(官网x-mol.com),关注化学、材料、生命科学、医学等领域的学术进展与科研前沿,提供专业与深度的内容。公众号菜单还提供“期刊浏览”等强大功能,覆盖各领域上万种期刊的新近论文,支持个性化浏览。
总阅读1.6k
粉丝0
内容19.8k