搜索
首页
大数快讯
大数活动
服务超市
文章专题
出海平台
流量密码
出海蓝图
产业赛道
物流仓储
跨境支付
选品策略
实操手册
报告
跨企查
百科
导航
知识体系
工具箱
更多
找货源
跨境招聘
DeepSeek
首页
>
陈庆安课题组Nat. Catal.:非天然手性环状单萜构建新策略
>
0
0
陈庆安课题组Nat. Catal.:非天然手性环状单萜构建新策略
X-MOL资讯
2022-08-29
0
导读:中国科学院大连化学物理研究所的陈庆安研究员课题组报道了Ni-催化异戊二烯的不对称杂芳基化环化调聚反应,原子经济性地生成了一系列带有季碳立体中心的环状单萜烯衍生物,产率高达98%,e.e.值高达97%。
副标题:镍催化异戊二烯的不对称杂芳基化环化调聚反应
萜类化合物几乎存在于所有的生物体(如真菌、微生物、昆虫、海洋生物等)中并具有生理功能。在自然界中,萜类化合物的生物合成始于异戊烯基焦磷酸酯(IPP)和二甲基烯丙基焦磷酸酯(DMAPP),通过香叶基焦磷酸酯合酶(GPPase)缩合形成香叶基焦磷酸酯(GPP),GPP在酶催化下经关键中间体(香叶基正离子)生成相应的单萜烯和单萜类化合物(图1a)。尽管自然界已经进化了数百万年,但酶介导的碳正离子环化仅得到七个代表性的碳环骨架,再被进一步氧化和重排以产生其它单萜类化合物。因此,如何通过人工催化体系产生额外的单萜骨架至关重要,其中异戊二烯是生产萜烯和萜类化合物的重要前体。早在1967年,Smutny和Takahashi就报道了过渡金属催化的1,3-丁二烯与亲核试剂的调聚反应。随后,Beller、Finn、Réau、Navarro和 Carbó等人陆续开发了异戊二烯的亲核调聚反应以制备无环单萜(图1b)。尽管反应的区域选择性较好,但是从未研究过对映选择性调聚反应,同时异戊二烯的亲核环化调聚反应仍尚未开发。另一方面,杂环化合物(如嘌呤和咪唑)在药物分子和天然产物中也是极为重要的结构,化学家致力于研究这些化合物的官能团化,例如Ellman、Cavell、叶萌春、Ackermann和Cramer等人报道了Ni-催化简单烯烃的直接C-H键杂芳基化。将过渡金属催化的C-H键活化与异戊二烯的多样性转化与结合起来,就有可能为打开新的研究局面。
在仿生催化理念的基础上,
中国科学院
大连
化学物理研究所
的
陈庆安
研究员课题组设想能否开发一种
异戊二烯的不对称杂芳基化环化调聚反应,来构建非天然手性环状单萜及其衍生物
(图1b)。该过程面临着以下两大挑战:1)异戊二烯是用于区域选择性官能团化的最简单但最难的非对称二烯。理论上,调聚反应可以产生超过60个无环异构体和超过90个环状异构体;2)异戊二烯的直接加氢官能团化要比亲核二聚化更容易进行。近日,他们在
Nature Catalysis
上发表论文,报道了
Ni-催化异戊二烯的不对称杂芳基化环化调聚反应
(图1c),
原子经济性地生成了一系列带有季碳立体中心的环状单萜烯衍生物,产率高达98%,e.e.值高达97%
。此外,机理研究表明该反应是通过异戊二烯的对映选择性二聚化和随后的杂环C-H键烷基化进行的。该论文第一作者为大连化物所博士研究生
张功
。
图1. 催化合成单萜类化合物。图片来源:
Nat. Catal.
首先,作者选择咖啡因
1a
和异戊二烯
2a
为模型底物对反应条件进行优化,并得到最佳条件:即在Ni(COD)
2
(5 mol%)为催化剂、结构更刚性的氮杂环卡宾
L7
(5 mol%)为配体、EtONa(100 mol%)为碱、甲苯为溶剂的条件下于100 ℃进行反应,能以96%的收率和93%的e.e.值得到所需产物
3a
(X-射线衍射分析确定其绝对构型),并且降低催化剂负载量(2.5 mol%)也能以克级规模进行反应,同时对映选择性(93%)没有任何损失。在最优条件下,作者考察了该反应的底物范围(图2),结果显示咖啡因类似物(
3a-3d
)、乙羟茶碱衍生物(
3e
)、
N
7
-和
N
1
-上不同基团(如:缩醛、吡啶基、苄基、异丁基、环丙基甲基和5-氧代己基)取代的底物(
3f、3i-3o
)均能兼容该反应,以中等至较好的收率(34-96%)和优异的对映选择性(91-94%)得到相应的产物。然而,当
N
7
-
异戊二烯茶碱进行反应时,主要得到了异戊二烯基脱除产物
3h
,同时还有少量产物
3g
。其次,该反应还能实现各种腺嘌呤衍生物(
6a-6h、6k-6o
)、苯并咪唑衍生物(
8a-8g
)、萘并咪唑(
8h
)、咪唑(
8i
)以及咪唑并吡啶(
8j
)的不对称修饰,从而以中等至较好的收率和优异的对映选择性获得所需产物。需要指出的是,2-O
i
P
r和2-O
t
B
u取代的腺嘌呤进行反应时主要得到了
6h
,这可能是由于底物与EtONa进行烷氧基交换所致。为此,作者分别选择
i
P
rONa和
t
B
uONa为碱,从而以良好的收率和优异的对映选择性获得目标产物
6i
和
6j
。
图2. 嘌呤、腺嘌呤和咪唑的底物范围。图片来源:
Nat. Catal.
接下来,作者以咖啡因(
1a
)为模型底物,进一步探索了萜烯的底物范围。如图3a所示,带有两个异戊二烯单元的萜烯(如:月桂烯(
9b
)及其衍生物(
9c
))、源自叶绿素的植二烯(
9d
)、倍半萜烯法呢烯(
9e
)甚至丁二烯(
9f
)和2,3-二甲基-1,3-丁二烯(
9g
)均能实现这一转化,以中等至优异的收率和选择性得到相应的调聚物。值得一提的是,当使用罗勒烯(月桂烯
2b
的异构体)作为偶联试剂进行反应时,并不会得到产物
9b
,而是以68%的收率和1:1 d.r.值分离出
9h
。另外,作者还对产物
6a
或
8a
进行了衍生化(图3b),具体而言:1)
6a
与苯乙炔在Rh(III)催化下进行C-H键烯基化反应,以80%的收率和93%的e.e.值提供产物
10
;2)
6a
与对甲苯磺酰氯在
[Ru(
p
-cym)Cl
2
]
2
的催化下进行偶联并形成间磺酰化产物
11
(收率:63%,e.e.值:92%);3)Cp*Co(CO)I
2
催化
6a
、异戊二烯与多聚甲醛的三组分反应,以82%的产率和94%的e.e.值生成
12
;4)在
SeO
2
和TBHP的存在下选择性地氧化
6a
的烯丙基位,并以70%的产率提供α,β-不饱和酮
13
;5)
8a
在
m
-CPBA的存在下转化为相应的环氧化物
14
及其非对映异构体
14'
;6)
8a
经硼氢化-氧化得到醇
15
,e.e.值为94%。
图3. 其它共轭二烯的底物范围和手性调聚物的转化。图片来源:
Nat. Catal.
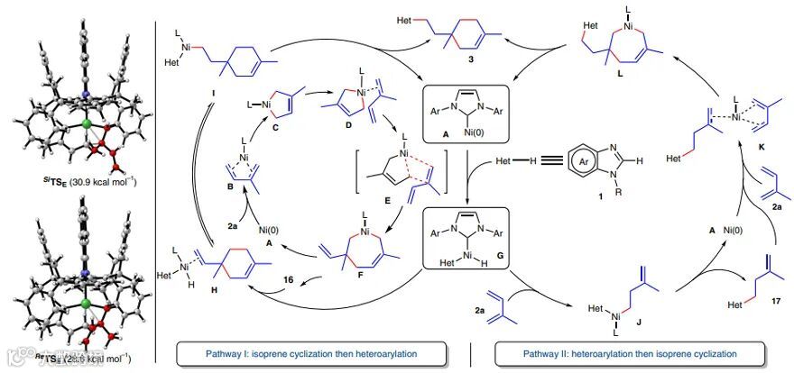
既然异戊二烯环化和杂环的C-H键烷基化是该反应的两个特征,那么究竟是哪个过程先发生呢?基于先前的研究和观察,作者提出了两种可能的反应机理(图4)。对于途径
I
(先异戊二烯环化,再杂环C-H键烷基化)而言,原位生成的
Ni
0
(NHC)物种
A
与一分子异戊二烯
2a
配位形成配合物
B
,
B
经氧化环金属化得到五元镍环
C
。随后,
C
与另一分子异戊二烯配位形成配合物
D
,再进行迁移插入经过渡态
E
生成七元镍环
F
,接着通过还原消除产生二聚化产物
16
。与此同时,
A
与杂环底物进行C-H键活化生成Ni-H物种
G
,
G
与
16
配位形成络合物
H
,接着经迁移插入和还原消除便可得到目标产物
3
并再生
Ni
0
催化剂。对于途径
II
(先杂环C-H键烷基化,再异戊二烯环化)而言,Ni-H物种
G
与一分子异戊二烯
2a
进行配位、迁移插入得到Ni(II)配合物
J
,经还原消除得到
mono
-异戊二烯基产物
17
并再生Ni(0)物种
A
。随后,
A
与
2a
和
17
进行氧化环金属化形成所需的七元镍环
L
,经还原消除便可得到目标产物
3
并再生
Ni
0
催化剂。另外,密度泛函理论(DFT)计算表明
Re
TS
E
(得到
R
-产物)过渡态要比
Si
TS
E
(得到
S
-产物)过渡态的
能量
低2.3 kcal mo
l
-1
,这与实验观察到的
R
-产物(
R
-
16
,进一步转化为
S
-
3a
)的高对映选择性形成相一致。
图4. 可能的机理及计算研究。图片来源:
Nat. Catal.
为了区分这两种反应机制,作者进行了一系列实验。具体而言:1)从4-戊酮酸
18
出发,经Wittig反应和缩合反应得到
mono
-异戊二烯基产物
17
(图5a),再与异戊二烯
2a
在Ni-催化下进行反应时并没有产生所需产物
8a
(图5b),这表明杂环的C-H键烷基化并不是先进行的;2)将异戊二烯
2a
置于标准条件下进行反应时得到了所需的二聚体
16
(收率:36%),同时伴随着柠檬烯
20
(收率:12%)的形成(图5c),若无催化剂和配体
L7
仅观察到痕量的
16
或
20
,这表明二聚体
16
和柠檬烯
20
是催化剂诱导的产物;3)将二聚体混合物(
16+20
)与
7a
置于非手性NHC配体IPr下进行反应时,以92%的对映选择性得到所需产物
8a
(图5d),这表明异戊二烯的二聚化是对映选择性决定步骤。另外,对照实验表明高浓度柠檬烯
20
会造成一部分催化剂失活,同时也表明[4+2]环加成或随后的C-H键活化不需要碱。然而,碱的添加有助于实现所需的催化循环,例如:异戊二烯
2a
与咪唑
7a
的反应中观察到类似的碱效应(图5e);4)同位素标记实验表明异戊二烯迁移插入到
Ni
II
-氢化物是可逆的(图5f);5)动力学实验表明无
7a
时
温度
对异戊二烯的二聚化反应具有显著影响(图5g),而
7a
存在时
16
和
20
在反应初期迅速形成并在6 h左右达到峰值,6 h后
16
逐渐减少而
20
保持不变,同时检测到
8a
逐渐增加。另外,作者还研究了异戊二烯的浓度效应,当
2a
的负载量逐渐减少时(4.0→1.0当量),反应的诱导期也在减少(6 h→1 h)。总之,这些结果表明异戊二烯的二聚化在杂环的C-H键烷基化之前进行(即途径
I
),同时还表明反应的决速步是异戊二烯的二聚化而不是二聚体
16
的氢化杂芳基化。
图5. 机理研究。图片来源:
Nat. Catal.
总结
陈庆安团队通过镍催化的串联异戊二烯二聚化/C-H键官能团化反应,以优异的对映选择性构建了一系列非天然单萜骨架,其中大位阻的C2-对称NHC手性配体使得镍催化剂能够同时控制反应中的化学选择性、区域选择性和对映选择性。另外,机理研究表明异戊二烯的对映选择性二聚化先于杂芳基C-H键官能团化。可以预见,该反应不仅有利于异戊二烯的对映选择性转化,而且为创建不同生物活性的非天然单萜骨架提供了新策略。
原文(扫描或长按二维码,识别后直达原文页面):
Nickel-catalysed asymmetric heteroarylative cyclotelomerization of isoprene
Gong Zhang, Chao-Yang Zhao, Xiang-Ting Min, Ying Li, Xiang-Xin Zhang, Heng Liu, Ding-Wei Ji, Yan-Cheng Hu , Qing-An Chen
Nat. Catal.
,
2022
,
5
, 708-715. DOI: 10.1038/s41929-022-00825-z
导师介绍
陈庆安
https://www.x-mol.com/groups/qachen
【声明】内容源于网络
0
0
X-MOL资讯
“X-MOL资讯”隶属于X-MOL学术平台(官网x-mol.com),关注化学、材料、生命科学、医学等领域的学术进展与科研前沿,提供专业与深度的内容。公众号菜单还提供“期刊浏览”等强大功能,覆盖各领域上万种期刊的新近论文,支持个性化浏览。
内容
19833
粉丝
0
关注
在线咨询
X-MOL资讯
“X-MOL资讯”隶属于X-MOL学术平台(官网x-mol.com),关注化学、材料、生命科学、医学等领域的学术进展与科研前沿,提供专业与深度的内容。公众号菜单还提供“期刊浏览”等强大功能,覆盖各领域上万种期刊的新近论文,支持个性化浏览。
总阅读
8.1k
粉丝
0
内容
19.8k
在线咨询
关注