作为核受体家族中的重要一员,法尼酯X受体 FXR(Farnesoid X Receptor) 高丰度表达于肝脏和小肠,对于维持体内的代谢稳态具有重要的调节功能。大量的体内外生物学功能研究已经证实 FXR 是一个有价值的药理学靶标,所以 FXR自发现以来便成为机体代谢性疾病药物研发的热门靶点之一。但目前为止仅有胆酸衍生的奥贝胆酸OCA(Obeticholic acid)作为FXR的激动剂被FDA批准用于原发性胆汁性肝硬化的治疗,针对非酒精性脂肪肝的治疗处于临床Ⅲ期阶段,但OCA在多个临床试验均出现了包括严重瘙痒在内的诸多副作用。鉴于FXR重要的生物学功能及具有临床转化价值调节剂的不足,开发具有新型化学骨架的FXR调节剂作为药物先导小分子,以期望衍生出更加安全有效的FXR靶点药物来满足目前临床实际用药的需求具有重要科学意义。
近日,北京大学化学与分子工程学院、北大-清华生命科学联合中心雷晓光教授课题组在美国化学会核心期刊JACS Au 杂志在线发表研究论文,发现天然产物Fargesone A是一种新型的FXR核受体小分子激动剂,具有治疗肝脏疾病药理活性,并首次完成了该天然产物的高效、仿生全合成。
FXR的调节剂能够有效地调控FXR对辅调节因子的动态性募集和释放过程,利用这一特点设计了蛋白水平基于微珠的AlphaScreen高通量筛选体系,高效筛选了包含2700个天然产物的分子库,作者最终鉴定到来源于中药辛夷的天然产物Fargesone A是一种高亲和力的选择性FXR激动剂,能够在蛋白和细胞水平高效地激活FXR(图1)。

图1. 高通量药物筛选鉴定出Fargesone A是一种新型的FXR激动剂
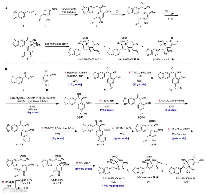
Fargesone A从植物中直接分离的得率极低,为了解决这一问题,作者从商业可得的原料出发以9 步反应完成了Fargesone A及其同家族两个天然产物的首次不对称全合成。此路线利用仿生合成策略可以大量合成目标天然产物,解决了后续生物研究的天然产物来源匮乏问题(图2)。

图2. Fargesone A的高效、仿生全合成路线
随后作者确认了Fargsone A在小鼠体内的药代动力学参数,并在胆管结扎(bile duct ligation, BDL)的小鼠动物模型上证实了Fargsone A能够诱导系列FXR靶基因的表达,且对肝脏炎症及纤维化具有不错的疗效。
综上所述,作者通过高通量筛选发现了一种新型骨架的FXR天然产物激动剂Fargesone A,通过系列生物学活性测试证实了其作为FXR激动剂具有良好的保肝功效,并发展了其首条高效的不对称全合成路线(图3)。可以预期对Fargesone A进行成药性的衍生优化创造出具有优化结构的其他衍生物,将有可能为开发治疗FXR相关肝病的候选新药提供一种有效途径。

图3. 天然产物Fargesone A的全合成与生物机制研究
文章的共同第一作者为北京大学前沿交叉学科研究院/北大-清华生命联合中心的博士研究生郭富生和北京大学化学学院的博士研究生陈恺骐,通讯作者为北京大学化学学院、北大-清华生命科学联合研究中心雷晓光教授。
原文(扫描或长按二维码,识别后直达原文页面):

Biomimetic Total Synthesis and the Biological Evaluation of Natural Product (−)-Fargesone A as a Novel FXR Agonist
Fusheng Guo, Kaiqi Chen, Haoran Dong, Dachao Hu, Yihui Gao, Chendi Liu, Surat Laphookhieo, and Xiaoguang Lei*
JACS Au, 2022, DOI: 10.1021/jacsau.2c00600
导师介绍
雷晓光
https://www.x-mol.com/groups/lei_xiaoguang




