搜索
首页
大数快讯
大数活动
服务超市
文章专题
出海平台
流量密码
出海蓝图
产业赛道
物流仓储
跨境支付
选品策略
实操手册
报告
跨企查
百科
导航
知识体系
工具箱
更多
找货源
跨境招聘
DeepSeek
首页
>
【催化】Angew:实验测定还原电位下CO在枝状铜电极表面的吸附焓
>
0
0
【催化】Angew:实验测定还原电位下CO在枝状铜电极表面的吸附焓
X-MOL资讯
2023-02-08
0
导读:北京大学化学与分子工程学院徐冰君教授联合清华大学化学工程系陆奇副教授,设计了一套表面增强原位变温红外光谱技术,首次通过实验方法准确测定了CO在还原电位下在枝状铜电极表面的吸附焓。
利用清洁电能将大气中的二氧化碳转化成具有高附加值的化学品是人类应对全球变暖危机的一种可行手段。在所有具有二氧化碳电化学还原反应(C
O
2
RR)活性的金属中,铜是最常见一种能够生成多碳产物的金属。因此理解还原过程中的关键中间体一氧化碳(CO)在铜催化剂上的吸附情况,对反应路径的解读以及催化剂设计等领域都能提供重要指导。近日,
北京
大学
化学与分子工程学院
徐冰君
教授联合
清华大学
化学工程系
陆奇
副教授,设计了一套
表面增强原位变温红外光谱技术
(图1),
首次通过实验方法准确测定了CO在还原电位下在枝状铜电极表面的吸附焓。
图1. 原位表面增强变温红外光谱技术示意图
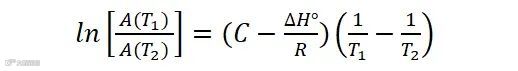
作者首先依据朗博比尔定律、亨利定律以及范霍夫方程推导证明了在不同电解液
温度
下使用红外光谱观察到的铜电极上CO峰面积的对数(ln
A
)与电解液温度的倒数(1/T)成正比,斜率中的∆
H°
代表的是CO和水分子在电极表面竞争吸附反应的标准吸附焓变,
R
是理想气体常数,C是CO亨利定律的温度依赖系数。
通过查阅文献确认相关热力学参数以及拟合红外峰面积随温度变化趋势(图2),作者首次通过实验的方法确认了CO在枝状铜电极上的吸附焓为+ 1.5 kJ/mol。作者还使用了原位高压红外技术测算了CO在铜电极上的绝对覆盖度约为0.05 ML(图2),并根据热力学基本关系式计算出了CO在铜电极上吸附的标准吉布斯自由能变(∆
G°
)为- 9.8 kJ/mol,标准熵变(∆
S°
)为+ 39 J/(mol•K)。对于Cu金属在C
O
2
RR多碳产物的独特选择性,科学界通常认为是因为是C
O
2
RR的关键中间体CO在Cu金属上具有最适中的吸附能。对于强CO吸附金属如镍、铂以及铁等,C
O
2
RR生成的CO会造成催化剂中毒,使催化剂丧失反应活性。而对于弱CO吸附金属如金、银以及锡等,CO相对于其他吸附物种吸附能较弱,无法进一步深度还原。过去CO在Cu电极表面的吸附问题的研究碍于复杂的电解液环境以及匮乏的原位表征手段,均是使用理论模拟的方法,缺乏实验验证。在本篇工作中,作者首次通过实验方法确定了CO在铜电极表面的一系列吸附热力学数据,为未来在C
O
2
RR领域讨论理论模拟结果准确性、加深对反应路径的认识以及进行反应选择性调控等领域均有重要的指导意义。
图2. 枝状铜归一化CO红外峰面积的对数随温度变化(左)不同铜材料归一化CO红外峰面积随CO分压变化(右)
原文(扫描或长按二维码,识别后直达原文页面):
Correlating the Experimentally Determined CO Adsorption Enthalpy with the Electrochemical CO Reduction Performance on Cu Surfaces
Haocheng Xiong, Qiwen Sun, Kedang Chen, Yifei Xu, Xiaoxia Chang, Qi Lu,
Bing
jun Xu
Angew. Chem. Int. Ed
.,
2023
, DOI: 10.1002/anie.202218447
导师介绍
徐冰君
https://www.x-mol.com/university/faculty/323443
陆奇
https://www.x-mol.com/university/faculty/21104
点击“
阅读原文
”,查看
化学 • 材料
领域
所有收录期刊
【声明】内容源于网络
0
0
X-MOL资讯
“X-MOL资讯”隶属于X-MOL学术平台(官网x-mol.com),关注化学、材料、生命科学、医学等领域的学术进展与科研前沿,提供专业与深度的内容。公众号菜单还提供“期刊浏览”等强大功能,覆盖各领域上万种期刊的新近论文,支持个性化浏览。
内容
19833
粉丝
0
关注
在线咨询
X-MOL资讯
“X-MOL资讯”隶属于X-MOL学术平台(官网x-mol.com),关注化学、材料、生命科学、医学等领域的学术进展与科研前沿,提供专业与深度的内容。公众号菜单还提供“期刊浏览”等强大功能,覆盖各领域上万种期刊的新近论文,支持个性化浏览。
总阅读
1.6k
粉丝
0
内容
19.8k
在线咨询
关注