搜索
首页
大数快讯
大数活动
服务超市
文章专题
出海平台
流量密码
出海蓝图
产业赛道
物流仓储
跨境支付
选品策略
实操手册
报告
跨企查
百科
导航
知识体系
工具箱
更多
找货源
跨境招聘
DeepSeek
首页
>
【材料】高可调性次级弛豫对非晶相变材料中结晶行为的高效调控
>
0
0
【材料】高可调性次级弛豫对非晶相变材料中结晶行为的高效调控
X-MOL资讯
2022-12-13
1
导读:奥胡斯大学尉帅教授、华中科技大学于海滨教授与德国亚琛工业大学Matthias Wuttig教授、意大利罗马大学Riccardo Mazzarello等,揭示了非晶态相变材料Ge15Sb85中次级弛豫强
相变材料能够通过电/光脉冲实现晶态和非晶态之间的纳秒级转变,并借助巨大的光/电性质差异实现信息的存储。其中,非晶态相变材料的快速稳定结晶是其在非易失存储器和类脑计算芯片等领域应用的重要基础之一。
非晶材料的结晶行为与其固有的弛豫现象密切相关。与主弛豫不同,次级弛豫在低温下更为活跃,是玻璃态中重要的原子运动来源。次级弛豫与包括结晶在内的多种性质密切相关。此前,尉帅教授、于海滨教授和Matthias Wuttig教授团队利用粉末动态力学分析仪,首次在共价键结合的非晶相变材料中观测到次级弛豫的存在(
Sci. Adv
.,
2020
,
6
, eaay6726)。在此基础上,
奥胡斯
大学尉帅
教授、
华中科技大学于海滨
教授与
德国
亚琛工业大学Matthias Wuttig
教授、意大利
罗马
大学Riccardo Mazzarello
教授等人合作,进一步利用粉末动态力学,超快DSC和原位泵浦(Pump-Probe)反射谱等方法,系统研究了非晶相变材料中次级弛豫对结晶行为的影响,揭示了
非晶态相变材料
Ge
15
Sb
85
中次级弛豫强度与非晶稳定性和结晶动力学之间的密切关系,并借助同步辐射X射线散射以及第一性原理分子动力学阐明了次级弛豫抑制以及对结晶行为影响的微观结构起源。
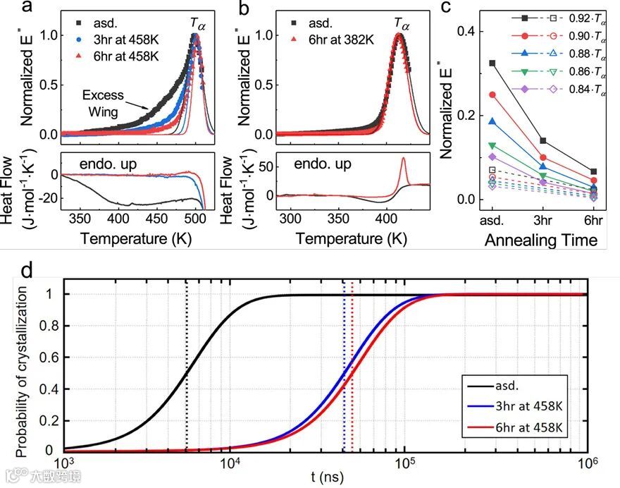
在最新的工作中,研究者团队发现,与其他大部分玻璃态材料如金属玻璃和高分子不同,非晶态相变材料中次级弛豫表现出了极高的可调节性。短
时间
的退火即可实现超过80%的次级弛豫强度抑制。随后的原位泵浦反射谱和超快DSC研究表明,非晶相变材料
Ge
15
Sb
85
中的次级弛豫抑制伴随了结晶时间将近10倍的增长。相反的,在未表现出明显次级弛豫的
Ge
15
Te
85
中,同样的退火处理并未引起结晶
速度
的明显变化。随后的同步辐射X射线散射以及第一性原理分子动力学计算表明,次级弛豫的抑制来源于派尔斯畸变的非均匀增强,最终形成更为紧密的原子排布,抑制原子运动趋势,导致结晶趋势的弱化。
图1. 非晶态
Ge
15
Sb
85
中次级弛豫的抑制和结晶时间的增长。图片来源:
Nat. Commun.
图2. 同步辐射和第一性原理分子动力学揭示派尔斯畸变的局域增强。图片来源:
Nat. Commun.
除本文中的方法,次级弛豫强度的调控还能够通过更多途径实现,包括成分、
温度
、压力、应力和制备方法等。例如,通过超声波与次级弛豫区域内的原子运动产生共振,能显著提升结晶速度。本文通过操控次级弛豫实现非晶态相变材料稳定性和结晶行为调控的方法,为未来基于相变材料的信息器件性能的优化提供了一种新的思路。
这一成果近期发表在
Nature Communications
上,文章的第一作者是分别来自
西安
交通大学材料创新设计中心
(CAID)的
成煜东
助理教授和
王疆靖
研究员,
华中科技大学
的
杨群
博士。通讯作者为
罗马大学Riccardo Mazzarello
教授、
亚琛工业大学
的
Matthias Wuttig
教授、
华中科技大学
的
于海滨
教授和
奥胡斯大学
的
尉帅
教授。
原文(扫描或长按二维码,识别后直达原文页面):
Highly tunable β-relaxation enables the tailoring of crystallization in phase-change materials
Yudong Cheng, Qun Yang, Jiangjing Wang, Theodoros Dimitriadis, Mathias Schumacher, Huiru Zhang, Maximilian J. Müller, Narges Amini, Fan Yang, Alexander Schoekel, Julian Pries, Riccardo Mazzarello, Matthias Wuttig, Hai-Bin Yu & Shuai Wei
Nat. Commun
.,
2022
,
13
, 7352. DOI: 10.1038/s41467-022-35005-x
团队简介
尉帅教授
丹麦
奥胡斯大学化学系教授
非晶材料实验室Amorphous Materials Laboratory
https://chem.au.dk/AmorphousMatLab
于海滨教授:
华中科技大学国家脉冲强磁场中心和物理学院教授。
https://www.researchgate.net/profile/Hai-Bin-Yu
https://www.x-mol.com/university/faculty/75440
Matthias Wuttig教授:
德国亚琛工业大学实验物理所教授
课题组网站:https://www.institut-1a.physik.rwth-aachen.de
Riccardo Mazzarello教授:
意大利罗马大学物理系教授
课题组网站:https://riccardomazzarello.site.uniroma1.it/
点击“
阅读原文
”,查看
化学 • 材料
领域
所有收录期刊
【声明】内容源于网络
0
0
X-MOL资讯
“X-MOL资讯”隶属于X-MOL学术平台(官网x-mol.com),关注化学、材料、生命科学、医学等领域的学术进展与科研前沿,提供专业与深度的内容。公众号菜单还提供“期刊浏览”等强大功能,覆盖各领域上万种期刊的新近论文,支持个性化浏览。
内容
19833
粉丝
0
关注
在线咨询
X-MOL资讯
“X-MOL资讯”隶属于X-MOL学术平台(官网x-mol.com),关注化学、材料、生命科学、医学等领域的学术进展与科研前沿,提供专业与深度的内容。公众号菜单还提供“期刊浏览”等强大功能,覆盖各领域上万种期刊的新近论文,支持个性化浏览。
总阅读
1.6k
粉丝
0
内容
19.8k
在线咨询
关注