搜索
首页
大数快讯
大数活动
服务超市
文章专题
出海平台
流量密码
出海蓝图
产业赛道
物流仓储
跨境支付
选品策略
实操手册
报告
跨企查
百科
导航
知识体系
工具箱
更多
找货源
跨境招聘
DeepSeek
首页
>
南科大主族元素化学Angew:卡拜负离子配体交换反应
>
0
0
南科大主族元素化学Angew:卡拜负离子配体交换反应
X-MOL资讯
2023-02-28
4
导读:南方科技大学刘柳课题组通过卡拜负离子结构基元中心的N2/CO配体交换反应,该课题组构建了稳定的烯酮负离子,并以此为合成子开展了一系列衍生化反应研究
配体交换是金属有机化学中一类重要的基元反应,在过渡金属催化循环中占据重要的地位。由于价层电子布局不同,过渡金属化合物的配体交换反应常经历两种不同的机理:1)价层为18电子的过渡金属倾向于先解离、后配位的机理;2)价层为17电子的过渡金属倾向于协同配体交换机理,即解离和配位同时进行。在过渡金属化合物中,氮气和一氧化碳均为常见的L型配体,涉及这两种配体的交换反应非常常见。
近二十年化学家们发现,双亲性(既亲核也亲电)的主族元素具有类比过渡金属的前线轨道和化学反应性。低价态主族元素中心,例如卡宾、亚乙烯基(vinylidene)、硼宾、铝宾以及磷宾的配体交换反应相继被报道。
南方科技大学刘柳
课题组致力于发展多重双亲性主族元素结构基元(既亲核也亲电,具有多个反应位点)。在前期的工作中,他们利用过渡金属配位的方式稳定了三重双亲性卡拜负离子结构基元(
Nat. Synth
.,
2023
, DOI: 10.1038/s44160-022-00225-y,
点击阅读详细
)。近期,
通过卡拜负离子结构基元中心的
N
2
/CO配体交换反应
(图1),该课题组
构建了稳定的烯酮负离子,并以此为合成子开展了一系列衍生化反应研究
,相关工作发表在
Angewandte Chemie International Edition
,第一作者为南科大高级研究学者
魏睿
博士,课题组成员
王新峰
和
D. Ruiz
参与了研究工作。
图1. 卡拜负离子配体交换反应
烯酮(
R
1
R
2
C
=C=O)是有机化学中一类重要的化合物。这类化合物含有极性的累积双键,稳定性低,常作为原位生成的化学反应中间体,直接转化为最终产物。合成烯酮的方法十分有限,主要为羧酸衍生物的定量反应或热解和光解合适的底物。合成烯酮负离子(图2,共振结构为烯醇负离子),随后与亲电试剂反应是合成烯酮的另一条有效途径。直到最近,Gessner等人通过磷叶立德负离子结构基元合成了首例可分离表征的烯酮负离子[R-C=C=
O
-
](图2)。
图2. 烯酮负离子的共振结构和已报道的烯酮负离子。图片来源:
Angew. Chem.
作者设想,通过卡拜负离子基元[R-
C
-
]中心碳的
N
2
/CO配体交换反应构建烯酮负离子结构基元。理论计算结果表明磷基卡拜负离子的
N
2
/CO配体交换反应放能47.7 kcal/mol,并且反应能垒仅有10.0 kcal/mol(详见原文)。鉴于此,作者开展了实验研究,通过化合物
1
与CO反应,成功生成了目标化合物
2
(图3)。进一步硒单质氧化得到了化合物
3
。化合物
2
的单晶结构数据分析显示P(1)-C(1)-C(2)键角为138.6(1)°,明显偏离直线构型,表明烯酮负离子共振式在
2
的电子结构中起主导作用。C(1)–C(2)和C(2)–O(1) 键长分别是1.248(1), 1.226(1) Å,处于标准双键和三键键长之间。
图3. 烯酮负离子的合成。图片来源:
Angew. Chem.
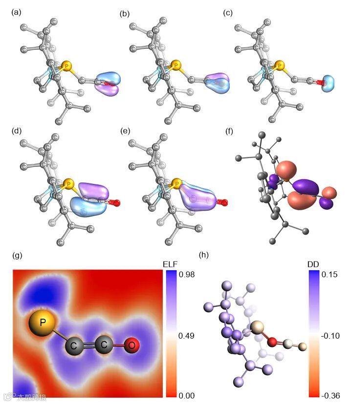
理论计算优化模型分子得到的结构信息与晶体结构数据相吻合。Wiberg键级分析结果显示C(1)–C(2)和C(2)–O(1) 键级分别是2.06和1.72, 表明它们之间有多重键性质。如图4所示,本质键轨道(IBO)分析结果显示除O(1)具有一对孤对电子外,C(1)–C(2)及C(2)–O(1)间均有两根π键。其中面内的C(1)–C(2) π键明显向C(1)极化从而展现出类似孤对电子的性质。这一结论也得到了分子轨道分析结果的支持,HOMO主要分布在C(1)–C(2)之间且明显向C(1)极化,表明C(1)有显著的亲核性。这与ELF函数分析结果以及基于福井函数(Fukui Functions)的二元描述符(Dual Descriptor)数值佐证了C(1)为强亲核性(-0.36)。
图4. IBO轨道、前线分子轨道分析和ELF函数及福井函数分析。图片来源:
Angew. Chem.
事实上,化合物
2
的反应性研究显示
2
的亲核反应一致地发生在C(1)。化合物
2
与
Ph
3
GeCl或LCuI反应可以有效地构建锗基取代烯酮
4
或烯酮负离子铜配合物
5
(图5)。有意思的是,化合物
2
与
I
2
反应可以构建膦叶立德烯酮
6
。作者推测
6
是由碘代烯酮经过进一步碘迁移生成的。随后作者尝试将烯酮官能团转化为其他有机基团。化合物
2
与苯乙炔发生C-H活化反应可以构建烯醇盐
7
,与醛(FcCHO, Fc = ferrocenyl)反应可以构建丙烯酸盐
8
,与亚胺(PhCH=NPh)反应可以构建丙烯酰胺盐
9
。
图5. 烯酮负离子的反应性 图片来源:
Angew. Chem.
至此,通过三重双亲性卡拜负离子[R-
C
-
]的
N
2
/CO配体交换反应,作者高效合成了稳定的烯酮负离子,并开展了一系列衍生化反应研究,实现了官能团的转移及转化。仔细思考,三重双亲性卡拜负离子结构基元价层同时具有两个孤对电子及一个空轨道。如果将卡拜负离子基元转移至另一分子三重双亲性正离子结构基元将可以直接构建新颖主族多重键化合物(具有多重双亲性),敬请关注课题组后续工作。
该研究工作得到国家自然科学基金委员会、
深圳
市科创委、广创团队、广东省基础与应用基础研究基金和广东省催化重点实验室的经费支持。
原文(扫描或长按二维码,识别后直达原文页面):
Stable Ketenyl Anions via Ligand Exchange at an Anionic Carbon as Powerful Synthons
Rui Wei, Xin-Feng Wang, David A. Ruiz, Liu Leo Liu
Angew. Chem. Int. Ed.
,
2023
, DOI: 10.1002/anie.202219211
导师介绍
刘柳
https://www.x-mol.com/groups/liuleoliu
点击“
阅读原文
”,查看
化学 • 材料
领域
所有收录期刊
【声明】内容源于网络
0
0
X-MOL资讯
“X-MOL资讯”隶属于X-MOL学术平台(官网x-mol.com),关注化学、材料、生命科学、医学等领域的学术进展与科研前沿,提供专业与深度的内容。公众号菜单还提供“期刊浏览”等强大功能,覆盖各领域上万种期刊的新近论文,支持个性化浏览。
内容
19833
粉丝
0
关注
在线咨询
X-MOL资讯
“X-MOL资讯”隶属于X-MOL学术平台(官网x-mol.com),关注化学、材料、生命科学、医学等领域的学术进展与科研前沿,提供专业与深度的内容。公众号菜单还提供“期刊浏览”等强大功能,覆盖各领域上万种期刊的新近论文,支持个性化浏览。
总阅读
1.6k
粉丝
0
内容
19.8k
在线咨询
关注