搜索
首页
大数快讯
大数活动
服务超市
文章专题
出海平台
流量密码
出海蓝图
产业赛道
物流仓储
跨境支付
选品策略
实操手册
报告
跨企查
百科
导航
知识体系
工具箱
更多
找货源
跨境招聘
DeepSeek
首页
>
不对称共轭加成-烯丙基取代串联反应实现1,3-手性中心的立体发散性合成
>
0
0
不对称共轭加成-烯丙基取代串联反应实现1,3-手性中心的立体发散性合成
X-MOL资讯
2023-01-17
3
导读:中国科学院上海有机化学研究所游书力研究员团队将铜催化的不对称共轭加成反应与铱催化的不对称烯丙基取代反应相结合,成功构建了含多个连续手性中心的酮类化合物。
金属铱催化的烯丙基取代反应已成为立体选择性地构建碳-碳键或碳-杂键的重要方法之一,反应往往能取得高的区域选择性和对映选择性控制。在单一的铱催化体系当中,潜手性亲核试剂能够生成含相邻双手性中心的化合物,但反应的非对映选择性控制相对较难,并且很难得到所有的立体异构体。协同催化模式为这些问题提供了一种新的解决思路。2013年,Carreira课题组将有机小分子催化体系与铱催化的烯丙基取代反应结合,成功实现了醛类化合物α位的不对称烯丙基取代反应(
Science
2013
,
340
, 1065)。通过组合两种手性催化剂的不同对映体,反应可以获得四种立体异构体中的任意一个,实现产物的立体发散性合成(图1)。随后,Hartwig、Glorius、张万斌和王春江等课题组均在此领域做出了突出的工作。但这些反应体系均实现的是相邻双手性中心的立体发散性合成,对于非相邻手性中心的立体发散性合成则鲜有报道。
金属烯醇类化合物在经典有机化学中被广泛应用,其可以高效地实现化学键的构建。过渡金属催化的不对称共轭加成反应可以生成手性的金属烯醇类化合物,此时再向体系中加入亲电试剂,二者之间可以发生串联反应,生成一系列含多立体中心的手性化合物。
图1 立体发散双催化反应
最近,
中国科学院
上海
有机化学研究所游书力
研究员团队
将铜催化的不对称共轭加成反应与铱催化的不对称烯丙基取代反应相结合,成功构建了含多个连续手性中心的酮类化合物。
经过一系列的条件筛选,反应可以中等到优秀的收率(高达89%)、非对映选择性控制(高达>20:1 dr)和对映选择性控制(高达>99% ee)得到目标化合物(图2)。值得注意的是,此反应操作简单,大部分反应一开始就加入所有底物和催化剂,而不是依次加入,大大提高了反应的实用性。
图2 底物普适性考察
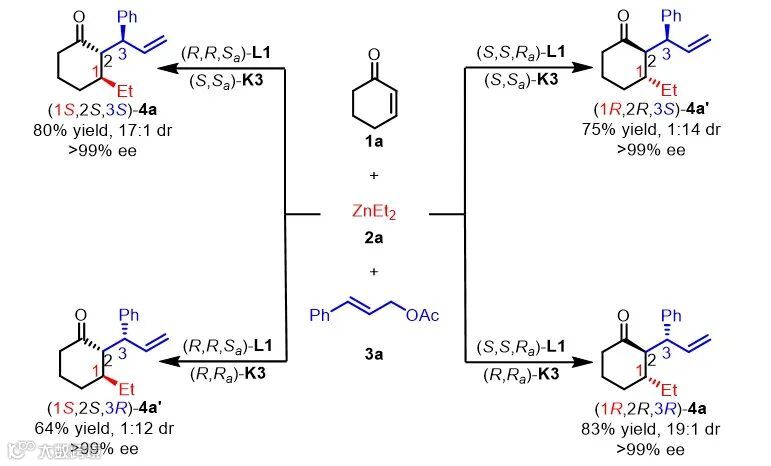
当分别使用不同构型的铜催化剂和铱催化剂时,反应能够从相同的起始原料出发,合成四种立体异构体中的一种,实现非相邻手性中心(1,3-位置)的立体发散性合成(图3)。反应均能取得良好到优秀的收率、非对映选择性和对映选择性控制。值得注意的是,在此反应中,铜催化剂决定了产物C1位的手性中心,铱催化剂决定了产物C3位的手性中心,而产物C2位的手性中心始终与C1位的手性中心相反。
图3 立体发散性合成
小结
游书力研究员团队将铜催化二取代锌试剂对环状烯酮的不对称共轭加成反应与铱催化的不对称烯丙基取代反应相结合,成功构建了含多个连续手性中心的酮类化合物,并实现了非相邻手性中心(1,3-位置)的立体发散性合成,有别于文献中常见的相邻手性中心(1,2-位置)的立体发散性合成。相关研究结果近期发表在
Angew. Chem. Int. Ed.
期刊上。文章的第一作者是博士研究生
谢佳豪
,通讯作者是
游书力
研究员。
原文(扫描或长按二维码,识别后直达原文页面):
Stereodivergent Construction of 1,3-Chiral Centers via Tandem Asymmetric Conjugate Addition and Allylic Substitution Reaction
Jia-Hao Xie, Yi-Ming Hou, Zuolijun Feng, Shu-Li You
Angew. Chem. Int. Ed
.,
2023
, DOI: 10.1002/anie.202216396
导师介绍
游书力
https://www.x-mol.com/university/faculty/15598
点击“
阅读原文
”,查看
化学 • 材料
领域
所有收录期刊
【声明】内容源于网络
0
0
X-MOL资讯
“X-MOL资讯”隶属于X-MOL学术平台(官网x-mol.com),关注化学、材料、生命科学、医学等领域的学术进展与科研前沿,提供专业与深度的内容。公众号菜单还提供“期刊浏览”等强大功能,覆盖各领域上万种期刊的新近论文,支持个性化浏览。
内容
19833
粉丝
0
关注
在线咨询
X-MOL资讯
“X-MOL资讯”隶属于X-MOL学术平台(官网x-mol.com),关注化学、材料、生命科学、医学等领域的学术进展与科研前沿,提供专业与深度的内容。公众号菜单还提供“期刊浏览”等强大功能,覆盖各领域上万种期刊的新近论文,支持个性化浏览。
总阅读
1.6k
粉丝
0
内容
19.8k
在线咨询
关注