
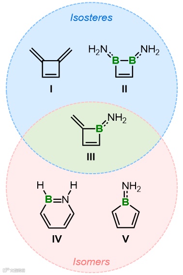
丁富烯(Butafulvene,I)是苯的异构体之一,其显著的环张力导致其合成十分具有挑战性。硼氮/碳碳(BN/CC)等电子体构想是将分子中的CC单位替换为等电子的BN单位,已被广泛应用于设计具有独特性质的新型分子。双硼氮杂丁富烯II早在1998年已被报道,而单硼氮杂丁富烯III尚未被合成。与III的同分异构体硼氮杂苯IV和胺基硼咯V相比,具有四元环的化合物III更不稳定,因此其合成和分离更具有挑战性。近日,德国维尔兹堡大学叶青团队与香港科技大学林振阳团队聚焦单硼氮杂丁富烯这类化合物。根据计算结果,在化合物III、IV、V中III的自由能最高,比IV高出31.4 kcal/mol,比V高出17.1 kcal/mol。

图1.丁富烯I的BN/CC等电子体和单硼氮杂丁富烯III的同分异构体。图片来源:Angew. Chem. Int. Ed.
二茂铀并硼氮杂丁富烯化合物3可通过双炔基硼烷2与二茂铀环丙烯配合物1反应合成(Chem. Eur. J. 2020, 26, 13573)。通过水解,化合物3高选择性生成了硼氮杂丁富烯化合物4。硼氮杂丁富烯4在加热到110 °C的条件下可以发生环外双键E/Z异构化,而异构化的产物能够在120 °C条件下稳定存在。另外,4-二甲氨基吡啶与硼氮杂丁富烯配合物在热条件下会发生重排,生成1,2,4,6-多取代的9,1-硼氮杂萘6。为了验证该9,1-硼氮杂萘的6位取代基是否可以替换,作者尝试使用吡啶和4-甲氧基吡啶进行该反应,成功合成了6位不同取代基(H、OMe、NMe2)取代的9,1-硼氮杂萘。4-二甲氨基吡啶也可以与茂铀并硼氮杂丁富烯3反应,生成扩环产物7。9,1-硼氮杂萘6也可以由加热化合物7的水解产物IntA得到。

图2. 化合物3-7的合成路线。图片来源:Angew. Chem. Int. Ed.
核磁共振监测显示化合物5向化合物6转化的过程中存在两种可以观察到的中间体,均具有去芳香的吡啶基团。因此,作者提出了5→6转化的可能机理,首先是吡啶衍生物的脱芳构化插入BC3四元环,随后氢迁移。理论计算结果显示DMAP插入BC3四元环生成中间体IntA和IntB,之后,从IntA到6的缓慢氢迁移可以在高温下缓慢进行,而IntB到6′的转化能垒太高无法进行。因此,虽然在核磁检测中可以同时观察到IntA和IntB的存在,最终反应结束后只有6生成。

图3. 化合物5到6转化的可能机理。图片来源:Angew. Chem. Int. Ed.
多环芳香烃(PAHs)的光物理性质可以通过取代基进行调节。相比于9,1-硼氮杂萘母体化合物,1,2,4,6-多取代的9,1-硼氮杂萘的紫外-可见吸收峰和荧光发射峰有明显的的红移。理论计算进一步证实了实验数据,表明在1位和6位有强π-供体氨基取代基的情况下,能级最高占据分子轨道(HOMO)会变得不稳定,从而导致HOMO-LUMO能隙显著减小。

图4. 9,1-硼氮杂萘母体化合物和1,2,4,6-多取代的9,1-硼氮杂萘6a的前线分子轨道图和轨道能量。图片来源:Angew. Chem. Int. Ed.
该工作通过双炔基硼烷在金属配位域的重排反应合成了单硼氮杂丁富烯,并利用其与吡啶衍生物通过扩环反应生成了9,1-硼氮杂萘6,为具有大张力的杂环的合成和反应性研究提供了新的思路。这项成果在线发表于Angew. Chem. Int. Ed. 上,南方科技大学/香港科技大学联培博士生王君怡为文章第一作者,叶青教授(德国德国维尔茨堡大学)和林振阳教授(香港科技大学)为文章的共同通讯作者。叶青课题组近年在硼杂环化合物研究的代表作还包括:J. Am. Chem. Soc. 2020, 142, 17243; J. Am. Chem. Soc. 2021, 143, 8552; J. Am. Chem. Soc. 2022, 144, 8434; Angew. Chem. Int. Ed. 2022, 61, e202205506。欢迎相关专业博士生和博士后加盟!课题组网站:go.uniwue.de/ye-group
原文(扫描或长按二维码,识别后直达原文页面):

BN-Butafulvenes and Their Application in the Synthesis of Highly Substituted BN-9,1-Naphthalenes
Junyi Wang, Shuai Zhu, Wangyang Ma, Zhenyang Lin, Qing Ye
Angew. Chem. Int. Ed., 2023, DOI: 10.1002/anie.202219062
导师介绍
林振阳
https://www.x-mol.com/university/faculty/38301


