搜索
首页
大数快讯
大数活动
服务超市
文章专题
出海平台
流量密码
出海蓝图
产业赛道
物流仓储
跨境支付
选品策略
实操手册
报告
跨企查
百科
导航
知识体系
工具箱
更多
找货源
跨境招聘
DeepSeek
首页
>
“铋”有不同:Science报道首例“抗磁性”三线态铋宾
>
0
0
“铋”有不同:Science报道首例“抗磁性”三线态铋宾
X-MOL资讯
2023-05-27
3
导读:近日,Josep Cornella和Frank Neese教授团队利用Tamao首创的刚性大位阻MsFluind配体,合成并表征了首例稳定的单配位三线态铋宾,与常见顺磁化合物不同的是,该化合物虽为三线
20世纪初,三苯甲基自由基的发现开启了化学家对持久和稳定自由基的探索。过渡金属和镧系元素的d或f壳层可以填充最多5或7个未成对电子,形成稳定的顺磁化合物(图1A)。相比而言,稳定的主族自由基化合物往往具有含一个未成对电子的主族中心或者呈多中心多自由基的结构;而稳定的主族单中心双自由基尚未有报道,诸如三线态卡宾、氮宾和十五族卡宾类似物(pnictinidenes)(图1A)。在之前的研究中,Tomioka课题组合成的三线态卡宾可以在溶液中存在长达一周,但无法分离得到;Schneider和Holthausen团队利用低温光解晶体学成功表征了首例三线态金属氮宾;而Bertrand等人报道的单配位氮宾和磷宾由于配体的π电子供体效应,具有单线态基态(图1B)。
图1. 带有未成对电子的化合物和单配位氮宾/十五族卡宾类似物概览。图片来源:
Science
之前,三线态铋宾(bismuthinidenes,如BiH和BiMe)只能在气相中进行研究,在固态或溶液中铋宾强烈倾向于二聚或寡聚。稳定的单线态铋宾可以通过大位阻Lewis碱配位的策略稳定,如Dostal的
N,C,N
-钳形铋宾(
N,C,N
-pincer bismuthinidenes)。近几年,
德国
马克斯普朗克煤炭研究所
的
Josep Cornella
课题组利用Dostal型铋宾实现了Bi(I)/Bi(III)氧化还原催化循环,并应用于转移氢化、
N
2
O降解和多氟芳烃的去氟氢化等反应(
J. Am. Chem. Soc
.
2019
,
141
, 4235;
J. Am. Chem. Soc
.
2020
,
142
, 19473;
J. Am. Chem. Soc
.
2021
,
143
, 12487;综述
ACS Catal
.
2022
,
12
, 1382)。近日,
Josep Cornella
和
Frank Neese
教授团队利用Tamao首创的刚性大位阻
M
s
Fluind
配
体,
合成并表征了首例稳定的单配位三线态铋宾,与常见顺磁化合物不同的是,该化合物虽为三线态,但具有独特的表观抗磁性质。
图2. 铋宾
2
的合成与XRD和NMR表征。图片来源:
Science
通过两当量
Cp
2
Co对前体
t
Bu
-
M
s
Fluind-Bi(III)
Br
2
(
1
)进行还原,可以以81%的分离收率克级合成铋宾
t
B
u-
M
s
Fluind-Bi(I)(
2
)(图2A)。以前报道的Lewis碱配位的铋宾和一价铋二聚体(dibismuthenes)均呈深色;而铋宾
2
为浅金黄色固体,表明
2
可能具有独特的电子结构。X射线单晶衍射确定了
2
为单配位铋宾(图2B)。由于配体骨架的刚性和叔丁基取代基的位阻,邻近分子间的Bi∙∙∙Bi距离(4.385 Å)超出范德华半径之和(4.14 Å);当没有叔丁基取代基时,[
M
s
Fluind-Bi(I)
]
2
为二聚体(Bi=Bi: 2.8464(4) Å)。铋宾
2
的C-Bi键为典型的单键(2.2783(10) Å),比Lewis碱配位的铋宾中具有部分双键性质的C-Bi键更长(2.138(10) Å至2.222(5) Å)。铋原子位于配体口袋正中,无溶剂分子配位,与侧翼碳原子(C9、C14和其对称碳)的距离处于Bi∙∙∙C范德华半径之和的边缘。变温核磁表明
2
在-70到90 ℃区间内均具有对称且非动态的结构,而扩散序谱(DOSY-NMR)支持
2
在溶液中为单聚体。尽管铋宾
2
对空气非常敏感,但具有很高的热稳定性——固态的铋宾
2
在室温氩气下数月无分解,
2
的氘代甲苯溶液加热至100 ℃,在一天内也无明显分解。
顺磁化合物的核磁谱通常呈现宽峰、化学位移对
温度
敏感以及反常的化学位移。在铋宾
2
中,邻近铋原子的
1
H
和
13
C
原子表现出非常反常的化学位移(图2C)。相比于Bi(III)(
1
)(7.69和208.9 ppm),受铋中心影响最大的H4和C1(-1.06和-203.8 ppm)分别向高场移动了近9 ppm和410 ppm。与铋共轭的苯环上的碳的化学位移呈现屏蔽-去屏蔽交错的样式,且在空间上邻近的C9、C14及其对称碳也受到去屏蔽的影响(177.7和176.9 ppm)。但与常见的顺磁化合物不同的是,铋宾
2
的所有
1
H
和
13
C
的核磁峰均呈尖峰(除C1),且温度对化学位移几乎无影响。以最为反常的H4和C1为例,在160和100℃区间内只有0.2和2.8 ppm的位移。
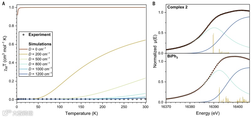
图3. 铋宾
2
的SQUID和XAS表征。图片来源:
Science
为了进一步探究铋中心的电子结构,作者对铋宾
2
进行了超导量子干涉磁力学(SQUID)和X射线吸收光谱学(XAS)测试。在强度为1T的磁场下,在1.8到300 K区间内观测不到铋宾
2
的顺磁响应(图3A)。以Bi(III)P
h
3
为参照物,铋宾
2
的L1边XAS数据表明铋中心处于+1价(图3B,XAS的具体信息见原文)。
图4. 铋宾
2
的电子结构计算。图片来源:
Science
理论计算揭示了铋宾
2
的基态事实上是三线态。使用标量相对论密度泛函理论(scalar relativistic DFT)对
2
进行结构优化,三线态和开壳层单线态的优化结构与XRD结构相近,而闭壳层单线态的结构与之不同(见SI);且三线态的Gibbs自由能比开壳层和闭壳层单线态分别低5 kcal/mol和9 kcal/mol。铋宾
2
的两个SOMO主要由铋的两个简并的6p轨道构成,根据Hund规则,铋中心的两个未成对电子应该自旋相同(图4A)。铋被视为原子序数最大的稳定元素(
209
Bi
的半衰期超过宇宙年龄的十亿倍),相对论效应显著,因此在计算中必须考虑旋轨耦合(spin-orbit coupling,SOC)对该化合物的影响。CASSCF/NEVPT2计算表明铋宾
2
的基态仍由Ms = 0的三线态主导,但混合了约24%的开壳层和闭壳层单线态,从而比Ms = ±1的三线态低4500 c
m
-1
。换言之,铋原子极大的正轴向零场分裂(zero-field splitting,ZFS)导致Ms = 0磁次能级比Ms = ±1低4500 c
m
-1
(约0.55 eV或15 kcal/mol,图4A),既远超过室温下的平均动能(kT≈200 c
m
-1
),又远超过电子顺磁共振(
EPR
)实验所用的微波
能量
(0.3~3 c
m
-1
)。因此,在室温下的磁化实验中,铋宾
2
的Ms = ±1磁次能级几乎没有任何Boltzmann分布,而且在EPR中,也无法观测到任何跃迁信号。理论计算的结果也与UV-vis-NIR数据吻合(图4B):近红外区大约10000 c
m
-1
的弱吸收峰1属于Ms = 0基态向开壳层和闭壳层单线态的激发(计算值为9940 c
m
-1
和10011 c
m
-1
),而另一个位于可见光区的弱吸收峰2则属于向双激发单线态的激发。
需要解释的是,铋宾
2
从本质上来讲是顺磁化合物,但以现有的检测手段无法研究其顺磁特性。在约4800 T的磁场中,Ms = 0和Ms = -1磁次能级简并。地球磁场大约0.000045 T,实验室所用的最强磁体为45.5 T,为观测这一化合物的顺磁性所需的磁场远超出了人类的技术范畴,或许只有超新星爆炸才能提供!另外,化合物
2
的Ms = ±1能级在一千摄氏度的高温下才有大约1%的布居数。因此,作者将该化合物称为“抗磁性”三线态铋宾。
小结
Cornella和Neese团队合成并表征了首例稳定的单配位三线态铋宾,并观测到相对论效应对重原子物理和化学性质的奇特影响,即顺磁化合物也可以表现出表观抗磁性质。
上述研究成果是由德国马普煤炭所和能源转换所共同取得,近日发表于
Science
。
Josep Cornella
博士和
Frank Neese
教授为共同通讯作者,
逄越
博士为第一作者。理论计算部分由Frank Neese教授使用其开发的ORCA软件完成,scXRD测试分析由Nils Nöthling博士和Richard Goddard博士完成,NMR测试分析由Markus Leutzsch博士完成,XAS测试分析由亢立群博士和Serena DeBeer教授完成,SQUID测试分析由Eckhard Bill博士和Daniel SantaLucia博士完成,UV-vis-NIR测试由Maurice van Gastel博士完成,EPR测试由Edward Reijerse博士完成。作者对参与学术讨论的王子宽博士也表示感谢。作者缅怀课题进行过程中不幸离世的Eckhard Bill博士。
原文(扫描或长按二维码,识别后直达原文页面):
Synthesis and isolation of a triplet bismuthinidene with a quenched magnetic response
Yue Pang, Nils Nöthling, Markus Leutzsch, Liqun Kang, Eckhard Bill, Maurice van Gastel, Edward Reijerse, Richard Goddard, Lucas Wagner, Daniel SantaLucia, Serena DeBeer, Frank Neese,* Josep Cornella*
Science
,
2023
, DOI: 10.1126/science.adg2833
点击“
阅读原文
”,查看
化学 • 材料
领域
所有收录期刊
【声明】内容源于网络
0
0
X-MOL资讯
“X-MOL资讯”隶属于X-MOL学术平台(官网x-mol.com),关注化学、材料、生命科学、医学等领域的学术进展与科研前沿,提供专业与深度的内容。公众号菜单还提供“期刊浏览”等强大功能,覆盖各领域上万种期刊的新近论文,支持个性化浏览。
内容
19833
粉丝
0
关注
在线咨询
X-MOL资讯
“X-MOL资讯”隶属于X-MOL学术平台(官网x-mol.com),关注化学、材料、生命科学、医学等领域的学术进展与科研前沿,提供专业与深度的内容。公众号菜单还提供“期刊浏览”等强大功能,覆盖各领域上万种期刊的新近论文,支持个性化浏览。
总阅读
8.1k
粉丝
0
内容
19.8k
在线咨询
关注