搜索
首页
大数快讯
大数活动
服务超市
文章专题
出海平台
流量密码
出海蓝图
产业赛道
物流仓储
跨境支付
选品策略
实操手册
报告
跨企查
百科
导航
知识体系
工具箱
更多
找货源
跨境招聘
DeepSeek
首页
>
南方科技大学刘心元团队Nature:铜催化烷基胺的立体汇聚式N-烷基化反应
>
0
0
南方科技大学刘心元团队Nature:铜催化烷基胺的立体汇聚式N-烷基化反应
X-MOL资讯
2023-03-21
2
导读:刘心元团队近日在Nature 报道了铜/手性三齿阴离子配体催化烷基胺的立体汇聚式N-烷基化反应
手性胺在医药、农药和催化领域中具有广泛应用,手性胺的大量需求,使得不对称合成手性胺领域成为研究热点。Hofmann N-烷基化反应可以直接由廉价易得的工业胺合成更具价值的胺,是一种常用的高效合成高附加值胺的方法。虽然Hofmann N-烷基化反应已经发展了100多年,但手性过渡金属催化立体汇聚式N-烷基化反应的策略尚未报道(图1A)。其反应挑战在于:(a)烷基胺和氨的强路易斯碱性能导致过渡金属催化剂中毒;(b)烷基胺和氨在碱性条件下极易发生非立体选择性的
S
N
2
取代机制的N-烷基化反应;(c)反应产物容易发生过度烷基化反应;(d)烷基胺和氨的弱酸性导致其在金属催化模式下极难去质子化(图1B)。
图1. 研究背景和本文工作
南方科技大学刘心元
团队在自由基不对称催化领域中发展了“铜/手性阴离子催化剂为新型单电子转移催化剂”的策略,利用手性阴离子配体调控金属铜的氧化还原电势,引发卤代烷产生烷基自由基,然后通过多种手性诱导模式实现烷基自由基物种的对映选择性控制,为自由基不对称催化反应提供了一种新策略(
J. Am. Chem. Soc.
2022
,
144
, 17319 (perspective);
Nat. Chem
.
2019
,
11
, 1158;
Nat. Catal.
,
2020
,
3
, 401;
Nat. Catal.
,
2020
,
3
, 539;
Nat. Chem.
2022
,
14
, 949;
Nat. Chem.
2023
,
15
, 395;
Nat. Synth
.
2023
, DOI: 10.1038/s44160-023-00252-3
等)。在这些工作的基础上,刘心元团队设想能否设计一种对过渡金属具有较强螯合能力的可精细调控的手性多齿阴离子配体,在解决烷基胺毒化金属铜的问题的同时,克服
S
N
2
背景反应的影响。在此基础上,通过课题组多种手性诱导催化模式,实现烷基胺的立体汇聚式 N-烷基化反应。基于上述设想,刘心元团队近日报道了
铜/手性三齿阴离子配体催化烷基胺的立体汇聚式N-烷基化反应
(图1C)。该方法可以在温和的条件下将各种工业原料胺、含胺药物分子甚至氨直接一步转化为非天然手性α-氨基酸衍生物,具有优秀的对映选择性和官能团耐受性。该反应实用性强:手性配体可以百克级大量合成且无需纯化,可以将复杂药物分子拼接合成孪药等。机理研究表明:反应经历了球外机制的机理,胺源无需去质子化直接进攻手性四元环过渡态中间体,解决了烷基胺去质子化困难及立体选择性控制的问题;手性多齿阴离子配体的强螯合作用,是解决过渡金属催化剂毒化问题的关键所在。相关成果以“铜催化烷基胺的立体汇聚式N-烷基化反应(
Enantioconvergent Cu-catalyzed N-alkylation of aliphatic amines
)”为题,在《自然》(
Nature
)上发表。
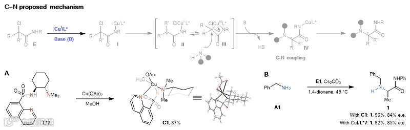
基于手性非天然α-氨基酸衍生物在有机合成、生物、制药和材料科学等多个领域有着广泛的应用,作者首先研究了苄胺
A1
与外消旋α-羰基烷基氯
E1
的N-烷基化反应(图2)。作者使用其课题组前期发展的铜催化剂与金鸡纳生物碱衍生的双齿阴离子磺酰胺配体
L*1
成功地以68%的收率及87%的对映选择性得到目标产物
1
。作者推测,中等的反应效率和对映选择性在一定程度上表明催化剂发生了毒化。随后,作者通过将配体
L*3
中的1-萘基换成
L*4
中的8-喹啉基,通过额外引入新的配位点增强配体螯合能力,解决毒化问题。如预期所示,
L*4
确实提高了目标产物
1
的收率和对映选择性。此外,使用邻位甲基屏蔽掉喹啉的配位点,产物收率和对映选择性会相应的降低,说明所设计的三齿螯合模式是该反应成功实现的关键。通过进一步细致优化,最终得到最佳的反应条件如下:
A1
与1.5当量的
E1
在10 mol%的CuI、15 mol%的
L*4
和3.0当量的
Cs
2
CO
3
,1,4-二氧六环作为溶剂,45 ℃条件下反应72小时,以98%的收率、92%的对映选择性得到α-手性烷基胺
1
。此外,作者能够通过市售的原料大量制备配体
L*4
且
无需纯化
,将未纯化的配体用于模板反应,催化性能不受影响。
图2. 反应条件的优化和配体放大
该方法以高化学选择性和高对映选择性地实现了一系列α-手性氨基酸衍生物的快速构建,并且底物适用范围十分广泛(>180个实例),可以适用于各种不同类型的烷基胺,其中包括一级、二级的链状、环状烷基胺、大宗商品化烷基胺以及含胺药物分子(图3)。该方法甚至可以兼容更具挑战性的氨。
图3. 底物范围。图片来源:
Nature
为了证明该反应的应用价值,作者进行了一系列的转化应用。通过简单转化可快速制备六种孪药,同时还可以对药物分子的进行后修饰。除此之外,该反应还能应用于商业化药物Xadago的合成及活性分子γ-Secretase inhibitor的合成。
图4. 应用于转化。图片来源:
Nature
为了揭示反应机理,作者进行了一系列的机理实验:(1)通过单晶结构揭示了N,N,N-手性配体与金属铜的三齿螯合模式(图5A);(2)发现这种Cu(II)络合物与原位生成的催化剂具有相似的催化活性(图5B);基于以上实验,作者推测铜/手性阴离子催化剂
C1
是反应的活性中间体;(3)通过NMR、HRMS、DFT计算证明反应可能产生了中间体
I
(图6);(4)通过自由基时钟实验和反应混合物的
EPR
和HRMS分析证明反应过程中可能形成了烷基自由基(图7A和7B);(5)通过对照实验证明,在没有胺的情况下,反应也能够启动,说明了烷基胺可能没有参与铜催化活化卤代烷产生自由基的过程(图7C和7D);(6)通过对同时含有烷基胺和亚磺亚胺官能团的底物进行选择性实验探究发现,目前实现的立体汇聚式N-烷基化反应的机制与之前报道过的亚砜亚胺C-N交叉偶联(
J. Am. Chem. Soc.
2021
,
143
, 15413
)的反应机制是不同的(图8)。根据以上所有实验结果,作者提出可能的反应机理是:外消旋α-羰基烷基氯代烃通过分子内卤素转移产生潜手性自由基物种实现去消旋化,然后产生手性
Cu
III
物种,最后烷基胺作为亲核试剂通过外球机制进攻
Cu
III
物种实现最终转化(图9)。
图5. 铜/手性阴离子催化剂的合成和反应性。图片来源:
Nature
图6. 中间体
I
的实验捕获和DFT计算。图片来源:
Nature
图7. 自由基实验和反应启动实验。
图片来源:
Nature
图8. 不同C-N形成机理。
图片来源:
Nature
图9. 反应机理。
图片来源:
Nature
总结
手性胺在医药、农药和催化领域中应用广泛,需求量大但合成策略有限。刘心元团队发展的铜催化的立体汇聚式N-烷基化反应简单高效,条件温和,底物兼容性广,实用性强,为医药研发及其他领域提供了一个有效实用的
工具
。
此研究工作南方科技大学为唯一通讯单位;
陈继君、方家恒
和
杜炫毅
为共同第一作者;
董哲
教授参与讨论和修改文章;
刘心元
教授为唯一通讯作者。该课题组所有研究项目都得到了国家自然科学基金委员会、科技部、广东省科技厅、
深圳
市科创委、深圳市诺贝尔奖科学家实验室等项目的大力资助。
原文(扫描或长按二维码,识别后直达原文页面):
Enantioconvergent Cu-catalyzed N-alkylation of aliphatic amines
Ji-Jun Chen, Jia-Heng Fang, Xuan-Yi Du, Jia-Yong Zhang, Jun-Qian Bian, Fu-Li Wang, Cheng Luan, Wei-Long Liu, Ji-Ren Liu, Xiao-Yang Dong, Zhong-Liang Li, Qiang-Shuai Gu, Zhe Dong and Xin-Yuan Liu *
Nature
,
2023
, DOI: 10.1038/s41586-023-05950-8
点击“
阅读原文
”,查看
化学 • 材料
领域
所有收录期刊
【声明】内容源于网络
0
0
X-MOL资讯
“X-MOL资讯”隶属于X-MOL学术平台(官网x-mol.com),关注化学、材料、生命科学、医学等领域的学术进展与科研前沿,提供专业与深度的内容。公众号菜单还提供“期刊浏览”等强大功能,覆盖各领域上万种期刊的新近论文,支持个性化浏览。
内容
19832
粉丝
0
关注
在线咨询
X-MOL资讯
“X-MOL资讯”隶属于X-MOL学术平台(官网x-mol.com),关注化学、材料、生命科学、医学等领域的学术进展与科研前沿,提供专业与深度的内容。公众号菜单还提供“期刊浏览”等强大功能,覆盖各领域上万种期刊的新近论文,支持个性化浏览。
总阅读
15.7k
粉丝
0
内容
19.8k
在线咨询
关注