
有机金属亲核试剂参与的对映选择性偶联化学是构建C(sp3)–C(sp3)化学键的高效方法之一。然而目前不对称偶联策略所应用的亲核试剂大多基于烷基锌试剂、烷基镁试剂,少数基于特殊的烷基硼试剂(9-BBN)。而相对较为容易制备、对活泼氢、官能团具有较好兼容性的烷基锆试剂却鲜有研究。目前只有牛津大学的Stephen Fletcher教授完成了烷基锆与α,β不饱和酮的不对称共轭加成反应(ACA,Nat. Chem., 2012, 4, 649)和与烯丙基卤代烃不对称取代反应(AAA,Nature, 2015, 517, 351)。近期,北京生命科学研究所的齐湘兵课题组首次开发了由二级烷基锆硼亲核试剂与卤代烃的不对称偶联反应。该工作另辟蹊径,利用可见光照射活化较为惰性的烷基锆试剂,在镍基催化剂的作用下成功与芳基碘、烷基溴分别完成了C(sp2)–C(sp3)和 C(sp3)–C(sp3)的不对称偶联反应,并获得了大量可进一步衍生的手性硼烷中间体,并通过晶体学证据、EPR实验、DFT计算详细研究了自由基的产生、催化剂的配位形式、配体的手性控制等等,在不对称自由基偶联领域开拓了一个全新的研究方向。

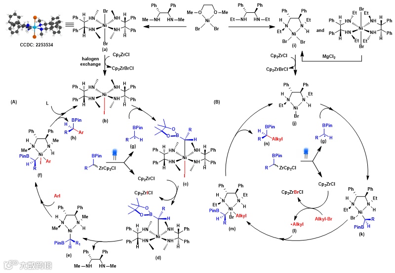
作者进行了一系列条件筛选,利用手性邻二胺类配体作为立体选择性控制源,采用蓝光 LED 照射和Ni(DME)Br2催化。该不对称偶联工作在反应拓展方中表现优秀,在烷基、芳基等50余种底物中,涵盖了醇、酰胺、酯、酮、腈等高活性、敏感官能团,并表现出卓越的反应效率和对映选择性。其最高对映选择性在C(sp3)–C(sp2)和C(sp3)–C(sp3)不对称偶联中均超过99%ee,平均值达到93.5%ee。他们还探索了将原料烯基硼烷的制备过程与不对称偶联反应相结合,实现了从炔烃出发"一锅法"完成其不对称双官能化,并尝试通过烷基锆的"链行走"能力以及硼烷对“链行走”的诱导能力,在不同烯基硼混合物中实现了统一产物的合成,展示出出色的应用潜力。

此外,在机理研究中,作者在之前的工作中阐述了烷基锆及其衍生物在蓝光LED中发生碳—金属键均裂产生自由基的可能(Chem, 2020, 6, 675, J. Am. Chem. Soc., 2020, 142, 11506),而在此工作中,作者通过自由基捕获和电子自旋共振(EPR)实验,真实捕获并验证了烷基锆硼试剂在LED蓝光照射下生成了烷基硼自由基、并通过α-溴代环丙烷的自由基钟开环实验证明了低价态锆物种的存在。在传统的以联吡啶、吡啶恶唑、三联吡啶等双齿、三齿配体参与的镍催化偶联反应中,镍往往与配体呈1:1的化学计量比进行络合,但在本工作中,作者发现在N,N-二甲基-1,2-二苯基乙二胺配体催化的C(sp3)–C(sp2)不对称偶联反应中,产物的ee值与配体的ee值呈现凹型的非线性关系。作者培养了该配体与二溴化镍的络合物晶体,晶体结构也表明镍与N,N-二甲基-1,2-二苯基乙二胺络合计量关系为1:2,并且该晶体也可以高效、高不对称选择性替代标准条件催化偶联反应。因此,作者推测在C(sp3)–C(sp2)不对称偶联反应中,手性决定步骤经历了不寻常的双配体单金属的ML2催化模式。
在N,N-二乙基-1,2-二苯基乙二胺催化的C(sp3)–C(sp3)不对称偶联反应中,其配体与C(sp3)–C(sp2)反应中的配体仅是甲基/乙基的区别,然而却展现出了截然不同的反应机理。经测试,配体与产物的ee值呈线性关系,因此在手性决定步骤中推测镍为单配体状态。此外,在反应动力学实验中,作者发现C(sp3)–C(sp3)不对称偶联中烷基锆硼与烷基溴代物的反应级数均为1级,结合环丙基甲基溴代物与烷基锆硼在无催化剂下的光照控制实验下的自由基开环过程,作者推测反应可能经历了烷基锆硼在光照下还原烷基卤代烃产生烷基自由基,随后对金属进行自由基加成的过程,而非传统的氧化加成过程。

作者随后通过DFT计算定量研究了反应过程,并支持了前文通过实验归纳得到的机理。在对于手性决定步骤的过渡态能量的计算中,预测的对映选择性与实验值相近,通过分析过渡态结构得出了手性二胺类配体通过“氢键锚定”的方式与镍络合物相结合(见上图),在正确构型的过渡态中,两个二胺配体维持了一个四边形平面,而在错误的构型下,由于配体位阻的存在,频哪醇硼烷的头部与配体发成了挤压,扭曲了整个配位平面,进而导致了能力上升。作者对手性控制的计算研究对二胺类配体在不对称反应中的性质和手性控制模式提供了新的思考。
在C(sp3)–C(sp3)不对称偶联反应中,作者还通过计算讨论了添加剂MgCl2对于反应的影响。MgCl2在偶联反应中多作为添加剂存在,但鲜有工作研究其在机理中的作用。作者通过计算发现MgCl2会与Ni(DME)Br2竞争二胺配体的络合,并且MgCl2的与“乙基”二胺配体的结合能恰好处于Ni(DME)Br2与配体以1:1的方式络合和1:2的方式络合的结合能之间,这使得MgCl2不会破坏镍与单个二胺配体的络合的同时与反应中过量的配体结合,避免其干扰在C(sp3)–C(sp3)不对称偶联反应中的单配体单金属催化模式。

综上,本工作首次实现了烷基锆硼试剂在不对称交叉偶联反应中的应用,首次发现并验证了烷基锆硼在蓝光LED照射下均裂产生自由基的机制,以此发展了其C(sp3)–C(sp3)不对称偶联与C(sp3)–C(sp2)不对称偶联。在此基础上,本工作还为烷基锆在过渡金属催化偶联、自由基类反应中的应用提供了新的理论基础,并对二胺类配体在未来不对称催化中的应用提供了新的思路。
本文通讯作者为北京生命科学研究所/清华大学生物医学交叉研究院齐湘兵研究员。齐湘兵实验室杨超、2020级PTN学生白松霖为本文第一作者,该论文的其他作者还包括中国医学科学院药物研究所高亚东助理研究员,齐湘兵实验室吴青翠。感谢中国科学院理化技术研究所吴骊珠教授以及慈瑞楠同学在量子产率实验上提供的支持和贡献;感谢中科院上海有机化学研究所汤文军教授在二胺配体合成上提供的建议和技术支持;感谢济南大学刘晓磊博士在紫外-可见光谱实验上提供的帮助;感谢北京大学药学院刘国全研究员以及宦澍雨同学在EPR实验上的贡献。该研究由科技部973项目(2014CB849603)、国家自然科学基金资助(82225041),在北京生命科学研究所完成。
原文(扫描或长按二维码,识别后直达原文页面):

Visible-light-induced enantioselective radical cross-coupling of C(sp3)-borazirconocene
Chao Yang, Songlin Bai, Yadong Gao, Qingcui Wu, Xiangbing Qi
Chem, 2023, DOI: 10.1016/j.chempr.2023.04.006
齐湘兵课题组网站:
https://www.x-mol.com/groups/qixiangbing
课题组网站
实验室LOGO


