大数跨境
0
0

Nat. Chem.:双环[1.1.1]戊烷和双环[2.1.1]己烷中三级C-H键的催化无导向硼化

Nat. Chem.:双环[1.1.1]戊烷和双环[2.1.1]己烷中三级C-H键的催化无导向硼化 X-MOL资讯
2023-05-14
1
导读:UC Berkeley的John F. Hartwig等报道了一种通用的铱催化C-H键硼化反应,高效地实现了BCPs、BCHs和XBCHs的桥头三级C-H键硼化,选择性地构建了一系列桥头硼酸酯产物


近年来,铱催化的硼化反应使得烷基C-H键的无导向硼化成为获取烷基硼酸酯的实用方法。通常情况下,金属催化的硼化反应在一级C-H键上进行,若没有可反应的一级C-H键,那么会在由环张力或吸电子基团活化的二级C-H键上进行。近一段时间的报道中,基于自由基的C-H键硼化反应也发生在一级和二级C-H键上,而非三级C-H键,这就意味着目前三级C-H键的催化硼化还尚未见诸报道(图1a)。事实上,自从Lovering提出“escape from flatland”概念后,合成界对富含sp3片段的候选药物越来越感兴趣,这是因为高张力的双环[1.1.1]戊烷(BCPs)结构单元被用作单取代和对二取代苯、内部炔烃和叔丁基的潜在生物电子等排体,而相关的双环[2.1.1]己烷(BCHs)以及氧杂和氮杂双环[2.1.1]己烷(XBCHs)也可分别作为邻二取代和间二取代苯以及吡咯烷的构象约束等价物的可能生物电子等排体。在许多情况下,用这些饱和双环骨架对双取代苯和吡咯烷进行生物等排取代后,会赋予候选药物更大的刚性、更高的溶解度和更高的代谢稳定性(图1b),因此迫切需要发展一种高效的方法来实现官能团化BCPs/BCHs的合成。

近日,美国加利福尼亚大学伯克利分校(UC Berkeley)的John F. Hartwig、西班牙杨森研发中心Antonio Misale以及乌克兰基辅大学Dmitriy M. Volochnyuk等研究者合作,报道了一种通用的铱催化C-H键硼化反应,高效地实现了BCPs、BCHs和XBCHs的桥头三级C-H键硼化,从而选择性地构建了一系列桥头硼酸酯产物(图1d)。该反应不仅底物范围广、官能团耐受性好,而且硼酸酯产物还可经多种反应进一步转化为1,3-二取代双环结构单元。此外,动力学和计算研究表明C-H键裂解的能垒适中,并且该反应的转化限制步是在形成C-B键的还原消除之前发生的异构化。相关成果发表在Nature Chemistry 上。

图1. 烷基C-H键的硼化状态、BCPs的应用及其合成路线。图片来源:Nat. Chem.

首先,作者以4-叔丁基苯基双环戊烷1b为模板底物对反应条件进行筛选,并得到最佳条件:即1b(1 equiv)和B2pin2(1.5 equiv)在[Ir(COD)(OMe)]2(2.5 mol%)为催化剂、2-mphen(5 mol%)为配体、环辛烷为溶剂的条件下于100 °C进行反应,能以86%的NMR收率、56%的分离收率得到桥头C-H键硼化产物1a。在最优条件下,作者对BCPs的底物范围进行了考察(图2),结果显示芳烃(1a、2a)、硫化物(3a)、锡烷(4a)、溴化物(5a)、酯基(8a-10a)、酰亚胺(15a)、酰胺(16a)和N-Boc环胺(17a18a)取代的BCPs甚至药学相关化合物(20a、21a)均专一性地在桥头三级C-H键进行硼化反应,同时在原位进行保护(6a、7a)后也可耐受醇羟基。此外,含有砜基和磺酰胺单元(11a-14a)的BCPs在三级C-H键处产生硼化产物,而甲基砜的甲基C-H键和伯磺酰胺的N-H键也发生硼化反应,但这些位置的B-C和B-N键不稳定,在后处理时被选择性水解,因此仅得到桥头位置硼化的产物(11a12a)。类似地,含有空间可及芳基C-H键的底物也同时在芳基和桥头C-H键发生硼化反应(19a)。值得一提的是,11b16b还能以4.0 mmol规模进行硼化反应,分别以58%(631 mg)和95%(1.89 g)的收率获得所需产物,并且与较小规模反应的产率相当。

图2. 底物扩展。图片来源:Nat. Chem.

此外,该反应还能实现张力双环或三环体系中的桥头三级C-H键硼化反应,例如:全碳双环-[2.1.1]-己烷(22a)、氧杂双环-[2.1.1]-己烷(23a-26a)和氮杂双环-[2.1.1]-己烷(27a-38a)均可以在三级C-H键处形成相应的硼酸酯(图3),同时能够耐受酯基、醇羟基、溴化物、三氟甲基、酰胺、叔胺、伯酰胺和TIPS保护的炔基等官能团。值得一提的是,双环-[2.1.1]-己烷上的亚甲基C-H键不具有反应性,这可能是由于该位置附近的季碳中心对亚甲基氢的空间位阻所致。然而,双环-[1.1.0]-丁烷和立方烷进行反应时产生了复杂的混合物,张力较小的双环-[2.2.1]-庚烷(降冰片烷)在本文的条件下却没有反应。

图3. 底物扩展。图片来源:Nat. Chem.

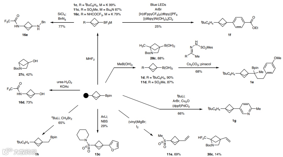
接下来,作者将得到的桥头硼酸酯产物进行了一系列衍生化(图4)。具体而言:1)在MHF2的作用下转化为反应性更高的三氟硼酸盐1c(收率:99%)、11c(收率:87%)和16c(收率:79%),其中1c与芳基溴化物在金属光氧化还原催化下实现偶联,以25%的收率得到3-芳基BCP(1f);2)利用甲基硼酸将产物转化成活性更高的硼酸1d(收率:90%)、11d(收率:87%)和28c(收率:88%),其中1d经分子间Barluenga-Valdés偶联可以68%的收率获得1e;3)硼酸酯1atBuLi活化后可通过钯催化的偶联反应得到3-芳基BCP(1g,收率:66%),也可以通过Matteson同系化反应得到相应的产物1h(收率:65%);4)硼酸酯11a30a经Zweifel烯基化反应可分别合成3-烯基BCP(11e,收率:69%)和3-烯基XBCH(30c,收率:14%);5)硼酸酯13a经杂芳基化可以29%的收率得到3-杂芳基BCP(13c);6)3-硼基BCPs也可以经历氧化或胺化实现杂原子取代BCPs的合成,包括:16d(收率:73%)、27c(收率:42%)和16e(收率:77%)。

图4. 硼酸酯产物的衍生化。图片来源:Nat. Chem. 

如图5a所示,作者通过一系列分子间竞争实验比较了BCPs中三级C-H键与其它sp2sp3 C-H键硼化速率,结果显示BCPs中桥头三级C-H键的硼化速率与环丙烷羧酸叔丁酯中张力二级C-H键的硼化速率相当,这远慢于1,3-二氯苯中芳基C-H键硼化速率,但远快于未活化烷基C-H键的硼化速率,这可能是由于BCPs中C-H键的s-组分增加所致。其次,作者还测量了各种BCPs和非BCP底物的1JC-H耦合常数,结果显示BCPs和XBCHs的1JC-H耦合常数与芳基和环丙基C-H键的耦合常数相当。此外,竞争实验还表明BCPs的相对反应速率与1JC-H耦合常数和取代基的电负性之间并没有明显的相关性(图5b)。

图5. 竞争实验和1JC-H耦合常数的测量。图片来源:Nat. Chem.  

为了进一步探究反应机理,作者进行了一系列控制实验。如图6a所示,3,5-二(叔丁基)苯基双环戊烷(2b)和4-叔丁基苯基双环戊烷(1b)或4-叔丁基苯基双环戊烷-d11b-d1)的混合物在标准条件下进行反应时得到KIE值为1.8±0.1,这表明C-H键的断裂是可逆的;而4-叔丁基苯基双环戊烷(1b)或4-叔丁基苯基双环戊烷-d11b-d1)分别在tmphen为配体的条件下进行反应时得到的KIE值也为1.8±0.1(图6b),这表明C-H键的断裂可能不是反应的决速步。另外,动力学实验表明硼化反应对于底物来说是一级反应,对于催化剂也是一级反应,而对于B2pin2则是零级反应(图6c)。

图6. 机理研究。图片来源:Nat. Chem. 

最后,作者以双环戊烷为底物进行了密度泛函理论计算(图7),结果显示双环戊烷(R-H)与三硼基物种(tmphen)Ir(Bpin)3([Ir](Bpin)3)的氧化加成是可逆的(势垒23.3 kcal mol-1),并且计算显示该过程的KIE值为2.03,这与4-叔丁基苯基双环戊烷的实验KIE值(1.8)相一致。在此基础上,作者提出了可能的反应机理:首先,桥头C-H键与三硼基物种(tmphen)Ir(Bpin)3(简写为[Ir](Bpin)3)发生可逆的氧化加成得到七配位Ir(V)物种[Ir](Bpin)3(R)(H),再通过异构化得到七配位中间体iso-[Ir](Bpin)3(R)(H),该步骤是反应的转化限制步(turnover-limiting step)。接着,iso-[Ir](Bpin)3(R)(H)经快速还原消除(势垒仅为3.6 kcal mol-1)得到所需的硼化产物和Ir(H)(Bpin)2,再与B2pin2反应便可再生催化剂[Ir](Bpin)3

图7. 计算研究。图片来源:Nat. Chem. 

总结

本文研究团队利用铱催化策略,高效地实现了BCPs、BCHs和XBCHs的桥头三级C-H键硼化反应,选择性地构建了一系列桥头硼酸酯产物。该反应不仅底物范围广、官能团耐受性好,而且硼酸酯产物还可经多种反应进一步转化为1,3-二取代双环结构单元。毫无疑问,这项工作为大位阻和未活化烷基C-H键官能团化研究提供了新策略。

原文(扫描或长按二维码,识别后直达原文页面):
Catalytic undirected borylation of tertiary C-H bonds in bicyclo[1.1.1]pentanes and bicyclo[2.1.1]hexanes
Isaac F. Yu, Jenna L. Manske, Alejandro Diéguez-Vázquez, Antonio Misale, Alexander E. Pashenko, Pavel K. Mykhailiuk, Sergey V. Ryabukhin, Dmitriy M. Volochnyuk, John F. Hartwig 
Nat. Chem., 2023, 15, 685–693, DOI: 10.1038/s41557-023-01159-4



点击“阅读原文”,查看 化学 • 材料 领域所有收录期刊

【声明】内容源于网络
0
0
X-MOL资讯
“X-MOL资讯”隶属于X-MOL学术平台(官网x-mol.com),关注化学、材料、生命科学、医学等领域的学术进展与科研前沿,提供专业与深度的内容。公众号菜单还提供“期刊浏览”等强大功能,覆盖各领域上万种期刊的新近论文,支持个性化浏览。
内容 19833
粉丝 0
X-MOL资讯 “X-MOL资讯”隶属于X-MOL学术平台(官网x-mol.com),关注化学、材料、生命科学、医学等领域的学术进展与科研前沿,提供专业与深度的内容。公众号菜单还提供“期刊浏览”等强大功能,覆盖各领域上万种期刊的新近论文,支持个性化浏览。
总阅读8.1k
粉丝0
内容19.8k