搜索
首页
大数快讯
大数活动
服务超市
文章专题
出海平台
流量密码
出海蓝图
产业赛道
物流仓储
跨境支付
选品策略
实操手册
报告
跨企查
百科
导航
知识体系
工具箱
更多
找货源
跨境招聘
DeepSeek
首页
>
余金权团队Science:合成苯并环丁烯的新策略
>
0
0
余金权团队Science:合成苯并环丁烯的新策略
X-MOL资讯
2023-05-15
2
导读:美国斯克利普斯研究所的余金权教授团队利用双齿酰胺-吡啶酮配体,通过Pd催化脂肪族羧酸的β-和γ-位顺序亚甲基C-H键活化,成功地实现了脂肪族羧酸和二卤代芳烃的[2+2]环加成反应
副标题:两相邻C(s
p
3
)-H键的区域可控性[2+2]苯环化反应
苯并环丁烯(BCBs)是一类广泛存在于天然产物中的重要刚性四元碳环,并且还可作为药物分子骨架、多功能合成子以及材料科学和机械化学中的功能基元,具有巨大的应用潜力(图1A)。例如,药物化学家基于BCB的刚性和三维药效作用发现了治疗心力衰竭和心脏相关性胸痛的药物伊伐布雷定。另外,与构象柔性的母体化合物和苯并环戊烷类似物相比,精神活性物质2C-B(4-溴-2,5-二甲氧基苯乙胺)的BCB类似物对人类5-羟色胺2A(5-HT2A)受体具有更强的亲和力。目前,烯烃和苯炔的[2+2]环加成反应是合成BCBs最常见的途径之一。然而,要想实现此类反应的区域选择性控制仍极具挑战性,这是因为取代烯烃和苯炔之间的[2+2]环加成反应通常会导致头-头和头-尾区域异构体以及多个非对映异构体的混合物(图1B),同时无法兼容杂环化合物。有鉴于此,化学家发展了许多替代的分子内过程,包括:
o
-quinodimethane的环化反应、C-H键环化芳基化、可见光诱导的自由基过程等。最近,祝介平教授报道了钯(II)催化芳基硼酸与烯烃的氧化[2+2]环化反应来合成苯并环丁烯(
J. Am. Chem. Soc.
,
2022
,
144
, 8920-8926),但是该方法依然存在区域选择性的问题。此外,由于需要预先安装双键或三键等反应性官能团,因此现有构建BCB分子的方法会受到底物范围和效率的限制。
2022年,
美国
斯克利普斯研究所
(The Scripps Research Institute)的
余金权
教授团队将钯催化剂与不同螯合环尺寸的喹啉-吡啶酮配体相组合,成功地实现了钯催化脂肪族羧酸的β-或γ-C-H键活化(
Science
,
2022
,
376
, 1481-1487,
点击阅读详细
)。在此基础上,他们设想能否通过脂肪族羧酸与二卤代芳烃的β-和γ-位顺序亚甲基C-H键活化来实现[2+2]环化反应以构建BCB分子?近日,他们在
Science
上发表论文,
利用双齿酰胺-吡啶酮配体,通过Pd催化脂肪族羧酸的β-和γ-位顺序亚甲基C-H键活化,成功地实现了脂肪族羧酸和二卤代芳烃的[2+2]环加成反应
(图1C),
区域可控性地构建了一系列BCB以及杂环BCB分子,极大地扩展了各种BCB分子的合成途径。
图1. [2+2]环加成-双亚甲基C−H键官能团化。图片来源:
Science
先前在双羧酸位点选择性亚甲基C–H键内酯化反应的机理研究实验中,作者观察到了庚二酸氢乙酯的β,γ-C-H键氘化,因此他们尝试利用邻二卤代芳烃的连续双重C-H键偶联反应来构建BCB骨架。具体而言,以1-丙基-1-环戊烷羧酸(
1a
)为模板底物、1-溴-4-氯-2-碘苯(
2a
)为偶联试剂、
Ag
2
CO
3
为卤化物清除剂对反应条件进行优化,结果显示吡啶-吡啶酮配体能够获得单一的异构体——BCB(
3a
),尽管产率较低。另外,受2-吡啶酮作为C-H键裂解的内部碱以及缺电子酰胺单元作为Pd(II)在C(s
p
3
)-H键活化中导向基团的优越反应性的启发,作者合成了一系列含有吡啶酮和全氟苯胺衍生的缺电子酰胺的双齿配体,其中酰胺-吡啶酮配体
L1
作为五元螯合物与Pd(II)配位,有效地提高了反应产率(38%);而通过广泛的结构调整,配体
L7
可以90%的分离产率获得BCB(
3a
),并且能以克级规模进行制备(1.05 g,分离产率:88%)。
图2. 环状脂肪酸底物拓展。图片来源:
Science
在最优条件下,作者对[2+2]环化反应的底物范围进行了考察(图2),结果显示五元(
1a-1l
)、六元(
1m-1t
)、七元(
1u-1v
)和八元(
1w
)环脂肪族羧酸均可兼容该反应,以单一的区域异构体获得相应的
cis
-BCB产物(
3a-3w
);而较大的环状脂肪族羧酸(如:11元环(
1x
)、12元环(
1y
)和15元环(
1z
))则主要获得
trans
-BCB异构体,其中喹啉-吡啶酮配体
L28
更适用于8-15元环脂肪酸(
1w-1z
),并通过X-射线单晶衍射分析证实
3h
和
trans
-
3y
的结构。值得注意的是,配体
L7
可将Pd催化剂负载量从10%降低至5%或1%,并且二卤代芳烃(
2a
)和酸(
1a-1i
)之间的反应产率没有明显降低。另外,该反应还能在羧酸α-位上耐受各种取代基,例如:带有不同电性基团的烷基(
3a-3f、3l-3q、3s、3u
)和芳基(
3g-3j、3r
),尽管存在反应性甲基和芳基C-H键。双环脂肪酸(
1l
)可以32%的产率获得相应的稠合6-5-4-6环(
3l
),而含有α-H(
1k、1t、1v-1z
)的脂肪酸可以20%~52%的产率获得相应产物(
3k、3t、3v-3z
)。
图3. 无环脂族酸底物拓展和产物转化。图片来源:
Science
除环状脂肪酸之外,非环状脂肪族羧酸同样能实现这一转化,并且研究发现六元螯合酰胺-吡啶酮配体
L12
效果最好。如图3所示,含有
α-gem
-二甲基(
4a-4l
)或单甲基(
4n-4o
)的脂肪酸也可兼容该反应,尽管存在通常更容易接近的α-甲基C-H键。类似地,该反应还能耐受多种官能团,包括:甲氧基(
5d
)、氯原子(
5e-5f
)、膦酸酯(
5g
)、取代芳基(
5h-5l
)。除了含有α-季碳中心的底物(
4a-4o
)外,含有α-H的脂肪酸(
4p-4q
)也可顺利进行反应,并以中等产率获得相应产物
5p
和
5q
。其次,作者还对苯并环丁烯羧酸产物进行了一系列衍生化,例如:1)产物
5a
与
N
-甲基马来酰亚胺发生Diels-Alder反应以60%的产率获得产物
6
;2)
5a
还可以转化为具有重要药用价值的胺
7
;3)脂肪酸
4a
和
N
-二卤化芳基酰胺
10
经[2+2]环化反应合成生物活性分子——苯并环丁基酰胺(
11
),该化合物能用于农作物保护。
图4. 二卤代芳烃的底物拓展。图片来源:
Science
接下来,作者探索了溴碘二卤代芳烃的底物适用性(图4A),结果显示不同基团取代的溴碘二卤代芳烃均可兼容该反应,例如:不同位置的甲基(
12c-12f
)、氟原子(
12g
)、氯原子(
12h
)、溴原子(
12i-12j
)、供电子基团(
12k-12l
)、吸电子基团(
12m-12t
)、羧酸(
12u
)等。此外,二溴代芳烃(
2b
Br
,2v-2y
)和二碘代芳烃(
2
b
I
)同样能实现这一转化,并以中等至较高的产率获得相应的BCBs产物(图4B)。值得注意的是,
1b
与2,3-二溴甲苯(
2c
Br
)进行反应时获得了两个区域异构体(
12c
和
12d
,r.r.=2.5:1)的混合物,这表明具有两个不同活性位点的溴碘代芳烃对于反应区域选择性的控制至关重要。另一方面,二卤代杂芳烃(如:吡啶(
13a-13b、13j-13l
)、喹啉(
13c-13d
)、喹喔啉(
13e
)、吲哚(
13f
))同样可以中等至较好的产率获得相应的杂-BCBs产物(图4C),同时还能耐受吡咯(
13g
)、噻吩(
13h
)和呋喃(
13i
)。此外,生物活性结构衍生的二卤代芳烃也可以兼容该反应,例如:塞来昔布(
13m
)、孕烯醇酮(
13n
)、半乳糖(
13o
)和薄荷醇(
13p
),并且还能实现生物活性分子(如:吉非罗齐(
13q
)、异甜菊醇(
13r
))的后期修饰。
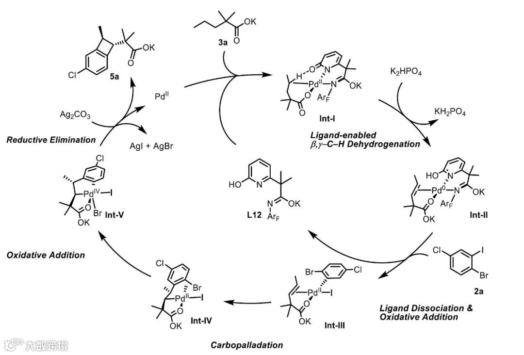
图5. 反应机理研究。图片来源:
Science
最后,作者通过各种实验对反应机理进行了研究,结果表明该过程符合高度复杂的Pd(II)/Pd(0)/Pd(II)/Pd(IV)催化反应途径(图5)。具体而言:Pd(II)与脂肪族羧酸和酰胺-吡啶酮配体配位形成中间体
Int-I
,其在双齿配体的促进下实现γ-C-H键裂解。随后,经过β-H消除形成Pd(0)中间体
Int-II
,发生配体解离和Pd(0)分子间氧化加成形成Pd(II)物种
Int-III
,接着发生定向碳钯化形成中间体
Int-IV
,其
通过分子内C-Br键氧化加成生成
Pd(IV)物种
Int-V
。最后,
Int-V
经还原消除便可获得所需产物BCB,同时再生Pd(II)催化剂。需要指出的是,要生成BCB单一区域异构体,以下两个基本步骤必须是区域选择性的:1)反应性更强的芳基C-I键与Pd(0)的氧化加成;2)受导向效应控制的的碳钯化(将芳基置于γ位,Pd(II)置于β位)。
总结
余金权教授团队利用酰胺-吡啶酮配体,通过Pd催化脂肪族羧酸β-和γ-位的顺序亚甲基C-H键活化,成功地实现了脂肪族羧酸和二卤代芳烃的[2+2]区域可控性环加成反应,构建了一系列不同的BCB以及杂环BCB分子,极大地扩展了各种BCB分子的合成途径。
原文(扫描或长按二维码,识别后直达原文页面):
Regio-controllable [2+2] benzannulation with two adjacent C(s
p
3
)–H bonds
Ji-Min Yang, Yu-Kun Lin, Tao Sheng, Liang Hu, Xin-Pei Cai, Jin-Quan Yu
Science
,
2023
,
380
, 639-644, DOI: 10.1126/science.adg5282
导师介绍
余金权
https://www.x-mol.com/university/faculty/694
(本文由
吡哆醛
供稿)
点击“
阅读原文
”,查看
化学 • 材料
领域
所有收录期刊
【声明】内容源于网络
0
0
X-MOL资讯
“X-MOL资讯”隶属于X-MOL学术平台(官网x-mol.com),关注化学、材料、生命科学、医学等领域的学术进展与科研前沿,提供专业与深度的内容。公众号菜单还提供“期刊浏览”等强大功能,覆盖各领域上万种期刊的新近论文,支持个性化浏览。
内容
19833
粉丝
0
关注
在线咨询
X-MOL资讯
“X-MOL资讯”隶属于X-MOL学术平台(官网x-mol.com),关注化学、材料、生命科学、医学等领域的学术进展与科研前沿,提供专业与深度的内容。公众号菜单还提供“期刊浏览”等强大功能,覆盖各领域上万种期刊的新近论文,支持个性化浏览。
总阅读
11.7k
粉丝
0
内容
19.8k
在线咨询
关注