搜索
首页
大数快讯
大数活动
服务超市
文章专题
出海平台
流量密码
出海蓝图
产业赛道
物流仓储
跨境支付
选品策略
实操手册
报告
跨企查
百科
导航
知识体系
工具箱
更多
找货源
跨境招聘
DeepSeek
首页
>
山大高洪银教授/北大余志祥教授Nat Synth:借助极性反转策略实现芳烃对位选择性C-H官能团化反应
>
0
0
山大高洪银教授/北大余志祥教授Nat Synth:借助极性反转策略实现芳烃对位选择性C-H官能团化反应
X-MOL资讯
2023-05-05
1
导读:近日,山东大学化学与化工学院高洪银课题组发展了一种基于芳基羟胺底物的极性反转策略,实现了羟胺对位的选择性C-H键官能团化反应。
区域选择性芳烃C-H官能团化反应,在合成化学领域、材料科学和制药工业中有着十分广泛的应用。与发展较为完备的芳烃邻位或间位C-H官能团化反应不同,芳烃的对位C-H键官能团化反应研究较少,尤其具有挑战性。由于对位C-H键相对远离导向基团,一般需要特殊的导向基团和催化体系,在比较苛刻的反应条件下才能够发生反应。因此,开发成本低廉、条件温和、普适通用的反应策略,来实现芳烃的对位C-H官能团化反应,具有重要意义。
图1. 芳基羟胺底物的几种反应模式
芳基羟胺是一类非常重要的反应底物,因其含有键能较低的N-O弱键,易于发生N-O键断裂及后续的串联反应,进而实现结构多样的含氮功能分子的有效构建。其参与反应的一般模式是先生成O-官能团化活性中间体(例如:O-烯基化、芳基化、烷基化、酰基化等),然后发生串联的N-O键断裂、[3,3]-重排及再芳构化历程,生成吲哚或联芳基类化合物,或者在适宜的条件下(例如:加热、路易斯酸或者过渡金属催化)实现重排反应得到邻位官能团化芳胺类化合物(图1a)。与此相比,芳胺的对位官能团化反应的文献报道较少,并且仅限于对位羟基化反应,且往往需要强酸性条件或特殊的催化体系(图1b)。
近日,
山东大学
化学与化工学院
高洪银
课题组发展了一种
基于芳基羟胺底物的极性反转策略,实现了羟胺对位的选择性C-H键官能团化反应。
他们采用易于制备的磺酰氟咪唑盐(可以近当量产率公斤级制备)作为活化试剂,与羟胺底物反应后可实现其极性反转,生成亲电性活性中间体,进而被各种外加亲核试剂(水、醇类、硫酚类等)所捕获,实现一系列对位官能团化的苯胺类化合物的高效构筑(图1c)。该反应具有高度的化学选择性和区域选择性,反应条件简单温和,底物范围广阔,合成效率较高。
首先,作者选取苯甲酰基保护的苯羟胺
1a
作为模板反应底物,对各种类型的活化试剂进行了筛选(图2),先后考察了
S
O
2
F
2
(
2a
)、磺酰氟咪唑盐
(
2b
,
FSIT
)、Tf
2
O (
2c
)、SO
2
Cl
2
(
2d
)、MsCl (
2e
)、TsCl (
2f
)、Boc
2
O (
2g
) 和DAST (
2h
)
等反应试剂分别在碳酸氢钠作碱的乙腈-水混合体系里的反应情况。研究结果表明,董佳家和Sharpless开发的磺酰氟咪唑盐 (
2b
,
FSIT
) 具有最好的反应效果,可以以77%的分离产率得到对位羟基化的苯胺类产物
3a
。
图2. 不同活化试剂的筛选
经过大量筛选获得最佳反应条件后,作者对芳基羟胺和三种类型的亲核试剂(水、醇、硫醇)的普适性范围进行了考察(图3)。研究结果表明,该极性反转的串联反应策略具有非常广阔的底物范围。各种不同保护基团的苯羟胺,以及各种邻位、间位或多取代的苯基羟胺底物,都可以顺利地以中等以上产率转化为相应的对位官能团化苯胺类产物。除了苯基羟胺之外,萘基和二苯并呋喃基羟胺也适用于这种极性反转的策略。值得注意的是,该策略可以成功实现复杂分子的后期官能团化修饰。含有天然产物骨架的芳基羟胺,例如糠醇、蘑菇醇、果糖二丙酮、环庚醇、薄荷醇、雪松醇等,可以在标准条件下以良好的产率快速有效地转化为相应的产物。即使这些结构含有一些相对脆弱的官能团,如酯基、缩酮、环烷烃和烯烃等,它们都可以很好地耐受,以优异的区域选择性和良好的产率得到目标产物。各种结构多样、取材广泛的醇类和硫醇类亲核试剂同样可以高效地引入该反应体系,并且每一类亲核试剂的产物结构都通过单晶衍射进行了确认。
图3. 底物范围
为了初步探究此类对位官能团化苯胺类化合物的合成应用潜质,作者将代表性产物
3q
转化为各种结构多样的功能分子(图4)。对位羟基化产物
3q
与2-呋喃硼酸的Suzuki偶联在Pd
(
PPh
3
)
2
Cl
2
和碳酸钾存在下顺利进行而不受羟基的干扰,以68%的产率得到二芳基产物
8
(图4,路线i);醋酸铜介导的
3q
与对甲基苯硼酸的Chan-Lam C-O偶联可以顺利实现,以74%的产率得到二芳基醚
9
(图4,路线ii);磷酸三芳基酯
10
可通过
3q
与三氯氧磷和DMAP在三乙胺存在下有效合成(图4,路线iii);最后,
3q
可以很好地与异丙基异氰酸酯发生反应,以优异的产率得到相应的产物
11
(图4,路线iv)。
图4. 产物应用拓展
为了对反应历程有更加深刻的理解,作者设计了一系列控制实验。在标准条件下加入自由基抑制剂并没有使产率发生明显的降低,说明该反应过程中可能并不产生自由基(图5a)。对位氟磺酸酯化的苯胺化合物
3a'
在三类反应的标准条件下,均无法转化成相应的产物。该结果表明,反应路径不是先生成对位氟磺酸酯中间体
3a'
,进而被亲核试剂取代的过程(图5b-d)。根据上述实验结果,作者提出了可能的反应机理:芳基羟胺作为亲核试剂,首先与
FSIT
反应生成O-氟磺酰基化的中间体
A
(其可在超低温下通过
19
F
NMR短暂检测到),然后N-O键断裂生成中间体
B-S
离子对,接着外加亲核试剂取代
-
O
S
O
2
F负离子,生成中间体
B-Nu
离子对,随后亲核试剂从苯环对位进行亲核进攻,最后经再芳构化得到最终产物
D
(图5e)。
图5. 控制实验及可能的机理
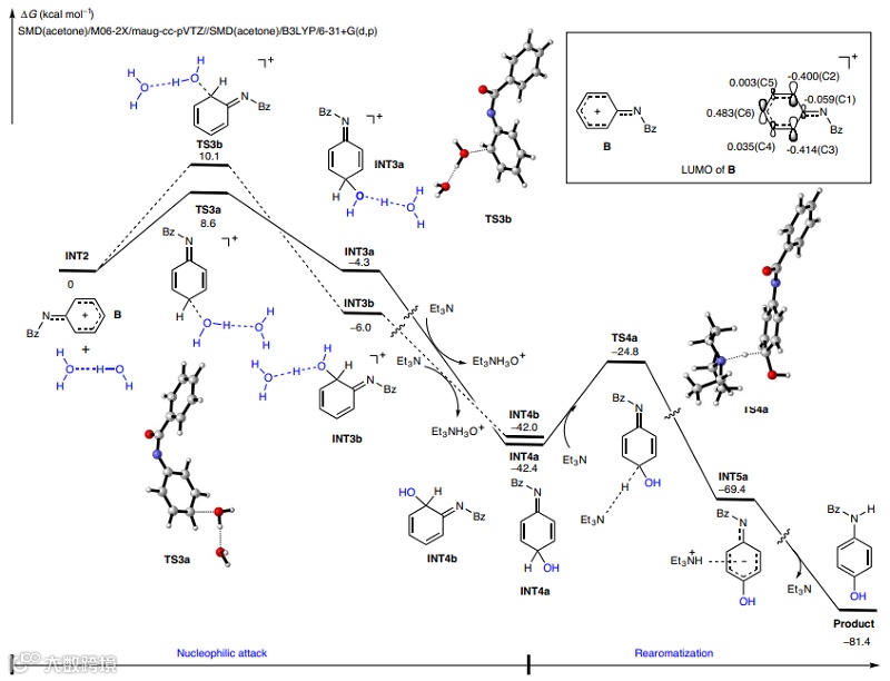
图6. DFT计算
北京
大学
化学学院
余志祥
教授课题组
对该反应历程进行了理论计算研究
。DFT计算结果表明反应底物先生成关键中间体
A
,
A
随后发生N-O键异裂,形成离子对中间体,接着发生亲核进攻/芳构化过程得到产物的反应机理是合理的,并排除了
A
中间体发生[3,3]重排形成目标产物的可能历程。此外,DFT计算研究解释了反应的区域选择性,亲核试剂进攻芳胺正离子的对位比邻位的反应活化能低1.5 kcal(图6)。同时,芳胺阳离子的LOMO轨道分析也表明反应将主要生成对位产物,这与实验结果相一致。最后,DFT计算也表明,当水为亲核试剂时,使用过量的水对反应实现高产率至关重要。
小结
该工作实现了芳基羟胺底物的极性反转及串联的对位选择性C-H键官能团化反应,水、醇以及硫醇都可以作为有效的外加亲核试剂引入该反应体系,高效合成了一系列对位官能团化的苯胺类化合物。相关研究结果发表于
Nature Synthesis
上,山东大学硕士研究生
郗振国
为该论文的第一作者,
高洪银
教授(反应方法学发展和机理研究)及北京大学
余志祥
教授(反应机理研究)为该论文的共同通讯作者,北京大学余志祥教授课题组博士后
刘喜佳
提供了理论计算支持,山东大学硕士研究生
郭召全
和
高志伟
作出了一定贡献。山东大学和北京大学为该论文的共同完成单位。
近年来,高洪银教授课题组聚焦弱键断裂驱动的串联重排反应研究,借助[2,3]-,[3,3]-重排反应或极性反转策略,发展了一系列含氮功能分子的新颖合成方法,实现了结构多样的吲哚、联芳基化合物及功能化芳胺类化合物的高效构筑。相关研究成果发表在
Nat. Synth.、Angew. Chem. Int. Ed.、ACS Catal.、Chem. Sci.
等国际权威期刊上。上述研究得到国家自然科学基金、山东省自然科学基金以及山东大学“齐鲁青年学者”启动经费等的资助和支持。余志祥教授课题组一直致力于研究有机化学反应机理,发展新化学反应和基于课题组新反应进行天然产物和药物分子的合成。余志祥课题组在这几个领域都有许多具有原创和影响的科研成果发表。
原文(扫描或长按二维码,识别后直达原文页面):
Regioselective umpolung
para
-C–H functionalization of arylhydroxylamines
Zhenguo Xi, Xi-Jia Liu, Zhaoquan Guo, Zhiwei Gao, Zhi-Xiang Yu & Hongyin Gao
Nat. Synth
.,
2023
, DOI: 10.1038/s44160-023-00293-8
获取论文全文,请
邮件
联系作者:
hygao@sdu.edu.cn
导师介绍
高洪银
https://www.x-mol.com/university/faculty/26804
课题组网站
https://faculty.sdu.edu.cn/gaohongyin/zh_CN/index.htm
余志祥
https://www.x-mol.com/university/faculty/8608
课题组网站
https://www.chem.pku.edu.cn/zxyu/
点击“
阅读原文
”,查看
化学 • 材料
领域
所有收录期刊
【声明】内容源于网络
0
0
X-MOL资讯
“X-MOL资讯”隶属于X-MOL学术平台(官网x-mol.com),关注化学、材料、生命科学、医学等领域的学术进展与科研前沿,提供专业与深度的内容。公众号菜单还提供“期刊浏览”等强大功能,覆盖各领域上万种期刊的新近论文,支持个性化浏览。
内容
19833
粉丝
0
关注
在线咨询
X-MOL资讯
“X-MOL资讯”隶属于X-MOL学术平台(官网x-mol.com),关注化学、材料、生命科学、医学等领域的学术进展与科研前沿,提供专业与深度的内容。公众号菜单还提供“期刊浏览”等强大功能,覆盖各领域上万种期刊的新近论文,支持个性化浏览。
总阅读
1.6k
粉丝
0
内容
19.8k
在线咨询
关注