搜索
首页
大数快讯
大数活动
服务超市
文章专题
出海平台
流量密码
出海蓝图
产业赛道
物流仓储
跨境支付
选品策略
实操手册
报告
跨企查
百科
导航
知识体系
工具箱
更多
找货源
跨境招聘
DeepSeek
首页
>
“咖啡与茶”让钌催化更绿色
>
0
0
“咖啡与茶”让钌催化更绿色
X-MOL资讯
2023-08-22
1
导读:近日,比利时列日大学的Lionel Delaude教授研究团队发现咖啡因和茶碱衍生的NHC配体可用于基于钌的“绿色”催化剂,即[RuCl2(p-cymene)(NHC)]。
副标题:具有源自咖啡因和茶碱的
N
-杂环卡宾配体的“绿色”钌-芳烃催化剂前体
带有
N
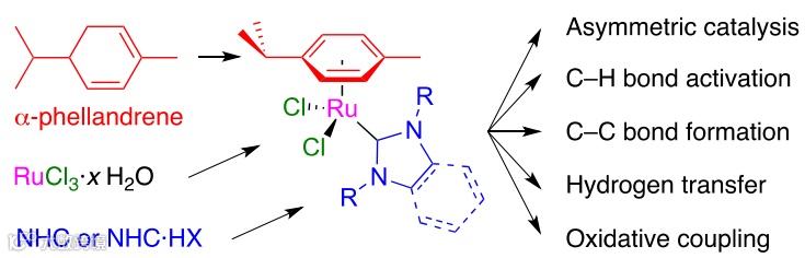
-杂环卡宾(NHC)配体的过渡金属配合物稳定性良好、结构多样,在均相催化中颇受化学家青睐,特别是带有NHC配体的钌-芳烃配合物是多功能催化剂前体,可用于各种有机转化(图1)。这些饱和的半夹心化合物在加热或光化学活化时很容易失去芳烃部分,并释放出高活性的配位不饱和物种,可以引发烯烃复分解或胺和醇之间的氧化偶联等多种反应。
[RuC
l
2
(
p
-cym
ene
)]
2
二聚体是其中代表之一,它在回流乙醇中用α-水芹烯还原水合氯化钌(III)制备而成,接着用NHC配体裂解其μ-氯桥便可得到所需的单金属[Ru
C
l
2
(
p
-cymene)(NHC)]配合物。然而,稳定的亲核卡宾及其前体通常是从不可再生的碳源经多步合成获得,这不符合绿色化学的发展趋势。相比之下,天然、丰富且可再生的甲基黄嘌呤生物碱(如:咖啡因和茶碱)中也存在杂环核心,因此其可成为生产可持续、生物源NHC的起始原料(图2)。事实上,从植物中提取咖啡因和茶碱只需要超临界二氧化碳作为溶剂,并且可以使用不同pH值的水作为洗脱液经离子交换柱实现分离。
图1. 含NHC配体的钌-芳烃配合物的合成及其催化应用。图片来源:
Organometallics
近日,比利时
列日大学
的
Lionel Delaude
教授研究团队发现
咖啡因和茶碱衍生的NHC配体可用于基于钌的“绿色”催化剂,即[Ru
C
l
2
(
p
-cymene)(NHC)]。
具体而言:咖啡因经三步转化,以72%的总收率分离出具有1,3,7,9-四甲基黄嘌呤-8-ylidene配体的已知化合物
Ru-1
;而茶碱则经四步转化,以41%的总收率获得复杂的配合物
Ru-2
。此外,NMR分析证实两种产物的配位范围内均存在对伞花烃(
p
-cymene)和NHC配体。然而,它们在室温下的溶液中表现出显著不同的动态行为,这是由于异丁基比甲基更大,从而严重限制了芳烃配体的旋转并导致对称性丧失。值得一提的是,配合物
Ru-1
和
Ru-2
都是高活性催化剂前体,可实现酮与异丙醇的转移氢化、烯烃与高碘酸钠的氧化以及由苯甲酸和1-己炔合成烯基酯。相关成果发表在
Organometallics
上,并被选为当期封面以及“ACS Editors' Choice”。
图2. 黄嘌呤和甲基黄嘌呤生物碱的结构及其环编号。图片来源:
Organometallics
当期封面。图片来源:
Organometallics
2016年,Wölfl等人从咖啡因出发,经烷基化反应得到1,3,7,9-四甲基黄嘌呤碘化物,再用A
g
2
O活化,然后用钌二聚体进行金属转移,重结晶后以23%的产率得到目标化合物
Ru-1
(图3,route A)。为了提高反应产率,作者设计了一种替代策略,即在络合反应前用氯抗衡离子替换碘离子(图3,route B),该步骤可以在Amberlite IRA-400阴离子交换树脂(
Cl
-
form)上轻松进行,接着用水洗脱以接近定量的收率得到1,3,7,9-四甲基黄嘌呤氯化物,再与A
g
2
O和[Ru
C
l
2
(
p
-cymene)
]
2
反应后,经简单的水处理便可以93%的产率分离出纯配合物
Ru-1
。需要指出的是,反应在分析级二氯甲烷中便可进行,并且无需采取任何措施去除氧气和湿气,但需避光以避免银盐分解。另外,配合物
Ru-1
易溶于水,因此有机反应混合物仅用水处理一次即可。
图3. 咖啡因合成配合物
Ru-1
的合成路线。图片来源:
Organometallics
接下来,作者以茶碱衍生的黄嘌呤盐为原料合成了第二种[Ru
C
l
2
(
p
-cymene)(NHC)]络合物(图4)。首先,用
K
2
CO
3
将茶碱的酸性N7H位点(pKa = 8.6)去质子化以利于其与异丁基碘的烷基化,从而以78%的产率得到7-异丁基-1,3-二甲基黄嘌呤,然后在
Me
3
OBF
4
的作用下进行N9位甲基化,以86%的产率得到7-异丁基-1,3,9-三甲基黄嘌呤四氟硼酸盐。然后,在Amberlite IRA-400树脂上进行阴离子交换得到相应的黄嘌呤氯化物,最后与A
g
2
O和[Ru
C
l
2
(
p
-cymene)
]
2
反应后,经简单的水处理便可以四步、41%的总产率分离出新型钌芳烃化合物
Ru-2
。另外,
1
H
和
13
C
NMR分析证实了配合物
Ru-1
和
Ru-2
的配位范围内存在对伞花烃和NHC配体(化学计量为1:1),并且异丁基的存在严重限制了芳烃配体的自由旋转,从而导致对称性丧失。
图4. 茶碱合成配合物
Ru-2
的合成路线。图片来源:
Organometallics
为了评估配合物
Ru-1
和
Ru-2
在均相催化中的潜力,作者首先研究了钌催化酮与异丙醇的转移氢化反应,其具体过程如下:异丙氧基阴离子与金属中心配位产生钌配合物,进行β-H消除并释放丙酮得到钌氢物种。然后,钌氢物种与酮发生反应,从而导致其还原。事实上,苯乙酮和异丙醇在
Ru-1
(1 mol%)为催化剂、KOH为碱的条件下于80 ℃进行氢化反应,同时使用邻二甲苯作为内标通过气相色谱监测反应的
时间
进程,结果显示24 h内几乎达到了定量转化。在此基础上,作者使用配合物
Ru-1
和
Ru-2
还原了各种不饱和底物(图5),结果显示两种配合物都表现出非常相似的活性,能够有效促进苯乙酮及其四种卤代衍生物、二苯甲酮、环己酮氢化成相应的醇。尽管4-甲氧基苯乙酮的转化率仅约60%,但3,4,5-三甲氧基苯乙酮在相同条件下则能实现定量还原。值得一提的是,苯甲醛的醛基和 (
E
)-N-苄烯苯胺的亚胺也能在80 ℃下被定量还原为相应的苯甲醇和
N
-苄基苯胺。
图5. 钌催化不饱和底物转移加氢反应的底物范围。图片来源:
Organometallics
接着,作者评估了配合物
Ru-1
和
Ru-2
在烯烃氧化裂解中的催化性能。具体而言:苯乙烯在
Ru-1
或
Ru-2
(1 mol%)为催化剂、NaI
O
4
为氧化剂、水/丙酮为混合溶剂的条件下于室温进行反应,并通过GC分析监测其时间进程,结果显示
Ru-1
和
Ru-2
都具有高活性,并且在30 min内将烯烃完全转化为苯甲醛,同时没有检测到苯甲酸的生成。值得一提的是,在反应的前10 min内,咖啡因衍生的配合物
Ru-1
活性略高于茶碱类似物
Ru-2
,但后者更快达到平衡。另外,对照实验表明在没有钌的情况下反应无法进行。在此基础上,作者将其应用于α-甲基苯乙烯的氧化裂解,30 min后
Ru-1
的转化率达到75%,而
Ru-2
的转化率仅为47%,进一步凸显出两个物种之间的活性差异。然而,45 min后
Ru-1
和
Ru-2
都实现了完全转化,并且经色谱纯化后酮产物的分离收率约60%(图6)。此外,1-己烯和
cis
-环辛烯在配合物
Ru-1
和
Ru-2
(1 mol%)为催化剂、NaI
O
4
(3 equiv)为氧化剂、水为溶剂的条件下于室温反应24 h(图7),分别得到戊酸(
Ru-1
产率:62%;
Ru-2
产率:57%)以及辛二酸和辛二醛的混合物(93:7)。
图6. 钌催化苯乙烯的氧化。图片来源:
Organometallics
图7. 钌催化烯烃的氧化。图片来源:
Organometallics
最后,作者探讨了配合物
Ru-1
和
Ru-2
催化1-己炔和苯甲酸的反应效果,即在
Ru-1
或
Ru-2
(0.8 mol%)为催化剂、无水甲苯为溶剂的条件下于160°C反应30 min,
Ru-1
和
Ru-2
都能实现定量转化(图8),其中
Ru-1
对支链异构体具有良好的选择性(72%)。对于
体积
较大的类似物
Ru-2
,
Z
-反马氏加合物的比例几乎保持不变,但空间位阻最小的酯异构体增加至18%。这些结果表明卡宾取代基对反应结果产生显著影响,这对于未来的催化工程和优化研究来说是一个好的开始。
图8. 钌催化炔烃和苯甲酸的反应。图片来源:
Organometallics
总结
Lionel Delaude团队以咖啡因和茶碱作为可持续的生物来源NHC配体前体,制备了两种通式为[Ru
C
l
2
(
p
-cymene)(NHC)]的钌芳烃配合物(即
Ru-1
和
Ru-2
),其中咖啡因经三步转化以72%的总收率得到
Ru-1
;而茶碱则是经四步转化,以41%的总收率获得复杂的
Ru-2
。此外,NMR分析证实两种产物的配位范围内均存在对伞花烃(
p
-cymene)和NHC配体。然而,它们在室温下的溶液中表现出显著不同的动态行为,这是由于异丁基比甲基更大,从而严重限制了芳烃配体的旋转并导致对称性的丧失。值得一提的是,配合物
Ru-1
和
Ru-2
都是高活性催化剂前体,可实现酮与异丙醇的转移氢化、烯烃与高碘酸钠的氧化以及由苯甲酸和1-己炔合成烯基酯。毫无疑问,这一发现有助于开发更加可持续和环境友好的金属有机化学,而且为使用咖啡因和茶碱制备生物源
N
-杂环卡宾的其它催化应用开辟了新方向。
原文(扫描或长按二维码,识别后直达原文页面):
“Greening” Ruthenium−Arene Catalyst Precursors with
N
‑Heterocyclic Carbene Ligands Derived from Caffeine and Theophyl
line
François Mazars, Lionel Delaude
Organometallics
,
2023
,
42
, 1589-1597, DOI: 10.1021/acs.organomet.3c00166
点击“
阅读原文
”,查看
化学 • 材料
领域
所有收录期刊
【声明】内容源于网络
0
0
X-MOL资讯
“X-MOL资讯”隶属于X-MOL学术平台(官网x-mol.com),关注化学、材料、生命科学、医学等领域的学术进展与科研前沿,提供专业与深度的内容。公众号菜单还提供“期刊浏览”等强大功能,覆盖各领域上万种期刊的新近论文,支持个性化浏览。
内容
19833
粉丝
0
关注
在线咨询
X-MOL资讯
“X-MOL资讯”隶属于X-MOL学术平台(官网x-mol.com),关注化学、材料、生命科学、医学等领域的学术进展与科研前沿,提供专业与深度的内容。公众号菜单还提供“期刊浏览”等强大功能,覆盖各领域上万种期刊的新近论文,支持个性化浏览。
总阅读
1.6k
粉丝
0
内容
19.8k
在线咨询
关注