搜索
首页
大数快讯
大数活动
服务超市
文章专题
出海平台
流量密码
出海蓝图
产业赛道
物流仓储
跨境支付
选品策略
实操手册
报告
跨企查
百科
导航
知识体系
工具箱
更多
找货源
跨境招聘
DeepSeek
首页
>
【有机】NUS吴杰团队Nat. Commun.:光催化区域选择性合成偕二、邻二硅硼化合物
>
0
0
【有机】NUS吴杰团队Nat. Commun.:光催化区域选择性合成偕二、邻二硅硼化合物
X-MOL资讯
2023-05-17
1
导读:新加坡国立大学吴杰课题组通过光诱导氢原子转移(HAT)催化烯基硼和烯丙基硼化合物的区域选择性硅氢化反应,实现了偕二、邻二硅硼化合物的通用合成。
硅硼化合物,特别是偕二、邻二硅硼化合物,是重要的合成砌块,可用于构建复杂分子和功能材料。C-B和C-Si键可以通过偶联、烷基化、氧化等反应选择性地转化为各种有价值的官能团。近日,
新加坡
国立大学吴杰
课题组通过
光诱导氢原子转移(HAT)催化烯基硼和烯丙基硼化合物的区域选择性硅氢化反应,实现了偕二、邻二硅硼化合物的通用合成。
相关研究成果发表在
Nature Communications
上。
图1. 硅硼化合物的合成
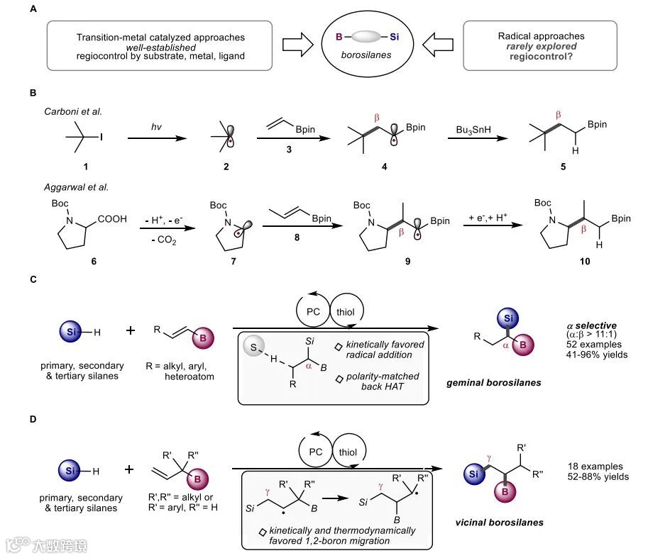
目前报道的硅硼化合物的合成主要依靠过渡金属催化的烯烃或炔烃的硼氢化或硅氢化反应(图1A)。这些反应的区域选择性由底物、催化剂和配体调控,常受限于底物的类型。相比而言,通过自由基方法合成偕二或邻二硼硅化合物罕有报道,如何调控其区域选择性有挑战性。作为硅自由基的类似物,亲核性碳自由基倾向于加成到烯基硼化合物的β位,因为形成的α-硼基自由基可以离域到硼原子空的p轨道以提高稳定性(图1B)。在本研究工作中,作者发现硅自由基选择性加成到烯基硼化合物的α位,生成偕二硅硼化合物(图1C)。机理研究表明α-选择性归因于动力学上有利的硅自由基加成和
能量
上有利的氢原子转移过程。此外,作者利用1,2-硼迁移的策略实现了烯丙基硼化合物的γ-选择性硅氢化,构建了一系列邻二硅硼化合物(图1D)。这两种方法无需过渡金属,具有广泛的底物适用性,可利用连续流进行放大生产,还可用于多硅硼化合物的合成,具有实用价值。
在最优条件下,作者对底物范围进行了考察,部分产物如图2所示。含有各种官能团的烯基硼化合物都能以高选择性以及中等到优异的收率得到偕二硅硼化合物。顺式和反式烯烃都能兼容并得到相同的目标产物,烯基硼化合物β位置的不同取代基,如吸电子酯基、供电子乙氧基和电子中性硼酸MIDA(N-甲基二乙酸)酯基均可以高α-选择性得到相应的产物。此外,β-芳基取代的烯基硼化合物,无论芳基取代基上为吸电基或供电子基,均具有α选择性。该策略可以兼容一级、二级、三级硅烷,并能以高产率得到目标产物,而过渡金属催化方法通常局限于一种硅烷。此外,含不同硼基的烯烃在最佳反应条件下都可参与反应,包括不同的硼酸酯、游离硼酸和硼酸MIDA酯。该方法对一些药物衍生物也有很好的适用性。随后,作者从多种硅烷和烯丙基硼化合物出发,合成了一系列邻二硅硼化合物。为了进一步突出该反应策略的价值,作者实现了药物分子clodinafop-propargyl的后期硅硼化修饰,并且从苯硅烷出发合成了多种多硅硼化合物。此外,硅硼化合物可进一步转化和修饰为有价值的官能团,反应可在流动反应器中顺利放大。
图2. 代表性产物
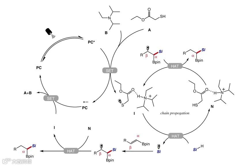
作者进行了一系列的控制实验和计算研究来研究反应机理和区域选择性。自由基捕捉和自由基时钟实验证实该反应为自由基过程。Stern-Volmer荧光猝灭研究表明,激发的光催化剂可以被硫醇和DIPEA的混合物还原猝灭。据此作者提出了烯基硼化合物硅氢化可能的反应机理,激发态的4CzIPN在DIPEA存在下氧化硫醇,循环伏安测试和DFT计算表明形成硫自由基I,继而从硅烷中攫取氢原子生成硅自由基和硫醇N。计算结果表明与DIPEA络合作用稳定了中间体I并促进了从硅烷中攫取氢原子。随后,硅基自由基加成到烯基硼化合物的α位,生成一个烷基自由基中间体,该中间体与硫醇N进行极性匹配的HAT(氢原子转移),最终得到偕二硅硼产物。硫自由基I可以氧化还原的光催化剂4CzIP
N
•
-
,从而完成催化循环。另外,硫自由基I也可以通过自由基链式反应途径与硅烷发生进一步的反应(图3)。
图3. 可能的反应机理
为阐明烯基硼化合物硅氢化反应中α选择性的原因,作者以(
E
)-1-戊烯基硼酸频哪酯和苯硅烷作为模型,分析了硅自由基加成和后续硫醇参与的氢原子转移过程。计算得到的能量图表明,在硅自由基和烯基硼化合物的加成过程决定了反应的区域选择性,硅基自由基加成在底物α位的能垒比β位(
S
1
比S
2
)低1.64 kcal/mol,说明α加成速率大约比β加成速率快16倍。这与在实际反应过程中观察到的选择性非常接近(α/β = 14:1)。尽管β加成后的中间体
T
2
稳定性更高,但两个原因促成了动力学控制的α选择性。首先,自由基加成过程在室温下几乎是不可逆的,因此α-和β-加成产物之间不能达到平衡。此外,由于极性匹配,从硫醇N到自由基中间体
T
1
的HAT在动力学和热学上都很有利(Δ
G
≠
= 11.71 kcal/mol,ΔG = −7.89 kcal/mol),
T
1
比
T
2
更高的HAT速率进一步降低了自由基
T
1
的浓度。总的来说,动力学上有利的自由基加成和能量上有利的HAT过程有助于烯基硼化合物的α选择性硅烷基化(图4)。作者也对烯丙基硼化合物的γ选择性硅氢化也进行了计算分析,并提出了合理的机理。
图4. α选择性的DFT计算
总结
新加坡国立大学吴杰课题组报道了高效的光诱导氢原子转移催化烯基硼化合物的α选择性硅氢化和烯丙基硼化合物的γ选择性硅氢化,构筑了一系列结构多样的偕二、邻二硅硼化合物。与过渡金属催化不同,反应的区域选择性是由自由基加成和HAT过程中的动力学和热力学效应决定的。这些策略具有无金属、高原子经济性、极佳的底物适用范围和良好的官能团容忍度等优点。产物中的硅基或硼基在随后的多样化转化中显示出了合成效用。此外,克级反应在普通反应器和操作简单的连续流反应器中都可顺利进行。
原文(扫描或长按二维码,识别后直达原文页面):
Photocatalyzed regioselective hydrosilylation for the divergent synthesis of geminal and vicinal borosilanes
Degong Kong
,
#
Muliang Zhang
,
#
Yuchao Zhang, Zhenyang Yu, Hui Cao* & Jie Wu*
Nat. Commun.
,
2023
,
14
, 2525, DOI: 10.1038/s41467-023-38224-y
吴杰课题组主页:
https://www.wujiegroupnus.com/
https://www.x-mol.com/groups/wujie_nus
吴杰教授课题组目前招收有全合成背景的博士后,请有意向的同学将简历发送到chmjie@nus.edu.sg
点击“
阅读原文
”,查看
化学 • 材料
领域
所有收录期刊
【声明】内容源于网络
0
0
X-MOL资讯
“X-MOL资讯”隶属于X-MOL学术平台(官网x-mol.com),关注化学、材料、生命科学、医学等领域的学术进展与科研前沿,提供专业与深度的内容。公众号菜单还提供“期刊浏览”等强大功能,覆盖各领域上万种期刊的新近论文,支持个性化浏览。
内容
19832
粉丝
0
关注
在线咨询
X-MOL资讯
“X-MOL资讯”隶属于X-MOL学术平台(官网x-mol.com),关注化学、材料、生命科学、医学等领域的学术进展与科研前沿,提供专业与深度的内容。公众号菜单还提供“期刊浏览”等强大功能,覆盖各领域上万种期刊的新近论文,支持个性化浏览。
总阅读
14.6k
粉丝
0
内容
19.8k
在线咨询
关注