搜索
首页
大数快讯
大数活动
服务超市
文章专题
出海平台
流量密码
出海蓝图
产业赛道
物流仓储
跨境支付
选品策略
实操手册
报告
跨企查
百科
导航
知识体系
工具箱
更多
找货源
跨境招聘
DeepSeek
首页
>
【有机】南开大学仇友爱课题组Angew:有机还原媒介促进的烯烃电化学氘化
>
0
0
【有机】南开大学仇友爱课题组Angew:有机还原媒介促进的烯烃电化学氘化
X-MOL资讯
2023-09-22
2
导读:近日仇友爱课题组报道了一类新型的电化学氘原子转移策略下(eDAT)有机还原媒介促进的苯乙烯衍生物的电化学氘化反应。
具有氘原子(D)标记的化合物在药物化学以及有机化学反应机理研究等领域发挥着非常重要的作用。通过氘原子转移(Deuterium atom transfer, DAT)策略对烯烃进行氘化是选择性合成氘代化合物的重要策略之一。作为代表,烯烃的氘化反应一直是一个重要的研究方向。传统方法通常使用过渡金属作为催化剂,使用氘气作为氘源,而且通常需要高温高压的反应条件,在实际应用中带来诸多不便,并且存在着金属残留物等问题,而在药物化学中,对金属残留物的量具有非常严苛的要求,痕量的金属残留物在后处理的过程中往往需要非常高的成本(图1a)。因此,发展绿色、高效的非金属催化的烯烃氘化是非常有必要的。近年来,有机电化学合成实现了飞速发展,通过电化学实现缺电子苯乙烯的还原氘化也已有报道。然而,电化学方法目前主要受限于缺电子苯乙烯类化合物,底物范围具有一定的局限性。原因在于富电子的苯乙烯类化合物具有较高的还原电势和较低的氧化电势,难以在阴极发生还原且官能团耐受性较差,并容易在阳极发生氧化生成不必要的副产物等。相较于直接电解(Direct Electrolysis),
间接电解
(Mediated Electrolysis)以及
电化学媒介
的出现则为有机电化学合成带来了新的机遇和挑战。目前,有机氧化媒介已经得到了较好的发展,化学家们发展了如TEMPO、二茂铁、ABNO、NHPI等等高效的氧化媒介,通过单电子转移(SET)的方式对底物进行单电子氧化反应(图1b,左)。然而,对于有机还原媒介的探索还处于起步阶段。2022年,南开大学仇友爱课题组发展了一种使用廉价易得的萘作还原媒介的卤代芳烃的电化学羧化反应(
Angew. Chem. Int. Ed.
2022
,
61
, e202210201)。另外蒽、菲等具有大的共轭体系的化合物也可以作为有机还原媒介(图1b,右)。
图1. (a) 金属催化DAT模式的烯烃双氘化反应;
(b) 有机媒介促进的有机电化学合成
南开大学
化学学院元素有机化学国家重点实验室
仇友爱
课题组聚焦于有机电化学的研究,特别电化学小分子耦合有机底物的高效转化,基于课题组前期以及电化学还原羧化、电化学还原氘化的工作(
Angew. Chem. Int. Ed.
2022
,
61
, e202207746;
Angew. Chem. Int. Ed.
2023
,
62
, e202214710;
Nat. Commun
.
2022
,
13
, 3774;
Angew. Chem. Int. Ed
.
2023
,
62
, e202306679);以及媒介促进的电化学反应(
Angew. Chem. Int. Ed
.
2022
,
61
, e202210201;
Angew. Chem. Int. Ed
.
2022
,
61
, e202115178),近日仇友爱课题组报道了一类新型的
电化学氘原子转移策略下(eDAT)有机还原媒介促进的苯乙烯衍生物的电化学氘化反应。
该反应使用催化量的
三苯基膦
(TPP)作为媒介;重水作为氘源;具有良好的底物范围(富电子苯乙烯同样能够良好兼容);反应条件温和;对天然产物的后修饰也表现出良好的兼容性,具有优秀的应用前景(图2a)。作者还对不同富电子苯乙烯以及媒介进行了循环伏安(CV)的测量和对比,为反应的优秀选择性提供了帮助(图2b)。
图2. (a) eDAT模式下有机还原媒介促进的苯乙烯电化学氘化反应;
(b) 部分底物以及TPPO的还原电势比较
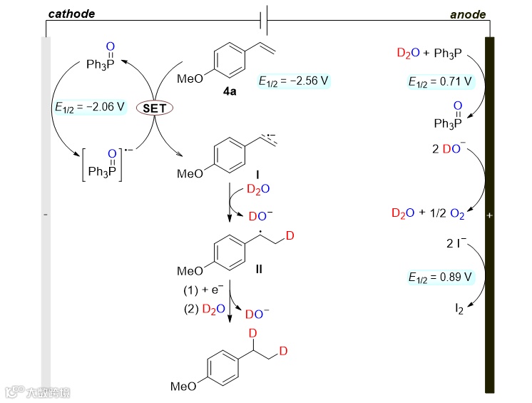
在该反应中,作者通过使用TPP作为媒介,首先在阳极氧化,与水生成三苯基氧膦(TPPO),TPPO在阴极发生单电子还原,得到TPPO负离子自由基与底物发生SET过程生成苯乙烯负离子自由基I,之后负离子被重水捕获得到稳定的苄位自由基物种II,II继续发生单电子还原并被重水捕获生成最终产物(图3)。
图3. 可能的反应机理
该方法的底物普适性良好,适用于多种富电子苯乙烯以及多取代烯烃,同时该反应能够兼容一些敏感基团如羟基、羧基、酰胺以及硼等,以中等至优秀的收率和氘代率得到相应的
α,β
-氘代芳基化合物。另外不同的1,3-丁二烯也能够兼容该方法,得到1,4-氘代的芳基丁烷类化合物(图4)。此外,对于氨基酸、糖、以及生物活性相关化合物的后修饰也有良好的反应效率(图5)。
图4. 苯乙烯底物普适性研究
图5. 生物活性相关化合物普适性研究
接下来,作者对反应进行了详细的CV测试。首先底物
4a
的还原电势为
E
1/2
= −2.56 V(图6a,红线);TPPO则在
E
1/2
= −2.06 V和
E
1/2
= −1.96 V显示出一组可逆的氧化还原对(图6b,红线),说明TPPO在电解池中能够发生可逆的循环。而当在TPPO中加入底物
4a
时,体系的还原电势发生变化,TPPO的氧化峰则消失,说明两者之间可能存在电子转移的作用(图6b,绿线)。另外,通过调整
4a
的浓度,体系的CV曲线出现了明显的变化,更进一步说明
4a
与TPPO之间的电子转移作用(图6c)。此外,作者还对该反应体系的氧化电势进行了测试。电解质四乙基碘化铵(
Et
4
NI)的氧化电位为
E
1/2
= 0.89 V和
E
1/2
= 1.23 V,对应碘离子氧化(图7a,红线),TPP和水在
E
1/2
= 0.71 V显示出氧化峰(图7b,红线),而底物
4a
的氧化电位则为
E
1/2
= 1.08 V(图7c,红线)。这些结果表明,TPP和碘离子在反应能够优先于底物发生氧化,不仅能够起到媒介作用,还能够起到阳极保护的作用。
图6. 还原电势的CV测试
图7. 氧化电势的CV测试
小结
仇友爱研究员团队发展了一种有机还原媒介促进的电化学苯乙烯氘化方法,成功实现了多种富电子苯乙烯在内的苯乙烯类化合物的双氘化反应。该反应具有温和的反应条件和良好的底物普适性,三苯基膦作为媒介在反应中起到重要的作用,该方法也为生物活性化合物的后修饰氘化提供了一种高效的策略。该工作得到了科技部重点研发专项、国家自然科学基金委、中央高校基本科研业务费及南开大学有机新物质创造前沿科学中心专项资金的支持。相关成果发表在
Angewandte Chemie International Edition
上。南开大学化学学院
仇友爱
研究员为唯一通讯作者,南开大学化学学院为唯一通讯单位,硕士生
杨克铭
和博士生
丰田
为文章的共同第一作者。
原文(扫描或长按二维码,识别后直达原文页面):
Organo-Mediator Enabled Electrochemical Deuteration of Styrenes
Keming Yang
+
,
Tian Feng
+
and Youai Qiu*
Angew. Chem. Int. Ed.
,
2023
,
62
, e202312803, DOI: 10.1002/anie.202312803
作者简介
仇友爱,南开大学化学学院特聘研究员、博士生导师、独立课题组组长(PI),南开大学“百名青年学科带头人”,入选国家高层次人才青年项目。2015年6月博士毕业于浙江大学化学系,师从于麻生明教授。2015年9月加入
瑞典
斯德哥尔摩
大学Jan-Erling Bäckvall教授课题组从事博士后研究。2017年9月加入
德国
哥廷根大学Lutz Ackermann教授课题组从事博士后研究。2019年11月起,获日本学术振兴会特别研究员奖学金(JSPS Fellowship),作为访问研究员加入日本理化学研究所(RIKEN)侯召民主任研究员课题组。2020年9月底入职南开大学化学学院元素有机化学国家重点实验室,开始独立研究工作,主要开展绿色有机合成研究,特别是有机电合成的研究,对惰性分子的电催化转化开展了系统的研究。长期从事有机电化学、自由基化学及小分子电化学高效转化等。以通讯作者及第一作者发表学术论文50余篇。
仇友爱课题组网站:
https://www.x-mol.com/groups/qiu_youai
仇友爱课题组热诚欢迎师资博士后、博士和硕士研究生加盟,有意者请和仇老师联系
:qiuyouai@nankai.edu.cn
点击“
阅读原文
”,查看
化学 • 材料
领域
所有收录期刊
【声明】内容源于网络
0
0
X-MOL资讯
“X-MOL资讯”隶属于X-MOL学术平台(官网x-mol.com),关注化学、材料、生命科学、医学等领域的学术进展与科研前沿,提供专业与深度的内容。公众号菜单还提供“期刊浏览”等强大功能,覆盖各领域上万种期刊的新近论文,支持个性化浏览。
内容
19832
粉丝
0
关注
在线咨询
X-MOL资讯
“X-MOL资讯”隶属于X-MOL学术平台(官网x-mol.com),关注化学、材料、生命科学、医学等领域的学术进展与科研前沿,提供专业与深度的内容。公众号菜单还提供“期刊浏览”等强大功能,覆盖各领域上万种期刊的新近论文,支持个性化浏览。
总阅读
16.1k
粉丝
0
内容
19.8k
在线咨询
关注