英文原题:Nucleation and Crystallization of Polymer Melts under Cyclic Stretching: Entanglement Effect
通讯作者:Junhua Zhao (赵军华)
作者:Chunhua Zhu(朱春华), Junhua Zhao (赵军华)
背景介绍
聚合物熔融结晶与其链间缠结紧密相关,缠结会限制分子链的运动。通过影响聚合物的弛豫行为,熔融状态下的链间缠结对于晶体形态和层状厚度的选择起着重要作用。换句话说,聚合物熔体的成核和后续晶体生长会受到其初始缠结状态的影响。聚合物熔体是由高度缠结的分子链构成的瞬态网络,在强流动下可以形成缠结的定向聚合物网络。因此,聚合物熔体的流动诱导结晶行为应由流场和缠结网络共同决定。众所周知,流动可以引起局部取向序的形成并会促进熔体成核和晶体进一步生长然而目前尚不清楚拓扑缠结对流动诱导结晶的影响程度有多大。
文章亮点
本文通过粗粒化分子动力学模拟和原始路径分析(primitive path analysis, PPA)揭示了缠结对拉伸后聚合物熔体结晶行为的影响机制。通过循环拉伸构建了具有不同缠结密度和相似局部结构的聚合物体系,这些体系可以用来弄清缠结在拉伸诱导成核和后续晶体生长中的贡献。结果显示,缠结对拉伸诱导结晶的影响主要体现在两个方面:减少成核位点和增加成核时间。本研究为涉及链间缠结的聚合物拉伸诱导结晶提供了新的研究思路和理论依据。
图文解读
本文的模拟流程主要分为3个阶段,1. 通过随机游走生成不同链长的初始模型在等温等压系综(T = 550 K , P = 1 atm)下弛豫1.2 μs; 2. 循环拉伸这些弛豫后的聚合物熔体模型,拉伸应变ԑ为1.5;3. 将经历不同拉伸次数后的聚合物模型(ԑ = 1.5)退火至450 K以进一步研究其结晶行为(图1a)。同时在弛豫阶段,本文引入了末端向量的自相关函数(<u(t)·u(0)>)来进一步表征这些体系是否达到了平衡,并用Kohlrausch-Williams-Watts (KWW)函数进行了数据拟合(图1b)。所有模拟体系得到的β值均小于1,说明都存在缠结效应。
图1. (a) 循环拉伸下聚合物结晶的模拟流程;(b) T = 550 K 时不同链长聚合物熔体末端向量的自相关函数(<u(t)·u(0)>),其中虚线是基于 KWW函数的拟合曲线。
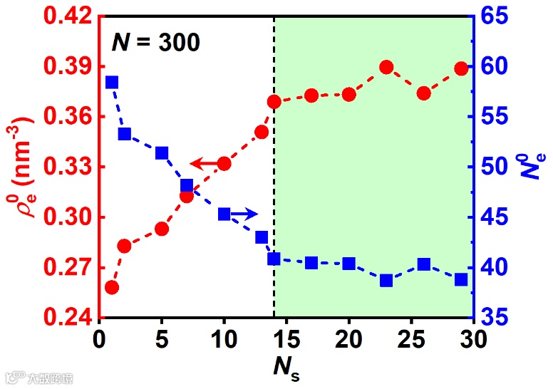
在拉伸诱导结晶过程中,链间缠结与局部有序结构之间存在竞争,而循环拉伸可以很好地平衡这种关系。本文通过循环拉伸获得了具有不同初始缠结密度和相似局部有序结构的拉伸聚合物熔体。图2给出了聚合物熔体的缠结密度 ρe、缠结长度 Ne 随循环拉伸次数 Ns的变化。可以发现随着拉伸次数的增加,缠结密度先是近似地线性增长,之后会达到某个稳定值。
图2. 链长N = 300的拉伸聚合物熔体的初始缠结密度 ρe 、缠结长度 Ne 与循环拉伸次数 Ns之间的关系。当Ns > 13时, ρe 和Ne不再随着Ns的增加而显著增长。其中,参数中的上标“0”表示模拟体系处于拉伸熔融状态(对应ԑ = 1.5)。
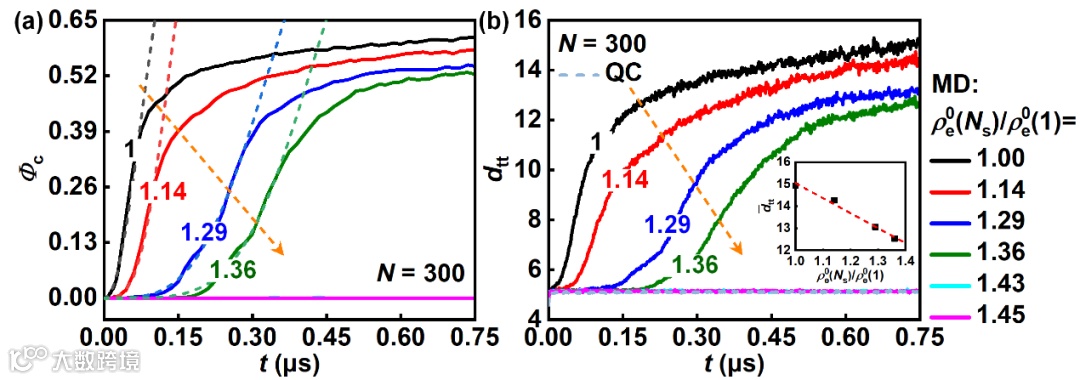
图3展示了通过循环拉伸获得的不同初始缠结密度的拉伸聚合物熔体在T = 450 K下的结晶行为。在结晶的早期阶段(Фc < 30%),结晶度的变化可以用Avrami方程很好地描述(图3a)。更有趣的是,当聚合物熔体的归一化缠结密度
该体系在给定的模拟时间内没有结晶,这正好对应于Ns > 13 时,缠结密度达到了稳定值(图 2)。图3b也给出了不同初始缠结密度的拉伸聚合物熔体在结晶过程中的茎长dtt变化。不同拉伸体系的dtt变化与Фc 变化保持高度一致,这是因为聚合物晶体由无数平行的茎组成,茎的数量和长度共同影响着晶体的尺寸。同时,本文发现体系的初始缠结密度越大,平均dtt越短(图3b插图)。
导致dtt值与未拉伸体系在T = 450 K下的模拟结果相似(图3b虚线)。因此,可以认为缠结密度的增加抑制了晶体的增厚。
总结/展望
本文通过循环拉伸的方法构建了具有不同初始缠结密度的聚合物熔体,同时经过验证这些体系具有相似的局部有序结构。因此,这些模型可以很好地被用来研究链间缠结在拉伸诱导结晶中的影响。结果表明,缠结在拉伸诱导的成核和晶体生长中也发挥着不可忽略的作用,主要体现在减少了成核位点和延长了成核时间。本研究为涉及链间缠结的聚合物拉伸诱导结晶提供了新的物理见解,同时有助于未来进一步发展和完善相关的聚合物结晶理论。
相关成果近期以“Nucleation and Crystallization of Polymer Melts under Cyclic Stretching: Entanglement Effect”为题发表在Macromolecules上,并被遴选为当期封面。论文的第一作者为江南大学机械工程学院博士生朱春华,通讯作者为赵军华教授。
通讯作者信息:
赵军华 江南大学
赵军华,江南大学机械工程学院教授、博士生导师。目前担任江南大学机械工程学院院长和江苏省食品先进制造装备技术重点实验室主任。主要从事宏-微-纳结构强度与失效机制的多尺度理论与应用研究。在ACS Nano、Macromolecules 、JMPS、Carbon、Soft Matt、Appl. Phys. Lett.、Int. J. Fatigue、Eng. Fract. Mech.等国际主流期刊发表SCI论文100余篇,他引2000余次,授权国家发明专利6项,主持国家自然科学基金、省部级及企业委托项目10余项,获江苏省科学技术二等奖1项(1/6),入选江苏省杰出青年基金、江苏省“333工程”第二层次人选、江苏省“双创人才”等人才计划。
扫描二维码阅读英文原文
Macromolecules 2023, 56, 14, 5490–5501
Publication Date: July 10, 2023
https://doi.org/10.1021/acs.macromol.3c00461
Copyright © 2023 American Chemical Society

