搜索
首页
大数快讯
大数活动
服务超市
文章专题
出海平台
流量密码
出海蓝图
产业赛道
物流仓储
跨境支付
选品策略
实操手册
报告
跨企查
百科
导航
知识体系
工具箱
更多
找货源
跨境招聘
DeepSeek
首页
>
【有机】山东大学李兴伟团队Nat. Commun.:铑催化双轴手性联杂芳基化合物的合成研究
>
0
0
【有机】山东大学李兴伟团队Nat. Commun.:铑催化双轴手性联杂芳基化合物的合成研究
X-MOL资讯
2023-09-15
0
导读:山东大学李兴伟教授团队与合作者通过合理的底物设计,发展了含有氮氮和碳氮/碳碳双轴手性联芳基化合物的构建,该反应具有优异的对映选择性和非对映选择性
旋转异构体,即由轴向化学键旋转受阻产生的立体异构现象,是构成自然界中一类非常重要的手性化合物。自1922年首次报道以来,旋转异构化合物已在不对称合成、药物和材料设计中得到广泛应用。虽然近年来旋转受阻碳碳键合成得到广泛的研究,但由于氮氮键长相对较短,使得构筑轴向氮氮键时受到更大的空间位阻效应,导致氮氮键轴手性联芳基化合物的合成更具挑战性。
近日,
山东大学李兴伟
教授团队与合作者通过合理的底物设计,发展了
含有氮氮和碳氮/碳碳双轴手性联芳基化合物的构建,该反应具有优异的对映选择性和非对映选择性
(图1)。
图1. 氮氮和碳氮/碳碳双轴手性联芳基化合物的构建
在本研究中,李兴伟教授团队实现了氮氮轴手性和非对映发散合成。作者报道了三类具有优异对映选择性和非对映选择性的氮氮和碳氮/碳碳双轴手性联芳基化合物合成策略。需要指出的是,通过反应条件的精准控制可以实现酰胺和1-炔基萘的非对映选择发散性偶联过程(图2)。
天津
大学黄根平
教授团队的理论计算为理解非对映发散合成过程提供了详细的机理解释。
图2. 反应条件控制的立体发散性合成
在李兴伟团队前期铑催化1-炔基萘和芳烃的偶联研究中 (
Angew. Chem. Int. Ed
.
2020
,
59
, 13288–13294;
Angew. Chem. Int. Ed
.
2021
,
60
, 16628–16633.) 发现,反应溶剂的精准调控可以实现两个轴手性非对映异构体高效合成(图3)。炔烃插入的立体化学与反应溶剂的性质密切相关。在非质子溶剂中,Ag(I)或Zn(II)等Lewis酸添加剂与底物的导向基团以及大位阻炔的2-OR基团相互作用,从而影响大位阻炔的插入立体选择性。
图3. 大位阻炔对映选择性插入的立体发散和手性诱导模型
通过不同类型底物的广泛探索,作者最终实现了7-氮杂吲哚苯酰胺与1-炔基萘偶联的非对映发散偶联过程。当DCE作为溶剂时,可以 选择性合成 (
S
CC
, S
NN
)-环状产物 (条件C);当用强极性质子溶剂HFIP (条件D) 时,选择性得到非对映异构体 (
R
CC
, S
NN
)
。然后作者详细研究了非对映异构发散过程的适用范围,该反应对各种取代基团具有良好的兼容性(图4)。
图4. 对映选择性和非对映发散性[4 +2]环化反应
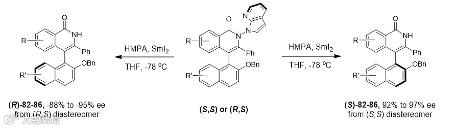
作者使用Sm
I
2
处理双轴产物,可以高效还原断裂产物中的氮氮键,得到含有单个碳碳手性轴的产物。通过该还原过程,双轴手性非对映体产物可以很好的转化为相应单轴对映异构体 (图5)。
图5. 氮氮键还原实现的对映选择性发散合成
综上所述,山东大学前沿交叉科学
青岛
研究院分子科学与工程研究院李兴伟教授团队报道了一种铑催化对映选择性和非对映选择性构建双轴手性联芳基化合物的新方法。该反应条件温和,适用范围广,具有优良的潜在合成应用价值,相关成果发表在
Nature Communications
上。前沿院博士生
王义收
为文章第一作者,陕西师范大学
王芬
副教授、天津大学
黄根平
教授、山东大学
李兴伟
教授为通讯作者,山东大学为第一完成单位。
原文(扫描或长按二维码,识别后直达原文页面):
Rhodium-catalyzed enantioselective and diastereodivergent access to diaxially chiral heterocycles
Yishou Wang, Xiaohan Zhu, Deng Pan, Jierui Jing, Fen Wang, Ruijie Mi, Genping Huang & Xingwei Li
Nat. Commun
.,
2023
, DOI: 10.1038/s41467-023-39968-3
导师介绍
李兴伟
https://www.x-mol.com/groups/sdu_catsynthesis
点击“
阅读原文
”,查看
化学 • 材料
领域
所有收录期刊
【声明】内容源于网络
0
0
X-MOL资讯
“X-MOL资讯”隶属于X-MOL学术平台(官网x-mol.com),关注化学、材料、生命科学、医学等领域的学术进展与科研前沿,提供专业与深度的内容。公众号菜单还提供“期刊浏览”等强大功能,覆盖各领域上万种期刊的新近论文,支持个性化浏览。
内容
19833
粉丝
0
关注
在线咨询
X-MOL资讯
“X-MOL资讯”隶属于X-MOL学术平台(官网x-mol.com),关注化学、材料、生命科学、医学等领域的学术进展与科研前沿,提供专业与深度的内容。公众号菜单还提供“期刊浏览”等强大功能,覆盖各领域上万种期刊的新近论文,支持个性化浏览。
总阅读
1.6k
粉丝
0
内容
19.8k
在线咨询
关注