大数跨境
0
0

【高分子】朱剑波教授团队Nat. Catal.:基于螺环Salen-钇催化剂化学合成立构规整性聚羟基脂肪酸酯

【高分子】朱剑波教授团队Nat. Catal.:基于螺环Salen-钇催化剂化学合成立构规整性聚羟基脂肪酸酯 X-MOL资讯
2023-08-18
2
导读:四川大学朱剑波教授团队首次报道了rac-BBL立体选择性聚合制备高等规P3HB的方法:团队设计合成了一类螺环-salen金属钇催化剂,调整配体的取代基和立体构型 (Fig. 1),可以合成等规P3HB


面对严峻的废弃塑料污染问题,可持续发展材料受到越来越多的关注。聚羟基脂肪酸酯 (polyhydroxyalkanoates, PHAs) 是一类可由细菌发酵制备的可降解高分子材料,它具有优异的气密性、生物兼容性和热学、力学性能。等规聚-3-羟基丁酸酯 (poly-3-hydroxybutryte, P3HB) 是PHAs家族中最早被发现的,也是产量最大、最受关注的PHA。1982年,Imperial Chemical Industries Ltd. (ICI) 开发了基于生物合成等规P3HB的商用材料,其被认为是一种性能可以媲美等规聚丙烯的可降解高分子材料,然而生物发酵的制备途径存在产率低、难以规模化等问题,限制了等规P3HB的大规模应用。

Scheme 1. Research background and this work

化学合成P3HB面临立体选择性的难题:非立体选择性合成的无规P3HB材料 (Pm≈ 0.50) 为油状液体缺乏力学性能。自1961年外消旋β-丁内酯 (rac-BBL) 开环聚合制备无规P3HB被首次报道以来,大量工作致力于从商业可得的rac-BBL立体选择性开环聚合制备等规P3HB。然而数十年过去,由rac-BBL直接得到高等规度,高分子P3HB的结果仍然不理想。目前为止,化学合成高等规度P3HB的途径仅有两个:从手性环氧单体和一氧化碳出发一锅法串联反应,开环共聚合制备等规度P3HB,这种方法需要光学纯的原料 (scheme 1b);从外消旋八元环内酯Diolide立体选择性聚合制备等规P3HB,Diolide的合成繁琐、产率较低并且外消旋Diolide是从非对映异构体中拆分得到的 (scheme 1c)。

Fig. 1. Salen ligand systems. (a) Classic salen ligand systems. (b) spiro-salen ligands L1⎼L7. (c) Spiro-BINOL-salen ligands L8⎼L20 studied in this work. 

四川大学朱剑波教授团队首次报道了rac-BBL立体选择性聚合制备高等规P3HB的方法 (scheme 1d):团队设计合成了一类螺环-salen金属钇催化剂,调整配体的取代基和立体构型 (Fig. 1),可以合成等规P3HB (Pm = 0.95) 和间规P3HB (Pr > 0.99)。聚合反应表现出良好的活性,催化剂负载量最低可达万分之一,最高转化频率为2.48 × 105 h-1,聚合物分子量达576 kDa。作者对所得到的聚合物进行热性表征,Pr= 0.99的P3HB的熔融转变温度为191 °C,Pm = 0.92的等规P3HB熔融转变温度可以达到156 °C。将rac-BBL和外消旋β-戊内酯共聚合,得到一系列不同比例,不同立体规整度和交替度的聚合物,这些聚合物熔融转变温度在108–159 °C之间,抗拉强度 23.3–32.9 MPa之间,断裂伸长率在274–505%之间,性能可以媲美商用聚丙烯材料。

Fig. 2. Syndioselective ring-opening polymerization of rac-BBL by spiro-salen catalysts rac-Y5⎼Y7. (a) ROP results for spiro-salen catalysts rac-Y5Y7. TOF (Turnover frequency), Pr (probability of racemic linkages between monomer unites). The X-ray crystal structure of rac-Y7 (ORTEP view, displacement ellipsoids drawn at 50% probability level). Hydrogen atoms have been omitted for clarity. (b) Proposed polymeryl exchange mechanism for spiro-salen catalysts rac-Y5Y7.

团队首先合成了一类螺环水杨醛金属钇配合物Y5-7 (Fig. 2),配合物的结构被核磁氢谱碳谱和XRD单晶衍生证明。rac-Y5-7催化rac-BBL可以得到高间规P3HB,Pr最高可达0.99,由rac-Y7完成。同时观察到rac-Y5-7的间同选择性均高于光学纯的Y5-7。(R)-Y7和(S)-Y7的立体选择性仅为0.77。因此作者们提出了聚合物链在手性催化剂活性中心间交换的反应机理 (polymeryl exchange mechanism),并进行动力学实验。

Fig. 3. Stereoselective polymerization. ROP results for spiro-BINOL-salen catalysts Y14.

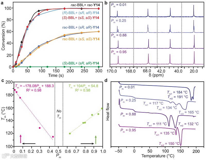
接着他们再引入了手性的联萘水杨醛结构,合成了配体L8-20, 通过原位合成金属钇配合物的方法考察了不同结构配合物对聚合反应的立体选择性。团队合成Y14的四个非对应异构体,其中 (sR, aS)-Y14和它的对映异构体 (sS, aR)-Y14催化外rac-BBL表现出了间同选择性,Pr = 0.90,所得聚合物的熔融转变温度为164 °C。(sR, aR)-Y14催化rac-BBL得到了等规度为0.92的等规P3HB, (sR, aR)-Y14特异地催化(S)-BBL参与聚合,残留(R)-BBL的ee值为98%。(sR, aR)-Y14的对映异构体(sS, aS)-Y14催化rac-BBL有非常类似的结果,特异性的催化(R)-BBL聚合。将 (sR, aR)-Y14和(sS, aS)-Y14催化剂1:1混合,得到rac-Y14, rac-Y14催化rac-BBL开环聚合则得到Pr 高达 0.93的间规P3HB, 单体转化率为99%,rac-Y14表现出了远超光学纯Y14的催化活性和截然相反的聚合选择性。团队接着对不同构型Y14配合物催化rac-BBL和光学纯BBL的聚合反应进行了动力学实验测试(Fig. 4a),测试结果同样暗示了一种对映位点控制 (enantiomorphic site control mechanism) 和链交换的机理(polymeryl exchange mechanism)。

Fig. 4. Stereoselectivity study for ROP of rac-BBL. (a) Time-conversion plots of rac-BBL, 2.0 M in toluene, room temperature (rt), [rac-BBL]/[Y]/[I] = 200/1/1. (b) 13C NMR spectra (CDCl3) of P3HB samples with Pm values of 0.01, 0.25, 0.88, and 0.95. (c) Pm-Tm summary. (d) DSC curves of P3HB samples with Pm values of 0.01, 0.25, 0.88, and 0.95.

所得聚合物的规整度采用了核磁共振碳谱图表征(Fig. 4a),接着团队对得到的一系列不同规整度的P3HB进行了热性能的表征和比较,间规P3HB的熔点和等规度Pm的回归方程为Tm = 178.08Pm + 188.3,规整度P在0.50左右的无规聚合物没有观察到熔点。

Fig. 5. Copolymerization study of rac-BBL and rac-BVL. (a) Copolymerization study of rac-BBL and rac-BVL and the microstructures of copolymers P(3HB-alt-3HV), P[(3HB)4-co-3HV], P(3HB-co-3HV), P[3HB-co-(3HV)4] and P(3HB-grad-3HV). (b) 13C NMR spectra of copolymers P(3HB-alt-3HV), P[(3HB)4-co-3HV], P(3HB-co-3HV), P[3HB-co-(3HV)4], and P(3HB-grad-3HV). (c) Stress-strain curves of copolymers P(3HB-alt-3HV), P[(3HB)4-co-3HV], P(3HB-co-3HV), P[3HB-co-(3HV)4], and P(3HB-grad-3HV). (d) Photographs of the PHA sample films.

最后该团队使用rac-Y6rac-Y14催化了rac-BBL和外消旋β-戊内酯(rac-BVL)的开环共聚合反应(Fig 5.),通过改变rac-BBL和rac-BVL的比例,制备了一系列共聚物。rac-Y6催化的共聚合反应,BBL和BVL单体表现出相似的活性,得到了一组无规但高度间同的聚合物。rac-Y7催化的共聚合物反应,BBL单体活性高于BVL单体,因此得到了一类嵌段且高度间同的聚合物。核磁共振碳谱和动力学实验证明了这些聚合物的序列结构和立体规整度,这些聚合物的熔融转变温度在108–159 °C之间,抗拉强度 23.3–32.9 MPa之间,断裂伸长率在274–505%之间,性能可以媲美商用聚丙烯材料。

该研究发表在Nature Catalysis 上,四川大学为唯一通讯单位,化学学院朱剑波教授为通讯作者,博士研究生黄皓毅为第一作者。特别感谢科技部、国家自然科学基金委、四川大学的经费支持。同时感谢四川大学化学学院化学专业实验室综合训练平台邓冬艳老师、阳萌老师和化学学院周宇乔老师的测试支持。

原文(扫描或长按二维码,识别后直达原文页面):
Spiro-salen catalysts enable the chemical synthesis of stereoregular polyhydroxyalkanoates
Hao-Yi Huang, Wei Xiong, Yu-Ting Huang, Kun Li, Zhongzheng Cai & Jian-Bo Zhu 
Nat. Catal., 2023, DOI: 10.1038/s41929-023-01001-7

导师介绍
朱剑波
https://www.x-mol.com/university/faculty/328662



点击“阅读原文”,查看 化学 • 材料 领域所有收录期刊

【声明】内容源于网络
0
0
X-MOL资讯
“X-MOL资讯”隶属于X-MOL学术平台(官网x-mol.com),关注化学、材料、生命科学、医学等领域的学术进展与科研前沿,提供专业与深度的内容。公众号菜单还提供“期刊浏览”等强大功能,覆盖各领域上万种期刊的新近论文,支持个性化浏览。
内容 19832
粉丝 0
X-MOL资讯 “X-MOL资讯”隶属于X-MOL学术平台(官网x-mol.com),关注化学、材料、生命科学、医学等领域的学术进展与科研前沿,提供专业与深度的内容。公众号菜单还提供“期刊浏览”等强大功能,覆盖各领域上万种期刊的新近论文,支持个性化浏览。
总阅读16.0k
粉丝0
内容19.8k