大数跨境
0
0

【材料】马骋团队Nano Lett.:通过改变晶体结构在锆基氯化物固态电解质中实现超过1 mS cm⁻¹的离子电导率

【材料】马骋团队Nano Lett.:通过改变晶体结构在锆基氯化物固态电解质中实现超过1 mS cm⁻¹的离子电导率 X-MOL资讯
2023-07-11
1
导读:中国科学技术大学马骋教授团队设计并合成了一种Li3Zr0.75OCl4固态电解质。


为实现安全、高比能全固态锂电池的商业化,固态电解质既需要展示高离子电导率,又需要在成本上具备足够的竞争力。目前被广为研究的固态电解质大都具有较高的离子电导率,但是普遍成本高昂,难以商业化。其中唯一的例外是2021年由中科大马骋教授团队报道的Li2ZrCl6固态电解质。它的成本远远低于主流的氧化物、硫化物、氯化物固态电解质,也远低于商业化所需要的50美元每公斤的阈值。但是,这种材料的离子电导率不足1 mS cm-1,难以实现较高的电池性能。在不破坏氯化锆锂成本优势的前提下实现高于1 mS cm-1的离子电导率,是一项重大挑战。

针对这一问题,中国科学技术大学马骋教授团队设计并合成了一种Li3Zr0.75OCl4固态电解质。该电解质具有1.35 mS cm-1的高离子电导率,同时其成本预计仅有$11.09/kg,远低于$50/kg的门槛值。基于单晶LiNi0.8Mn0.1Co0.1O2的全固态电池在5 C(975 mA g-1)、室温下稳定循环700圈后仍有80%的容量保持率。

此工作的灵感源于具有C2/m结构且较高离子电导率(3 mS cm-1)的Li3ScCl6固态电解质。尽管这种电解质的原料ScCl3价格昂贵($17422.08/kg),难以商业化,但是它的晶体结构相当适合锂离子传输。相比之下,Li2ZrCl6的结晶相展示P-3m1空间群,并不适合离子传输;其离子电导率主要源于非晶相。如果能让Li2ZrCl6的结晶相也具有适合离子传输的C2/m结构,将有效提升离子电导率。考虑到Zr4+Sc3+具有相似的离子半径,研究者首先尝试将Li3ScCl6中每摩尔的Sc替换为0.75摩尔的Zr,希望由此形成的Li3Zr0.75Cl6展示C2/m的晶体结构。但是,由于Li3Zr0.75Cl6的过渡金属位具有过多的空位,导致结构不稳定,因此该物质无法形成纯相。为了进一步稳定结构,研究者尝试将Cl-部分替换为O2-,形成Li3Zr0.75OxCl6-2x,以制造阴离子空位。当x增加至0.6时,X射线衍射图谱及Rietveld精修结果皆表明材料已展示纯相,且晶体结构和Li3ScCl6相同,并且直到x增加至1.4时,材料仍保持这样的晶体结构。

图1.(a)Li3Zr0.75OxCl6-2x的X射线衍射图谱;(b)Li3Zr0.75OCl4的Rietveld精修图,(c-d)Li3Zr0.75OCl4的晶体结构示意图。

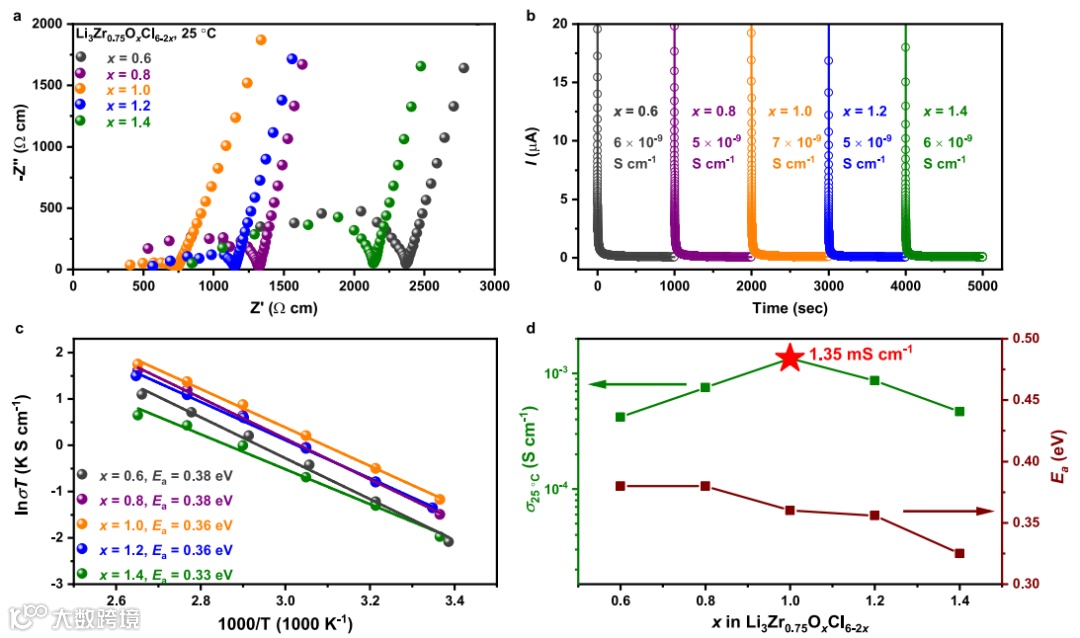
由于Li3Zr0.75OxCl6-2x展示更为适合离子传输的C2/m晶体结构,从而弥补了Li2ZrCl6材料中结晶相离子传输效率较低的短板,因此其离子电导率得以超过1 mS cm-1。根据电化学阻抗谱测试,Li3Zr0.75OxCl6-2x的离子电导率随着x的增加先增后减,在x = 1.0时达到1.35 mS cm-1,超过了实际应用所需求的1 mS cm-1

图2. Li3Zr0.75OxCl6-2x的(a)Nyquist图,(b)电流-时间曲线,(c)Arrhenius图和(d)室温离子电导率和激活能随成分的变化趋势。

由于Li3Zr0.75OCl4较高的离子电导率,其得以实现优异的电池性能。以Li3Zr0.75OCl4为电解质,单晶LiNi0.8Mn0.1Co0.1O2所构筑的全固态电池在室温、5 C(975 mA g-1)的条件下稳定循环700圈后仍有80%的容量保持率。

图3. 基于Li3Zr0.75OCl4固态电解质的全固态电池的循环性能。

此外,Li3Zr0.75OCl4继承了Li2ZrCl6的成本优势。如果使用LiOH•H2O、LiCl、ZrCl4作为原料合成Li3Zr0.75OCl4,其成本预计为$11.09/kg,不仅远低于Li3InCl6 ($380.26/kg)、Li2In1/3Sc1/3Cl4 ($4418.10/kg) 和 Li3ScCl6 ($9468.84/kg),还低于满足商业化要求的$50/kg的门槛值。Li3Zr0.75OCl4在保持Li2ZrCl6成本优势的前提下实现了超过1 mS cm-1的离子电导率,是很有应用前景的新型固态电解质。

原文(扫描或长按二维码,识别后直达原文页面):
Alternate Crystal Structure Achieving Ionic Conductivity above 1 mS cm–1 in Cost-Effective Zr-Based Chloride Solid Electrolytes
Jinzhu Wang, Fang Chen, Lv Hu, and Cheng Ma*
Nano Lett., 2023, DOI: 10.1021/acs.nanolett.3c01468

导师介绍
马骋
https://www.x-mol.com/university/faculty/73339



点击“阅读原文”,查看 化学 • 材料 领域所有收录期刊

【声明】内容源于网络
0
0
X-MOL资讯
“X-MOL资讯”隶属于X-MOL学术平台(官网x-mol.com),关注化学、材料、生命科学、医学等领域的学术进展与科研前沿,提供专业与深度的内容。公众号菜单还提供“期刊浏览”等强大功能,覆盖各领域上万种期刊的新近论文,支持个性化浏览。
内容 19833
粉丝 0
X-MOL资讯 “X-MOL资讯”隶属于X-MOL学术平台(官网x-mol.com),关注化学、材料、生命科学、医学等领域的学术进展与科研前沿,提供专业与深度的内容。公众号菜单还提供“期刊浏览”等强大功能,覆盖各领域上万种期刊的新近论文,支持个性化浏览。
总阅读1.6k
粉丝0
内容19.8k