搜索
首页
大数快讯
大数活动
服务超市
文章专题
出海平台
流量密码
出海蓝图
产业赛道
物流仓储
跨境支付
选品策略
实操手册
报告
跨企查
百科
导航
知识体系
工具箱
更多
找货源
跨境招聘
DeepSeek
首页
>
【有机】哈工大(深圳)夏吾炯/郭林团队Nat. Commun.:非活化碳氢化合物的光电sp3碳氢键硼化反应研究
>
0
0
【有机】哈工大(深圳)夏吾炯/郭林团队Nat. Commun.:非活化碳氢化合物的光电sp3碳氢键硼化反应研究
X-MOL资讯
2023-10-27
3
导读:哈尔滨工业大学(深圳)的夏吾炯、郭林团队利用有机光电化学策略,在无需金属和氧化剂的条件下,实现了非活化碳氢化合物的C(sp3)−H硼化。
有机硼化物是合成化学中用途极为广泛的组成部分,尤其是烷基硼化物是非常重要的合成前体,可以很容易地转化为各种有价值的官能团,这些硼化物也广泛应用于材料科学和药物化学等领域。然而,由于它们在自然界中的稀缺性,有机硼化物的获取在很大程度上依赖于化学合成。对此,开发更简单、更温和、更有效的方法来合成烷基硼化物,是极具应用价值的。
对于丰富且廉价的碳氢化合物直接进行C(s
p
3
)−H键选择性官能化,以生产高附加值化学品,不仅在有机化学中具有很高的回报,而且还有待充分探索。基于此情况下,将惰性s
p
3
C-H键直接转化为硼酸或硼酸酯是极具重要的应用价值的。2023年以来
哈尔滨
工业大学(
深圳
)夏吾炯/郭林团队和英国布里斯托大学Varinder K. Aggarwal课题组在
JACS
上分别报道了光诱导LMCT条件下过渡金属铁和铜催化的、由自由基介导的烷烃脱氢C(s
p
3
)-H硼化反应(
J. Am. Chem. Soc
.
2023
,
145
, 7600-7611;
J. Am. Chem. Soc
.
2023
,
145
, 15207-15217)。对此,他们设想探索一个通用、可持续且无过渡金属参与的平台用于选择性C(s
p
3
)−H硼化反应。
图1. 光电条件下的C(s
p
3
)-H硼化反应研究
围绕这一关键问题,
哈尔滨工业大学(深圳)
的
夏吾炯、郭林
团队
利用有机光电化学策略,在无需金属和氧化剂的条件下,实现了非活化碳氢化合物的C(s
p
3
)−H硼化。
该合成策略:(1)无需任何过渡金属参与反应,反应条件温和,操作简单,可扩展性强以及高效的流动反应证明该方法具有很大的工业应用潜力;(2)该方法表现出了非常广泛的底物适用范围和对不同碳氢化合物的良好耐受性——简单烷烃、卤化物、硅烷、酮、酯和腈都可以参与反应(图2)。
图2. 底物适用范围
为了进一步证明这种光电化学方法的合成潜力,作者通过将已有的光电化学合成策略进行改进,成功的将这种批处理方案转化为可扩展的连续流动合成方式,这种可持续流动的合成方式,可以很好的适用于碳氢化合物与
B
2
(cat)
2
的更大规模的转化(图3)。
图3. 连续流动反应
为了深入了解光电化学条件下未活化碳氢化合物与
B
2
(cat)
2
反应机理,作者进行了一系列机理实验。首先,通过将NaOCl与HCl混合产生
Cl
2
的方式,揭示了
Cl
2
通过电化学过程产生并且参与了光电化学C(s
p
3
)-H硼化反应(图4a)。随后,进行了KIE实验,以探索HAT步骤是否是整个反应过程的速率决定步骤。实验结果(
k
H
/k
D
= 1.0)暗示HAT过程不是整个反应过程的限制步骤(图4b)。为了更深入地了解HAT物种的起源,作者通过使用N,N-二烯丙基(对甲苯磺基)胺在标准反应条件下分离出氯代环产物进行证实反应当中氯自由基的形成(图4c)。接着,作者使用
EPR
进行检测关键的自由基中间体(图4d)。
在证明了反应过程中的关键中间体后,作者开始研究C(s
p
3
)-H硼化生成位点选择性的来源。通常,通过氯自由基介导的HAT过程进行的C(s
p
3
)-H功能化反应优先发生在较弱的C–H键处,趋势为3°>2°>1°。考虑到KIE实验,氯自由基中介导的HAT步骤已被证明不是速率决定步骤。对此,作者假设氯自由基进行HAT过程,最初产生3°碳中心自由基。然而,更多取代的自由基与
B
2
(cat)
2
的反应性较慢,可能导致空间不受阻碍的1°自由基的功能化较快,这意味着通过HAT形成烷基自由基是快速可逆的。为了验证这一假设,作者通过合成了三种不同的氘化化合物进行实验验证。正如预期的那样,在反应12 h后,观察到中等程度的h/d交换,相应的C–H硼化产物的叔碳位点的氘代减少(图4e)。此外,作者通过选用2,3-二甲基丁烷(DMB)作为标准烷烃底物来探究位点选择性(图4f)。结果表明,苯亚甲基丙二腈
64
和丙烯酸苯基酯
66
作为典型自由基受体的加入大大抑制了C–H硼化反应,而在较弱的3°C–H键上优先产生C–H烷基化产物
65
(1°/3°的选择性:1:3)和产物
67
(1°/3°的选择性:1:6)。这些结果支持了形成碳中心自由基的可逆HAT过程,并表明自由基受体的使用在很大程度上影响了位点选择性。
为了进一步了解HCl在该光电化学系统中的作用,作者进行了相应的几个对照实验,如图4g所示。作者使用
H
3
PO
4
取代HCl成功地以67%的产率得到了所需的C–H硼化产物,这表明HCl在阴极表面作为质子源,保护
B
2
(cat)
2
免受阴极的单电子还原而非氯源的关键作用。作者通过分电池实验(图4g)进一步证实HCl在反应中的作用。此外,为了进一步揭示光电化学条件下的HAT物种,作者进一步进行了更多的机理实验(详见文章补充信息)。实验结果表明,在反应过程中,游离的Cl自由基和Cl-硼络合物都可能是HAT物种。
图4. 机理探究
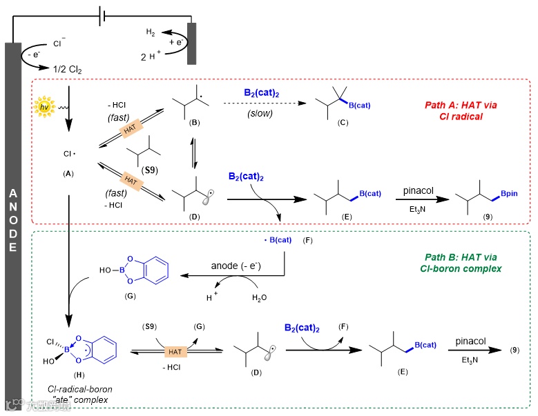
基于上述机制研究和相关文献报道,作者提出了图5所示的机制。首先,
Cl
-
在阳极表面被电化学氧化为
Cl
2
,然后通过光诱导
Cl
2
的均裂生成氯自由基物种(
A
)。根据其固有的选择性,氯自由基与C(s
p
3
)-H化合物(以S9为例)进行HAT过程,得到碳中心自由基中间体(
B
),该自由基可能由于空间位阻而无法在叔位点进行C–H的硼化反应。由于烷基的形成是可逆的(或者烷基可以通过与底物的其他分子形成可逆HAT而“异构化”),因此生成空间上不受阻碍的表面自由基(
D
)并被
B
2
(cat)
2
捕获,得到硼酸烷基酯(
E
)和硼基自由基(
F
)(路径A)。或者,反应体系中水解和阳极氧化产生的HO-Bcat(
G
)可以与Cl自由基物种(
A
)络合,得到Cl自由基-硼“酸酯”络合物(
H
),然后进行HAT过程,得到碳中心自由基(
D
)(路径B)。用频那醇和三乙胺处理中间体(
E
)最终得到目标产物
9
。在阴极表面,质子进行阴极还原以产生
H
2
。
图5. 反应机理
综上所述,夏吾炯/郭林团队发展了一种光电C(s
p
3
)-H硼化的方法,该方法通过容易获得的简单的烷烃、卤化物、硅烷、酮、酯和腈作为底物与
B
2
(cat)
2
制备不同类型的脂族硼酸酯产物。重要的是,该反应表现出非常规的位点选择性,C(s
p
3
)-H硼化优先发生在甲基末端位置。此外,通过连续流动中进行了烷基硼产物的克级合成,这也突出了该合成方法的合成潜力。作者对这一非常规位点选择性进行了详细的机理研究和讨论。鉴于有机硼化合物作为有机合成中有价值的构建块的重要性和可行性,以及报道的非常规位点选择性,相信这项研究将为在后期选择性地安装药物分子的有价值官能团提供巨大机会。
这一研究成果近期发表在
Nat. Commun.
上,文章第一作者为哈工大(深圳)的博士研究生
钟平富
,通讯作者为哈工大(深圳)的
夏吾炯
教授、
郭林
副教授。该研究工作也得到了国家自然科学基金、广东省自然科学基金、深圳市基础研究等基金的大力支持。
原文(扫描或长按二维码,识别后直达原文页面):
Photoelectrochemical oxidative C(s
p
3
)−H borylation of unacti
vat
ed hydrocarbons
Ping-Fu Zhong, Jia-Lin Tu, Yating Zhao, Nan Zhong, Chao Yang, Lin Guo & Wujiong Xia
Nat. Commun
.,
2023
,
14
, 6530, DOI: 10.1038/s41467-023-42264-9
导师介绍
夏吾炯
https://www.x-mol.com/university/faculty/25247
郭林
https://www.x-mol.com/university/faculty/302186
点击“
阅读原文
”,查看
化学 • 材料
领域
所有收录期刊
【声明】内容源于网络
0
0
X-MOL资讯
“X-MOL资讯”隶属于X-MOL学术平台(官网x-mol.com),关注化学、材料、生命科学、医学等领域的学术进展与科研前沿,提供专业与深度的内容。公众号菜单还提供“期刊浏览”等强大功能,覆盖各领域上万种期刊的新近论文,支持个性化浏览。
内容
19833
粉丝
0
关注
在线咨询
X-MOL资讯
“X-MOL资讯”隶属于X-MOL学术平台(官网x-mol.com),关注化学、材料、生命科学、医学等领域的学术进展与科研前沿,提供专业与深度的内容。公众号菜单还提供“期刊浏览”等强大功能,覆盖各领域上万种期刊的新近论文,支持个性化浏览。
总阅读
8.1k
粉丝
0
内容
19.8k
在线咨询
关注