搜索
首页
大数快讯
大数活动
服务超市
文章专题
出海平台
流量密码
出海蓝图
产业赛道
物流仓储
跨境支付
选品策略
实操手册
报告
跨企查
百科
导航
知识体系
工具箱
更多
找货源
跨境招聘
DeepSeek
首页
>
【材料】西北大学侯磊/王尧宇Angew:活性位点修饰MOF非极性孔道用于高效C2H4纯化和C3H6回收
>
0
0
【材料】西北大学侯磊/王尧宇Angew:活性位点修饰MOF非极性孔道用于高效C2H4纯化和C3H6回收
X-MOL资讯
2023-09-29
2
导读:西北大学化学与材料科学学院侯磊教授、王尧宇教授课题组利用“活性位点修饰MOF非极性孔道”的策略,设计开发了一例具有笼状互穿结构的MOF材料,实现了对三种烃类化合物(C2H4、C2H6和C3H6)中C2
丙烯(
C
3
H
6
)、乙烯(
C
2
H
4
)等轻质烯烃是现代化学制造业的基石,同时也是石化行业产量位居前两位的原材料。甲醇制烯烃(MTO)反应和烃类分子裂解是目前制备
C
3
H
6
和
C
2
H
4
的重要工艺技术,其中MTO反应的主要产物含有
C
3
H
6
和
C
2
H
4
,烃类分子裂解会产生乙烷(
C
2
H
6
)杂质。因此高效分离
C
2
H
6
/
C
2
H
4
和
C
3
H
6
/
C
2
H
4
混合物是获得聚合物级
C
2
H
4
和
C
3
H
6
的重要途径。工业上常采用低温蒸馏(cryogenic distillation)进行烯烃纯化,但这种技术需要消耗大量的
能量
,生产成本很高。据估算,乙烯生产成本中大约75%都用在了这一过程。因此寻找效率更高,成本更低的分离方法成为研究人员面临的一项极其重要的任务。变压吸附装置投资成本低,操作简便,可实现自动化运转,其所具有的成本少、能耗低等优势将会具有很大的技术竞争力。该技术的关键在于高效吸附剂的开发。
以高效吸附剂的开发为目标,近日
西北大学
化学与材料科学学院
侯磊
教授、
王尧宇
教授课题组利用“
活性位点修饰MOF非极性孔道
”的策略,设计开发了一例
具有笼状互穿结构的MOF材料(Zn-BPZ-TATB),实现了对三种烃类化合物(
C
2
H
4
、
C
2
H
6
和
C
3
H
6
)中
C
2
H
6
和
C
3
H
6
的优先吸附。
Zn-BPZ-TATB首次实现了从
C
2
H
6
/
C
3
H
6
/
C
2
H
4
三元混合物中通过单次吸附/脱附循环同时获得高纯度
C
2
H
4
(≥99.9%)和
C
3
H
6
(≥99.5%)产品,
C
2
H
4
和
C
3
H
6
产量分别达到了12.7和38.2 L k
g
-1
。研究采用的策略为具有烯烃纯化功能的MOF材料的设计提供了重要、有效的方法。
研究团队选用甲基修饰的联吡唑配体与多芳香环4,4’,4’’-s-三嗪-2,4,6-三苯甲酸混合配体构筑了一例非极性孔道中含有N/O活性位点的MOF(Zn-BPZ-TATB)材料。如图1所示,Zn-BPZ-TATB是一个基于笼状结构的二重穿插多孔框架,表现出高的比表面积(1124.2
m
2
g
-1
),且沿着
c
轴方向存在三种不同表面环境的孔道:孔径最小的孔道I主要由羧基氧原子修饰;孔道II主要由芳香环和三嗪环组成;孔径最大的孔道III则由指向孔道的甲基基团修饰。这种独特的孔环境将在识别具有不同形状和极性的烃类分子方面发挥选择性作用。
图1. Zn-BPZ-TATB的晶体结构和孔结构。
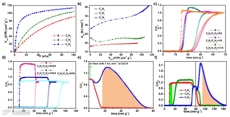
Zn-BPZ-TATB含有非极性的孔道,其中分布着丰富的N/O原子活性位点,在常温常压下表现出高的
C
3
H
6
(114. 0 c
m
3
g
-1
)、
C
2
H
6
(105.1 c
m
3
g
-1
)吸附容量和显著的
C
2
H
6
/
C
2
H
4
(1.8)、
C
3
H
6
/
C
2
H
4
(8.9)吸附选择性(图2)。在常温常压下,Zn-BPZ-TATB不仅可以从
C
3
H
6
/
C
2
H
4
和
C
2
H
6
/
C
2
H
4
混合物中直接分离出高纯度(≥99.9%)
C
2
H
4
产品,而且还可以从
C
3
H
6
/
C
2
H
4
混合物中回收得到高纯度(≥99.5%)
C
3
H
6
。并且Zn-BPZ-TATB首次实现了从三元
C
2
H
6
/
C
3
H
6
/
C
2
H
4
混合物中通过单次吸附/脱附循环同时获得高纯度的
C
3
H
6
(≥99.5%)和
C
2
H
4
(≥99.9%)产品,
C
3
H
6
和
C
2
H
4
产量分别为38.2和12.7 L k
g
-1
。
图2. Zn-BPZ-TATB的气体吸附曲线和穿透实验曲线。
理论计算显示Zn-BPZ-TATB中羧酸氧原子和三嗪环氮原子以及联吡唑配体中的甲基基团可以有效结合
C
2
H
6
和
C
3
H
6
分子;然而与
C
2
H
4
分子的结合相对较弱,导致对
C
2
H
6
和
C
3
H
6
的优先吸附(图3)。吸附动力学测试也表明Zn-BPZ-TATB对
C
2
H
6
和
C
3
H
6
的吸附速率明显高于
C
2
H
4
。因此,
热力学和动力学上的协同效应决定了Zn-BPZ-TATB的优异分离性能。
图3. Zn-BPZ-TATB的吸附作用方式和动力学吸附曲线。
这一研究成果近期发表在
Angewandte Chemie International Edition
上,西北大学化学与材料科学学院博士研究生
王刚丁
为文章第一作者,
侯磊
教授为通讯作者,
王尧宇
教授和昆士兰大学
朱中华
教授给予了重要指导,国家自然科学基金委提供了经费支持。
原文(扫描或长按二维码,识别后直达原文页面):
Active Sites Decorated Nonpolar Pore-Based MOF for One-step Acquisition of
C
2
H
4
and Recovery of
C
3
H
6
Gang-Ding Wang, Yong-Zhi Li, Wen-Juan Shi, Lei Hou, Yao-Yu Wang, and Zhonghua Zhu
Angew. Chem. Int. Ed.
,
2023
, DOI: 10.1002/anie.202311654
侯磊教授简介
侯磊,西北大学化学与材料科学学院教授、博士生导师,陕西省青年科技新星、陕西省中青年科技创新领军人才。2005年获得
汕头
大学硕士学位,2009年获得
中山
大学博士学位,同年加入西北大学化学与材料科学学院。主要从事功能导向金属有机框架材料、有机-无机杂化晶态材料的合成研究。近年来以通讯作者在
Angew. Chem. Int. Ed., Chem. Eng. J., J. Mater. Chem. A, ACS Appl. Mater. Inter., Sensors Actuat. B: Chem., Chem. Eur. J., Inorg. Chem. Front.
等刊物发表论文90多篇,7篇论文入选ESI前1%高被引用论文。先后主持国家自然科学青年和面上项目基金、中国博士后基金、陕西省科技厅项目基金等多项。
侯磊
https://www.x-mol.com/university/faculty/13779
https://chem.nwu.edu.cn/cmsproduct/front/commonLeft?channelId=27#childChannelId=21#teacher_info?userId=94&profession=%E6%95%99%E6%8E%88&flag=1
王尧宇
https://www.x-mol.com/university/faculty/13714
https://chem.nwu.edu.cn/cmsproduct/front/commonLeft?channelId=27#childChannelId=21#teacher_info?userId=259&profession=%E6%95%99%E6%8E%88&flag=1
点击“
阅读原文
”,查看
化学 • 材料
领域
所有收录期刊
【声明】内容源于网络
0
0
X-MOL资讯
“X-MOL资讯”隶属于X-MOL学术平台(官网x-mol.com),关注化学、材料、生命科学、医学等领域的学术进展与科研前沿,提供专业与深度的内容。公众号菜单还提供“期刊浏览”等强大功能,覆盖各领域上万种期刊的新近论文,支持个性化浏览。
内容
19833
粉丝
0
关注
在线咨询
X-MOL资讯
“X-MOL资讯”隶属于X-MOL学术平台(官网x-mol.com),关注化学、材料、生命科学、医学等领域的学术进展与科研前沿,提供专业与深度的内容。公众号菜单还提供“期刊浏览”等强大功能,覆盖各领域上万种期刊的新近论文,支持个性化浏览。
总阅读
1.6k
粉丝
0
内容
19.8k
在线咨询
关注