英文原题:Resolving Molecular Size and Homologues with a Self-Assembled Metal−Organic Framework Photonic Crystal Detector
通讯作者:徐洪波,李垚,哈尔滨工业大学
作者:范雪滢,许淼
传统的光子晶体传感器普遍利用功能材料将环境刺激转变为折射率或者晶格间距的变化。这种基于光子结构平衡反射原理的传感器,不能体现出分子尺寸和折射率以外其他性能。因此,探索能够实现传统光子晶体传感器不能实现的分子尺寸的选择以及折射率相近物质的区分,同时又能实现常见有机物质的可视化检测区分仍是一个巨大的挑战。
图1. 传统光子晶体检测原理及示意图
文章亮点
近日,哈尔滨工业大李垚教授和团队在ACS Materials Letters上发表了题为“自组装金属-有机框架光子晶体传感器筛分分子尺寸和同系物的研究”,该工作开发了一种基于单分散ZIF-8纳米晶体自组装制备的光子传感器。利用ZIF-8孔径处于直连分子和环状分子之间,因此质量分子能进入ZIF-8内部,实现分子尺寸的检测。同时ZIF-8光子晶体孔道为直连分子的扩撒提供了通道,利用分子在MOF孔道中扩撒系数差异,实现直连同系物分子的区分。最终实现,分子尺寸和同系物的区分。
图2. MOF光子传感器的制备过程及其对不同有机蒸汽的尺寸/同质选择性光学响应示意图。
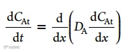
ZIF-8开口尺寸约0.5 nm,直连分子动力学直径小于0.5 nm,环状分子的动力学直径大于0.5 nm,因此直连分子能进入ZIF-8内部,环状分子不能进入。最终,直连分子引起的反射峰位移约为30-40 nm,而环状分子的峰位移动大约4 nm。例如ZIF-8传感器暴露于直连分子正己烷蒸汽中,其反射峰位移约50 nm,而在环状分子环己烷、苯、甲苯和二甲苯等环状分子引起的响应小于 4 nm。因此,可以通过光子晶体峰位移动区分直连分子和环状分子。直连分子进入ZIF-8光子晶体传感器中,都能引起较大光谱移动(波长移动大约40 nm)。同时,线性分子在ZIF-8孔中的解吸会导致光子晶体衍射性质的变化,从而使光子晶体的发射峰位逆行移动初始位置。通过物质扩散菲克定律:
和ZIF-8光子晶体反射峰公式:
带入公式中建立波长移动与分子扩散系数的关系:
因此,建立了线性分子在ZIF-8孔隙中扩散系数与光子晶体反射峰恢复时间的关系,在ZIF-8光子晶体中引入折射率和扩散系数。不同分子其化学性质和扩散系数存在差异,从而利用恢复时间检测折射率相似的同系物。例如相似折射率的分析物,丙醇(n = 1.385)和n-hexane(n = 1.387),引起相同的传感器光谱响应,不同的恢复时间分别为16 min和85 min。最终实现同系物,甲醇、乙醇、丙醇、丁醇、环己烷的区分。
图3. (a)各种分析物反射峰波长随时间的变化;(b)不同有机蒸汽反射峰的光谱位移与传感器恢复时间的关系。
总结/展望
本工作构建了一种具有光学传感响应的有机蒸汽的RPC。传感器能够识别出具有类似尺寸的分子以及相近折射率的同系物和有机化合物。与此同时,采用ZIF-8的组装工艺成功地将UiO-66组装为光子晶体,展示了所开发方案的灵活性,并扩展了基于MOF的光子晶体的潜在传感器设计和应用领域。
相关论文发表在期刊ACS Materials Letters上,哈尔滨工业大学博士研究生范雪滢和许淼为文章共同第一作者,李垚教授、徐洪波副教授共同通讯作者。
通讯作者信息:
徐洪波 哈尔滨工业大学
徐洪波,哈尔滨工业大学化工学院副教授,博士生导师,研究方向:仿生微结构构筑及光热性能研究。
李垚 哈尔滨工业大学
李垚,哈尔滨工业大学复合材料与结构研究所教授、博士生导师,主要从事光热调控功能复合材料的研究。
扫描二维码阅读英文原文
ACS Materials Lett. 2023, 5, 1703-1709
Publication Date: May 13, 2023
https://doi.org/10.1021/acsmaterialslett.3c00203
Copyright © 2023 American Chemical Society


