搜索
首页
大数快讯
大数活动
服务超市
文章专题
出海平台
流量密码
出海蓝图
产业赛道
物流仓储
跨境支付
选品策略
实操手册
报告
跨企查
百科
导航
知识体系
工具箱
更多
找货源
跨境招聘
DeepSeek
首页
>
RIKEN侯召民/华南理工王号兵JACS:荧光自愈合聚烯烃功能材料合成与应用
>
0
0
RIKEN侯召民/华南理工王号兵JACS:荧光自愈合聚烯烃功能材料合成与应用
X-MOL资讯
2024-01-27
2
导读:RIKEN侯召民教授与华南理工大学前沿软物质学院王号兵教授合作报道了稀土金属催化的芘基取代苯乙烯(Pyr)、乙烯(E)和苯甲醚基丙烯(AP)三元共聚反应
自愈合材料被视为一种“有生命”的智能材料,这类材料能够在受到物理损伤后发生自主愈合,以延长材料及器件的使用寿命、提高安全性并减少废弃物对环境的污染。赋予自愈合材料其它高附加值功能,对自愈合材料的进一步应用具有十分重要的意义和应用价值,但是相关研究却相对较少。荧光是物质的一种重要性质,并已广泛应用于各种有机传感器及半导体,在现代生产生活中占据着重要地位。然而,发展具有自愈性质的有机荧光材料仍然是十分有限的。目前仅有的报道通常是依赖于可逆化学相互作用的凝胶或复合材料,通常这类材料具有相对较差的机械强度、耐久性或荧光量子产率。同时,由于这些材料的功能强烈依赖可逆化学键的重构,大多数材料对外部环境(湿度、酸性或碱性等)具有较高的敏感度。因此,开发新方法以合成高性能的自愈荧光聚合物具有较高的科学和实际应用价值,同时具有较高的挑战性。
日本理化学研究所
(RIKEN)
侯召民
教授课题组长期致力于稀土金属催化的有机小分子及高分子材料的合成与应用研究(
Nat. Chem
.
2010
,
2
, 257;
Acc. Chem. Res
.
2015
,
48
, 2209)。近年来,该课题组发现半夹心稀土催化剂在非极性和极性烯烃的共聚中展现了独特的活性和选择性,利用稀土催化剂首次实现了乙烯和极性
α
-烯烃的高度可控共聚,制备了一系列结构新颖、性能独特的功能化聚烯烃及共聚物(
Sci. Adv.
2017
,
3
, e1701011;
J. Am. Chem. Soc
.,
2019
,
141
, 3249;
J. Am. Chem. Soc
.
2019
,
141
, 12624;
Angew. Chem., Int. Ed.
2020
,
59
, 7173;
Angew. Chem., Int. Ed.
2021
,
60
, 26192;
Angew. Chem., Int. Ed.
2022
,
61
, e202210023)。特别是利用乙烯与一种或多种苯甲醚基丙烯的高效共聚,成功合成了高分子量、乙烯-取代丙烯交替为主同时含有少量短链聚乙烯的多嵌段共聚物。这种序列调控的共聚物具有柔性的乙烯-取代丙烯相和相对较硬的乙烯-乙烯半结晶纳米微相,展现了独特的弹性体和自愈合能力(
J. Am. Chem. Soc.
,
2019
,
141
, 3249;
Angew. Chem., Int. Ed.
2021
,
60
, 26192;
Angew. Chem., Int. Ed
.
2022
,
61
, e202210023)。
基于以上工作,RIKEN
侯召民
教授与
华南理工大学前沿软物质学院王号兵
教授合作报道了
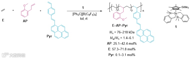
稀土金属催化的芘基取代苯乙烯(Pyr)、乙烯(E)和苯甲醚基丙烯(AP)三元共聚反应
(图1)。通过调整三元共聚物的单体组分,作者可以得到了一系列具有不同分子量和组成的三元共聚物(
M
n
= 76‒218 kDa,
M
w
/
M
n
= 1.4‒6.1,
AP
: 25.1‒42.4 mol%,
E
: 57.3‒71.8 mol%,
Pyr
: 0.1‒3.1 mol%)。进一步的研究表明,这些三元共聚物具有独特的序列调控的微结构,包括相对较长的乙烯-取代丙烯(
E
‒alt‒
AP
)片段、孤立的芘基取代苯乙烯(
Pyr
)单元和较短的聚乙烯(
E‒E
)片段。
图1. 稀土金属钪催化的
E‒AP‒Pyr
三元共聚物的合成
随后作者对三元共聚物的紫外-可见吸收和荧光性质进行了研究(图2)。在室温下,该类聚合物在320-425 nm范围中表现了很强的紫外-可见吸收光谱,峰值出现在381 nm(图2A)。与此同时,该类聚合物的荧光光谱与浓度相关。在0.25 mg/mL浓度的四氢呋喃(THF)溶液中表现出400-550 nm范围内的强烈蓝色荧光,峰值分别在418 nm和442 nm(图2B)。当浓度升至10 mg/mL时,最大发射峰出现在471 nm,呈现显著的红移。薄膜样品(厚度为1 mm)的最大荧光峰进一步红移到510 nm,发出强烈的绿光(图2B和2C)。这些结果表明,这类聚合物在溶液和固态中均存在
Pyr-Pyr
单元之间的π-π堆积相互作用。值得注意的是,所有三元共聚物均表现出较高的荧光量子产率(最高可达87%)。在这些共聚物中,拥有更多芘基取代苯乙烯(
Pyr
)的聚合物(
P3
)显示出相对较低的荧光量子产率(69%),可能是因为聚合物中芘基取代苯乙烯(
Pyr
)单元发生聚集荧光猝灭效应。在固态(薄膜)中,该类聚合物仍然展现出高达40%的荧光量子产率,远超于相关文献中的报道水平。
图2.
E‒AP‒Pyr
三元共聚物
P5
的紫外-可见吸收和荧光性质
随后,作者对这类材料的机械及自愈合性能进行了考察。这类荧光材料展示出区间可控的玻璃转化
温度
和多种力学性能,包括软材料、弹性体、高强度弹性体和延展性塑料等(图3)。此外,几乎所有三元共聚物都表现出优异的自愈合性能。例如,当将聚合物
P5
的哑铃形薄膜样品(样品尺寸:1 mm厚,2 mm宽,12 mm长)切成两半并在室温下自愈合时,24小时内就能实现完全的修复(图3C)。与具有相似分子量和抗拉强度的二元乙烯(
E
)‒苯甲醚基丙烯(
AP
)共聚物相比,当前的三元共聚物表现出更加优秀的自愈合性能。该自愈合荧光聚合物不仅能够在空气中,而且在水、海水、酸性(1M HCl)和碱性(1M NaOH)环境中也能高效自愈合(图3D),展示了在高度多变的实际环境中潜在的巨大应用价值。
图3. 室温下
E‒AP‒Pyr
三元共聚物的自愈合和力学性能
对自愈合机理的研究认为,在
E‒AP‒Pyr
三元共聚物中存在三维物理交联网络,包括由
E
−alt−
AP
片段形成的软相,由
Pyr
单元聚集形成的硬核微相,以及由
E‒E
片段形成的半结晶微相(图4)。当机械损伤发生后,通过
E
−alt−
AP
软相、
Pyr
单元形成的硬相,和
E−E
结晶相的快速重新聚集,将导致三维网络结构的重建以实现损伤的修复。其中,
Pyr
单元不仅作为高效的荧光物质,而且在三维网络硬相形成和增强聚合物自愈合方面发挥了重要作用,使其相较于类似的二元
E−AP
共聚物能够实现更加快速的自愈合性能。
图4.
E‒AP‒Pyr
三元共聚物相分离示意图及其自愈合机制。
此外,作者对该类自愈合荧光聚合物的光诱导环加成反应及光刻信息存储进行了研究。该类聚合物在溶液中能够有效发生光诱导的[2+2]环加成反应。该过程可以通过紫外-可见吸收和荧光光谱进行有效检测(图5)。
图5. 溶液中三元共聚物
P5
的光诱导可逆环加成反应
这类光诱导的[2+2]环加成反应也可以在聚合物薄膜上有效发生(图6)。当对聚合物
P5
的薄膜样品进行5分钟的405 nm照射后,得到的薄膜
P5'
在紫外灯下呈现蓝移的荧光(图6A,中部)。与此同时,通过浸泡入甲苯溶液中,在
P5'
薄膜上可以释放出一层非常薄的不溶解薄膜
P5A
(图6A,底部,左侧)。与
P5
相比,不溶解薄膜呈现出进一步的荧光蓝移。而剩余的甲苯溶剂蒸发得到的聚合物
P5B
,其颜色在白天或紫外灯下几乎与
P5
相同(图6A,底部,右侧)。与此同时,作者对反应后材料的物理性质、力学性能及自愈合性能进行了进一步的分析。结果表明,
P5'
薄膜同样具有可伸展性和高度的自愈合能力,但是其断裂伸长率略低于原始
P5
样品(图6B‒6D)。而可溶于甲苯的部分
P5B
的力学和自愈合性能几乎与原始
P5
样品相同。所有这些结果表明,这类聚合物的光诱导的[2+2]环加成反应可以在405 nm照射下有效发生,通过
Pyr
单元中中间双键的环加成在样品表面引起交联,从而产生不溶于甲苯的交联薄膜
P5A
,而在样品表面以下的部分几乎保持不变。
图6.
P5
薄膜样品的光诱导环加成反应及相关物理、力学和自愈合性质的研究
最后,作者对荧光自愈合聚合物应用于光刻及信息存储的可能性进行了研究(图7)。当用一个2D花纹光罩覆盖在
P5
薄膜上,在405 nm下照射5分钟后,花纹成功地被印在薄膜上。得到的图像在可见光下无法读取信息,但在紫外灯下可以清晰地识别出,展示了独特的信息存储与加密的性能。值得注意的是,该印有花纹的薄膜仍然具有很高的弹性和自愈合能力。
图7.
P5
薄膜样品光刻及信息存储的研究
以上成果发表在近期的《
美国
化学学会杂志》(
J. Am. Chem. Soc
.)期刊上,文章的通讯作者是日本理化学研究所
侯召民
主任研究员、
西浦正芳
专任研究员和华南理工大学
王号兵
教授,第一作者是日本理化学研究所的
黄林
博士,该项目受到国家重点研发计划“政府间”重点专项(2022YFE0103800)、自然科学基金面上项目(22171091)等支持。
侯召民教授和王号兵教授
在日本理化学研究所和华南理工大学长期联合
招聘
博士后,年薪38万元起
,欢迎具有高分子合成背景的优秀博士加入。
原文(扫描或长按二维码,识别后直达原文页面):
Synthesis of Tough and Fluorescent Self-Healing Elastomers by Scandium-Catalyzed T
erp
olymerization of Pyrenylethenylstyrene, Ethylene, and Anisylpropylene
Lin Huang, Yang Yang, Jingjing Shao, Gang Xiong, Hao
bing
Wang*, Masayoshi Nishiura*, and Zhaomin Hou*
J. Am. Chem. Soc
.,
2024
, DOI: 10.1021/jacs.3c12342
导师介绍
侯召民
https://www.x-mol.com/university/faculty/31089
点击“
阅读原文
”,查看
化学 • 材料
领域
所有收录期刊
【声明】内容源于网络
0
0
X-MOL资讯
“X-MOL资讯”隶属于X-MOL学术平台(官网x-mol.com),关注化学、材料、生命科学、医学等领域的学术进展与科研前沿,提供专业与深度的内容。公众号菜单还提供“期刊浏览”等强大功能,覆盖各领域上万种期刊的新近论文,支持个性化浏览。
内容
19832
粉丝
0
关注
在线咨询
X-MOL资讯
“X-MOL资讯”隶属于X-MOL学术平台(官网x-mol.com),关注化学、材料、生命科学、医学等领域的学术进展与科研前沿,提供专业与深度的内容。公众号菜单还提供“期刊浏览”等强大功能,覆盖各领域上万种期刊的新近论文,支持个性化浏览。
总阅读
16.1k
粉丝
0
内容
19.8k
在线咨询
关注