搜索
首页
大数快讯
大数活动
服务超市
文章专题
出海平台
流量密码
出海蓝图
产业赛道
物流仓储
跨境支付
选品策略
实操手册
报告
跨企查
百科
导航
知识体系
工具箱
更多
找货源
跨境招聘
DeepSeek
首页
>
JACS封面:首次发现拓扑手性高自旋选择性
>
0
0
JACS封面:首次发现拓扑手性高自旋选择性
X-MOL资讯
2023-12-20
2
导读:近期,杨海波教授和王威研究员联合华东师范大学物理与电子科学学院段纯刚教授团队合作研究,首次发现拓扑手性三叶结分子可以作为高效自旋过滤材料,在保持高自旋选择效率的同时展现优异的导电性和热稳定性
拓扑手性(topological chirality)是指分子无法通过三维空间的持续形变转换成为其镜像的特性,是涉及数学、物理、化学、生物与材料科学等多学科交叉研究领域。具有拓扑手性的分子有望展示一些独特的手性性质或功能,例如较高的构型稳定性、多重受限手性环境、动态可调控性质等,因此拓扑手性具有重要的研究价值和广阔的应用前景。但与被广泛研究的经典的欧几里得手性(Euclidean chirality)相比较,拓扑手性分子的性能探索和应用研究还处于起步阶段。
华东师范大学杨海波
教授团队长期从事化学拓扑学研究,例如在前期研究中,杨海波教授和王威研究员以拓扑手性[2]索烃作为手性平台,利用拓扑手性[2]索烃多重共构象动态可控的特性,成功实现了首例双向可切换圆偏振发光体系的构筑 (
Angew. Chem. Int. Ed
.
2022
,
61
, e202210542)。近期,
杨海波
教授和
王威
研究员联合
华东师范大学
物理与电子科学学院
段纯刚
教授团队、
复旦大学桑玉涛
研究员、
以色列魏茨曼科学研究所Ron Naaman
教授和
瑞典
乌普萨拉
大学Jonas Fransson
教授开展跨学科国际合作研究,
首次发现拓扑手性三叶结分子可以作为高效自旋过滤材料,在保持高自旋选择效率的同时展现优异的导电性和热稳定性
(图1)。
图1. (a) 自旋过滤材料的不同手性类型;(b) 拓扑手性三叶结分子的化学结构;(c) 拓扑手性三叶结分子的晶体结构。图片来源:
J. Am. Chem. Soc.
在本工作中,研究团队通过磁导原子力显微镜 (mCP-AFM) 监测自旋极化电子通过拓扑手性三叶结分子的输运。Λ手性三叶结分子选择性输运探针磁化方向向上时的自旋极化电流,而与此相反,Δ手性三叶结分子更易输运探针磁化方向向下时的自旋极化电流,表明拓扑手性三叶结分子存在显著的手性诱导自旋选择性(CISS)效应。其自旋过滤效率随薄膜的厚度增加而增加,薄膜厚度为20 nm时自旋极化效率达到88%,优于所报道的大部分手性自旋过滤材料(图2)。更为重要的是,三叶结分子在输运自旋极化电流时表现出优异的电导性。在1.5 V的电位下,Λ手性三叶结分子通过约等于400 nA的电流,高于传统DNA分子两个数量级。基于拓扑手性的高稳定性,在350 ℃下退火2小时后三叶结分子仍能保持高效的自旋过滤能力,进一步提高了三叶结分子作为自旋过滤材料的应用潜力。
图2. (a) mCP-AFM测试示意图;(b) Λ三叶结分子的电流-电压曲线;(c) Δ三叶结分子的电流-电压曲线;(d) Λ三叶结分子的自旋过滤效率;(e) Δ三叶结分子的自旋过滤效率;(f) 自旋过滤效率的厚度依赖性。图片来源:
J. Am. Chem. Soc.
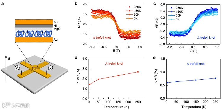
进一步,研究团队使用单个铁磁电极与手性层代替传统自旋阀中的两个铁磁电极,在自旋阀装置中也研究了自旋选择性输运过程。在−1.0 T ~ 1.0 T的面外磁场下测量器件的电阻,MR%曲线表现出典型的不对称性质。基于Λ和Δ三叶结的器件由于其相反的手性而表现出相反的MR%响应,表明自旋极化电子通过三叶结薄膜的传输是有选择性的。与传统自旋阀不同,基于CISS效应的自旋阀装置表现出MR%随
温度
的小幅增加,Λ手性三叶结在250K时磁阻变化可达3%(图3)。瑞典乌普萨拉大学Jonas Fransson教授基于螺旋位点链模型对三叶结分子的手性诱导自旋选择电流输运过程进行了理论计算。计算结果表明两种磁化方向的电流明显不同,并表现出其优异的自旋极化效率。计算结果与实验数据一致,从而验证了电子-电子散射在该体系自旋输运中的可能贡献(图4)。
图3. (a) 四探针隧道结器件示意图;(b) Λ三叶结分子的磁阻曲线;(c) Δ三叶结分子的磁阻曲线;(d) Λ三叶结分子的磁阻-温度曲线;(e) Δ三叶结分子的磁阻-温度曲线。图片来源:
J. Am. Chem. Soc.
图4. 拓扑手性三叶结分子的理论计算电流与自旋极化效率。图片来源:
J. Am. Chem. Soc.
总之,华东师范大学杨海波教授与王威研究员通过跨学科国际合作,首次将拓扑手性应用于自旋选择性研究。研究团队发现拓扑手性三叶结表现出高自旋过滤效率、高导电性及高热稳定性,为发展高效、稳定的有机自旋过滤材料和构筑室温自旋电子器件提供了重要的思路。
该成果近期发表在
Journal of the American Chemical Society
上,并被选为封面文章,文章的第一作者是华东师范大学博士研究生
张丹阳
同学,通讯作者是
桑玉涛
研究员、
王威
研究员、
Jonas Fransson
教授、
Ron Naaman
教授和
杨海波
教授,第一通讯单位是华东师范大学。该工作得到了国家自然科学基金手性重大研究计划重点项目以及
上海
类脑智能材料与器件研究中心等支持。
原文(扫描或长按二维码,识别后直达原文页面):
Highly Conductive Topologically Chiral Molecular Knots as Efficient Spin Filters
Dan-Yang Zhang, Yutao Sang*, Tapan Kumar Das, Zhao Guan, Ni Zhong, Chun-Gang Duan, Wei Wang*, Jonas Fransson*, Ron Naaman*, and Hai-Bo Yang*
J. Am. Chem. Soc
.,
2023
,
145
, 26791–26798. DOI: 10.1021/jacs.3c08966
导师介绍
杨海波
https://www.x-mol.com/university/faculty/10534
王威
https://www.x-mol.com/university/faculty/298966
Ron Naaman
https://www.x-mol.com/university/faculty/49658
点击“
阅读原文
”,查看
化学 • 材料
领域
所有收录期刊
【声明】内容源于网络
0
0
X-MOL资讯
“X-MOL资讯”隶属于X-MOL学术平台(官网x-mol.com),关注化学、材料、生命科学、医学等领域的学术进展与科研前沿,提供专业与深度的内容。公众号菜单还提供“期刊浏览”等强大功能,覆盖各领域上万种期刊的新近论文,支持个性化浏览。
内容
19833
粉丝
0
关注
在线咨询
X-MOL资讯
“X-MOL资讯”隶属于X-MOL学术平台(官网x-mol.com),关注化学、材料、生命科学、医学等领域的学术进展与科研前沿,提供专业与深度的内容。公众号菜单还提供“期刊浏览”等强大功能,覆盖各领域上万种期刊的新近论文,支持个性化浏览。
总阅读
1.6k
粉丝
0
内容
19.8k
在线咨询
关注